Sensor-Fusion-Based Simultaneous Positioning and Vibration Suppression Method for a Three-Degrees-of-Freedom Isolator
Abstract
1. Introduction
2. System Model and Positioning Problem Based on the Absolute Velocity Feedback Strategy
2.1. Dynamics Model and Active Control Strategy of 3-DOF Isolator
2.2. Positioning Problem Based on Absolute Velocity Feedback Strategy
3. H∞ Control Strategy Based on Sensor Fusion
3.1. Active Control System with Sensor Fusion
3.2. System Performance Analysis
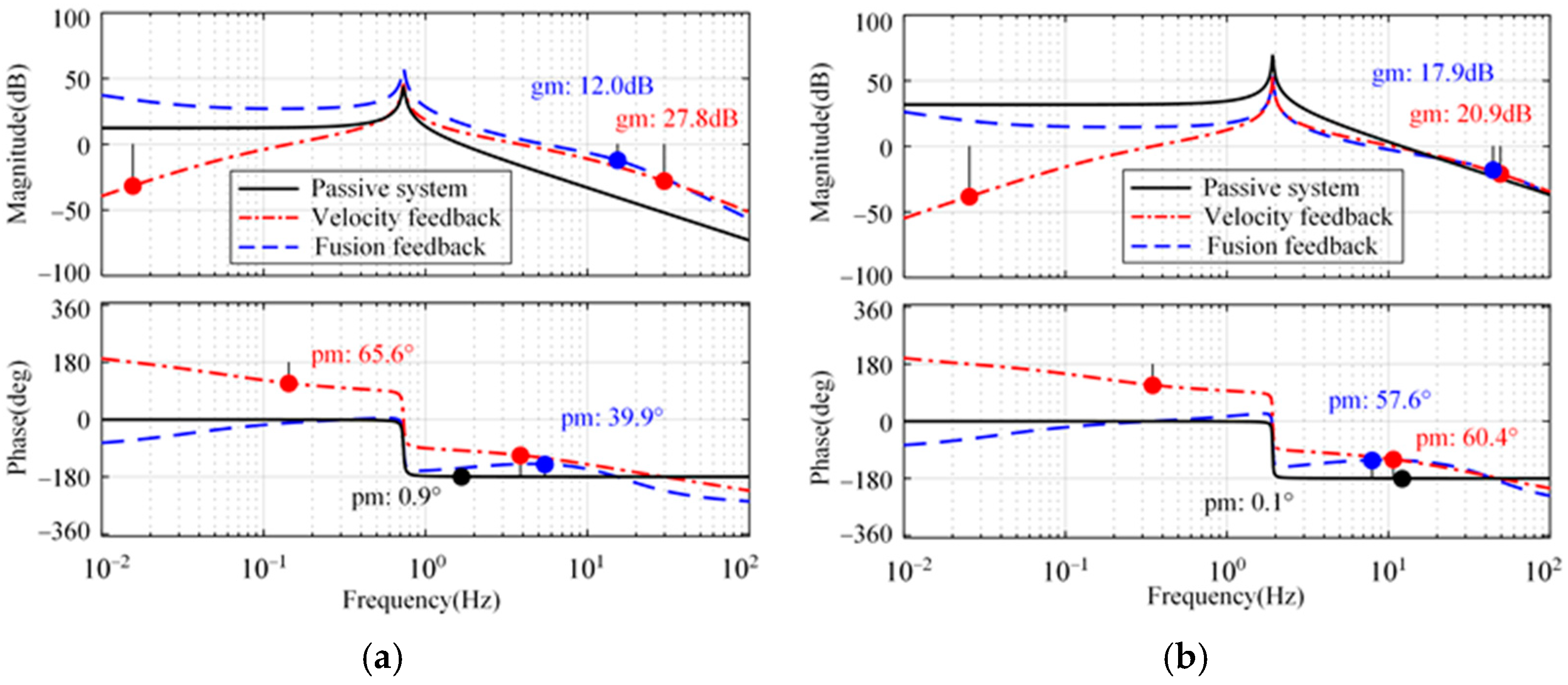
3.2.1. System Stability Analysis
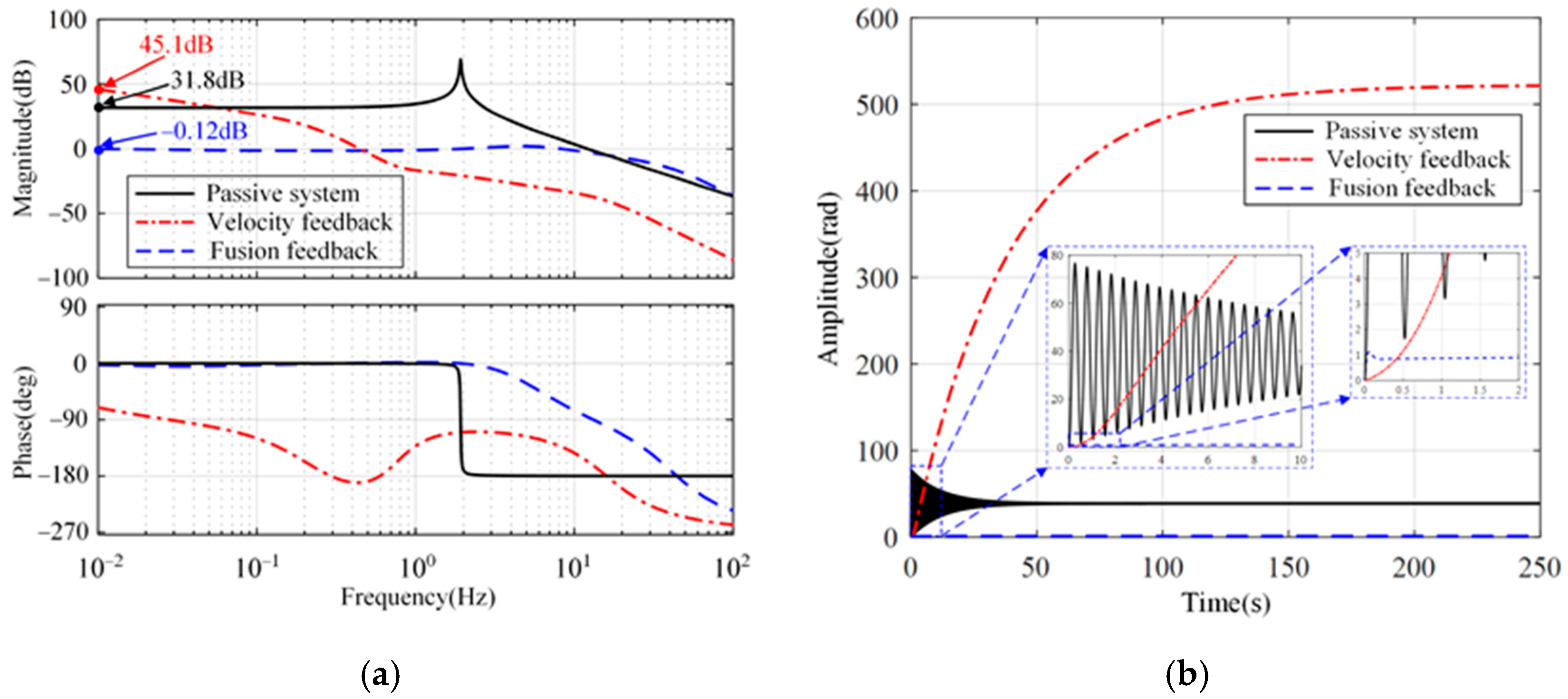
3.2.2. Disturbance Suppression Analysis
3.2.3. System Positioning Analysis
4. Experiment Verification
4.1. Experimental Setup
4.2. Vibration Suppression Experimental Results
4.3. Positioning Experiment Results
5. Conclusions
Author Contributions
Funding
Data Availability Statement
Conflicts of Interest
Appendix A
Appendix B
References
- Akutsu, T.; Ando, M.; Araya, A. The Status of Kagra Underground Cryogenic Gravitational Wave Telescope. In Proceedings of the Journal of Physics Conference Series, Sudbury, ON, Canada, 24–28 June 2020. [Google Scholar]
- Van Heijningen, J.V.; Bertolini, A.; Hennes, E.; Beker, M.G.; Doets, M.; Bulten, H.J.; Agatsuma, K.; Sekiguchi, T.; Van den Brand, J.F. A Multistage Vibration Isolation System for Advanced Virgo Suspended Optical Benches. Class. Quantum Gravity 2019, 36, 075007. [Google Scholar] [CrossRef]
- Zhang, C.W.; Kordestani, H.; Shadabfar, M. A Combined Review of Vibration Control Strategies for High-Speed Trains and Railway Infrastructures: Challenges and Solutions. J. Low Freq. Noise Vib. Act. Control. 2023, 42, 272–291. [Google Scholar] [CrossRef]
- Chen, Q.; Zhang, Y.; Zhu, C.W.; Wu, J.B.; Zhuang, Y. A Sky-Hook Sliding Mode Semiactive Control for Commercial Truck Seat Suspension. J. Vib. Control 2021, 27, 1201–1211. [Google Scholar] [CrossRef]
- Seunghoon, W.; Shin, D. A Double Sky-Hook Algorithm for Improving Road-Holding Property in Semi-Active Suspension Systems for Application to in-Wheel Motor. Appl. Sci. 2021, 11, 8912. [Google Scholar]
- Wang, M.; Fang, X.; Wang, Y.Y.; Ding, J.H.; Sun, Y.; Luo, J.; Pu, H.Y. A Dual-Loop Active Vibration Control Technology with an Rbf-Rls Adaptive Algorithm. Mech. Syst. Signal Process. 2023, 191, 110079. [Google Scholar] [CrossRef]
- Yalcin, B.C.; Erkan, K. 3-Dof Zero Power Micro Vibration Isolation Via Linear Matrix Inequalities Based on H-Infinity and H-2 Control Approaches. Mech. Syst. Signal Process. 2021, 153, 107506. [Google Scholar] [CrossRef]
- Jinsoo, C.; Kim, K.; Kim, H.; Lee, S. Effect of Inertia Variations for Active Vibration Isolation Systems. Precis. Eng. 2020, 66, 507–518. [Google Scholar]
- Toshiki, H.; Hosoya, N.; Maeda, S.; Kajiwara, I. Experimental Validation of Vibration Control in Membrane Structures Using Dielectric Elastomer Actuators in a Vacuum Environment. Int. J. Mech. Sci. 2021, 191, 106049. [Google Scholar]
- Chen, C.H.; Hu, Y.F.; Wu, H.C.; Song, C.S.; Ran, S.L. Study on Mixed H-2/H-Infinity Output Feedback Control of Maglev Actuator for Microgravity Vibration Isolation System. Adv. Mech. Eng. 2019, 11, 1687814018819596. [Google Scholar]
- Nguyen, V.; Johnson, J.; Melkote, S. Active Vibration Suppression in Robotic Milling Using Optimal Control. Int. J. Mach. Tools Manuf. 2020, 152, 103541. [Google Scholar] [CrossRef]
- Qin, W.; Liu, F.F.; Yin, H.; Huang, J. Constraint-Based Adaptive Robust Control for Active Suspension Systems under the Sky-Hook Model. IEEE Trans. Ind. Electron. 2022, 69, 5152–5164. [Google Scholar] [CrossRef]
- Rahmani, B.; Ziaiefar, A.; Hashemi, S. Output Feedback-Based Adaptive Fuzzy Sliding Mode Control for Seismic Response Reduction of Base-Isolated Buildings. ISA Trans. 2022, 126, 94–108. [Google Scholar] [CrossRef] [PubMed]
- Lantz, B.; Schofield, R.; O’Reilly, B.; Clark, D.E.; DeBra, D. Review: Requirements for a Ground Rotation Sensor to Improve Advanced Ligo. Bull. Seismol. Soc. Am. 2009, 99, 980–989. [Google Scholar] [CrossRef]
- Van, H.J. Turn up the Bass! Low-Frequency Performance Improvement of Seismic Attenuation Systems and Vibration Sensors for Next Generation Gravitational Wave Detector. Ph.D. Thesis, Vrije Universiteit Amsterdam, Amsterdam, The Netherlands, 2018. [Google Scholar]
- Nair, V.G.; Collette, C. Double Link Sensor for Mitigating Tilt- Horizontal Coupling. JINST 2022, 17, P04012. [Google Scholar] [CrossRef]
- Matichard, F.; Evans, M. Review: Tilt-Free Low-Noise Seismometry. Bull. Seismol. Soc. Am. 2015, 105, 497–510. [Google Scholar] [CrossRef]
- Hua, W.; Adhikari, R.; DeBra, D.; Giaime, J.; Hammond, G. Low Frequency Active Vibration Isolation for Advanced Ligo. In Proceedings of the Gravitational Wave and Particle Astrophysics Detectors, Glasgow, UK, 29 September 2004. [Google Scholar]
- Zhang, H.; Xu, Z.B.; Xu, A.P.; Zhang, E.Y. Novel Pointing and Stabilizing Manipulator for Optical Space Payloads. Appl. Sci. 2023, 13, 2188. [Google Scholar] [CrossRef]
- Yang, X.L.; Wu, H.T.; Li, Y.; Kang, S.Z.; Chen, B.; Lu, H.M.; Lee, C.K.M.; Ji, P. Dynamics and Isotropic Control of Parallel Mechanisms for Vibration Isolation. IEEE-ASME Trans. Mechatron. 2020, 25, 2027–2034. [Google Scholar] [CrossRef]
- Kong, Y.F.; Huang, H. Vibration Isolation and Dual-Stage Actuation Pointing System for Space Precision Payloads. Acta Astronaut. 2018, 143, 183–192. [Google Scholar] [CrossRef]
- Xiling, X.; He, P.; Wu, D.; Zhang, Z. Ultra-Low Frequency Active Vibration Isolation in High Precision Equipment with Electromagnetic Suspension: Analysis and Experiment. Precis. Eng. 2023, 84, 91–101. [Google Scholar]
- Yi, S.C.; Zhang, Q.; Sun, X.Q.; Yang, B.T.; Meng, G. Simultaneous Micropositioning and Microvibration Control of a Magnetostrictive Stewart Platform with Synthesized Strategy. Mech. Syst. Signal Process. 2023, 187, 109925. [Google Scholar] [CrossRef]
- Ma, K.G.; Ghasemi-Nejhad, M.N. Adaptive Simultaneous Precision Positioning and Vibration Control of Intelligent Composite Structures. J. Intell. Mater. Syst. Struct. 2005, 16, 163–174. [Google Scholar] [CrossRef]
- Xiaoqing, S.; Yang, B.; Hu, W.; Bai, Z. Simultaneous Precision Positioning and Vibration Control for on-Orbit Optical Payloads: An Integrated Actuator Development and Analysis. J. Vib. Eng. Technol. 2020, 9, 507–528. [Google Scholar]
- Yun, H.; Liu, L.; Li, Q.; Yang, H.J. Investigation on Two-Stage Vibration Suppression and Precision Pointing for Space Optical Payloads. Aerosp. Sci. Technol. 2020, 96, 105543. [Google Scholar] [CrossRef]
- Hu, Q.L. Input Shaping and Variable Structure Control for Simultaneous Precision Positioning and Vibration Reduction of Flexible Spacecraft with Saturation Compensation. J. Sound Vib. 2008, 318, 18–35. [Google Scholar] [CrossRef]
- Zhang, X.Y.; Zong, Q.; Tian, B.L.; Liu, W.J. Continuous Robust Fault-Tolerant Control and Vibration Suppression for Flexible Spacecraft without Angular Velocity. Int. J. Robust Nonlin. 2019, 29, 3915–3935. [Google Scholar] [CrossRef]
- Zhang, X.Y.; Zong, Q.; Dou, L.Q.; Tian, B.L.; Liu, W.J. Finite-Time Attitude Maneuvering and Vibration Suppression of Flexible Spacecraft. J. Frankl. Inst. 2020, 357, 11604–11628. [Google Scholar] [CrossRef]
- Gordon Dan, J.; Erkorkmaz, K. Precision Control of a T-Type Gantry Using Sensor/Actuator Averaging and Active Vibration Damping. Precis. Eng. 2012, 36, 299–314. [Google Scholar] [CrossRef]




















| Equipment | Type | Manufacturer | Parameter | Value |
|---|---|---|---|---|
| Control board | Self-made PCB | - | - | - |
| MPU | i.MX RT105 | NXP Semiconductors | Main frequency | 600 MHz |
| ADC | AD7606 | Analog Devices | Resolution | 16 bits |
| DAC | AD5360 | Analog Devices | Resolution | 16 bits |
| Signal analyzer | YSV8016 | Beijing Yiyang Strain and Vibration Testing Technology Co., Ltd. | Resolution | 24 bits |
| Displcement sensor | CD22-15 | FASTUS | Sensitivity | 1 V/mm |
| Velocity sensor | H941B | Zhejiang Boyuan Electronics Technology Co., Ltd. | Sensitivity | 23 m/s2 |
| Natural frequency | 1 Hz | |||
| Motor | LAC08-004-00A | Beijing Chen Yang Automation Technology | Force constant | 1.1 N/m |
| Motor driver | TA115 | Turst Automation, Inc. | Output current | ±8A peak |
| Bandwidth | 5 kHz |
Disclaimer/Publisher’s Note: The statements, opinions and data contained in all publications are solely those of the individual author(s) and contributor(s) and not of MDPI and/or the editor(s). MDPI and/or the editor(s) disclaim responsibility for any injury to people or property resulting from any ideas, methods, instructions or products referred to in the content. |
© 2024 by the authors. Licensee MDPI, Basel, Switzerland. This article is an open access article distributed under the terms and conditions of the Creative Commons Attribution (CC BY) license (https://creativecommons.org/licenses/by/4.0/).
Share and Cite
Wang, J.; Wang, L.; Jin, P.; Zhang, Z.; Li, P.; Xiao, R. Sensor-Fusion-Based Simultaneous Positioning and Vibration Suppression Method for a Three-Degrees-of-Freedom Isolator. Micromachines 2024, 15, 402. https://doi.org/10.3390/mi15030402
Wang J, Wang L, Jin P, Zhang Z, Li P, Xiao R. Sensor-Fusion-Based Simultaneous Positioning and Vibration Suppression Method for a Three-Degrees-of-Freedom Isolator. Micromachines. 2024; 15(3):402. https://doi.org/10.3390/mi15030402
Chicago/Turabian StyleWang, Jing, Lei Wang, Peng Jin, Zhen Zhang, Pengxuan Li, and Ritao Xiao. 2024. "Sensor-Fusion-Based Simultaneous Positioning and Vibration Suppression Method for a Three-Degrees-of-Freedom Isolator" Micromachines 15, no. 3: 402. https://doi.org/10.3390/mi15030402
APA StyleWang, J., Wang, L., Jin, P., Zhang, Z., Li, P., & Xiao, R. (2024). Sensor-Fusion-Based Simultaneous Positioning and Vibration Suppression Method for a Three-Degrees-of-Freedom Isolator. Micromachines, 15(3), 402. https://doi.org/10.3390/mi15030402

