Parametric Amplification of Acoustically Actuated Micro Beams Using Fringing Electrostatic Fields
Abstract
1. Introduction
2. Methodology
2.1. Device Architecture
2.2. Model
3. Experiment
3.1. Experimental Setup
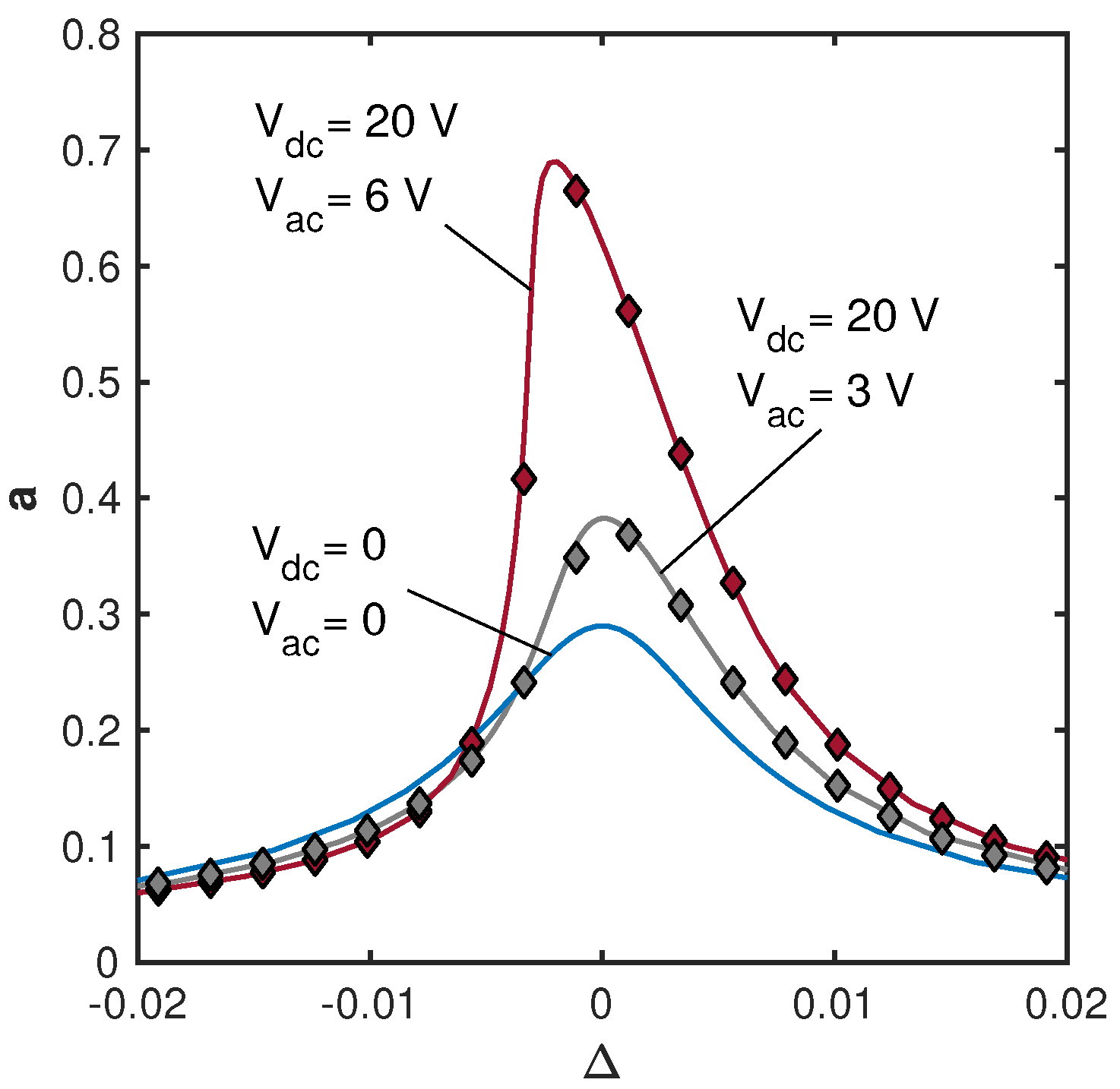
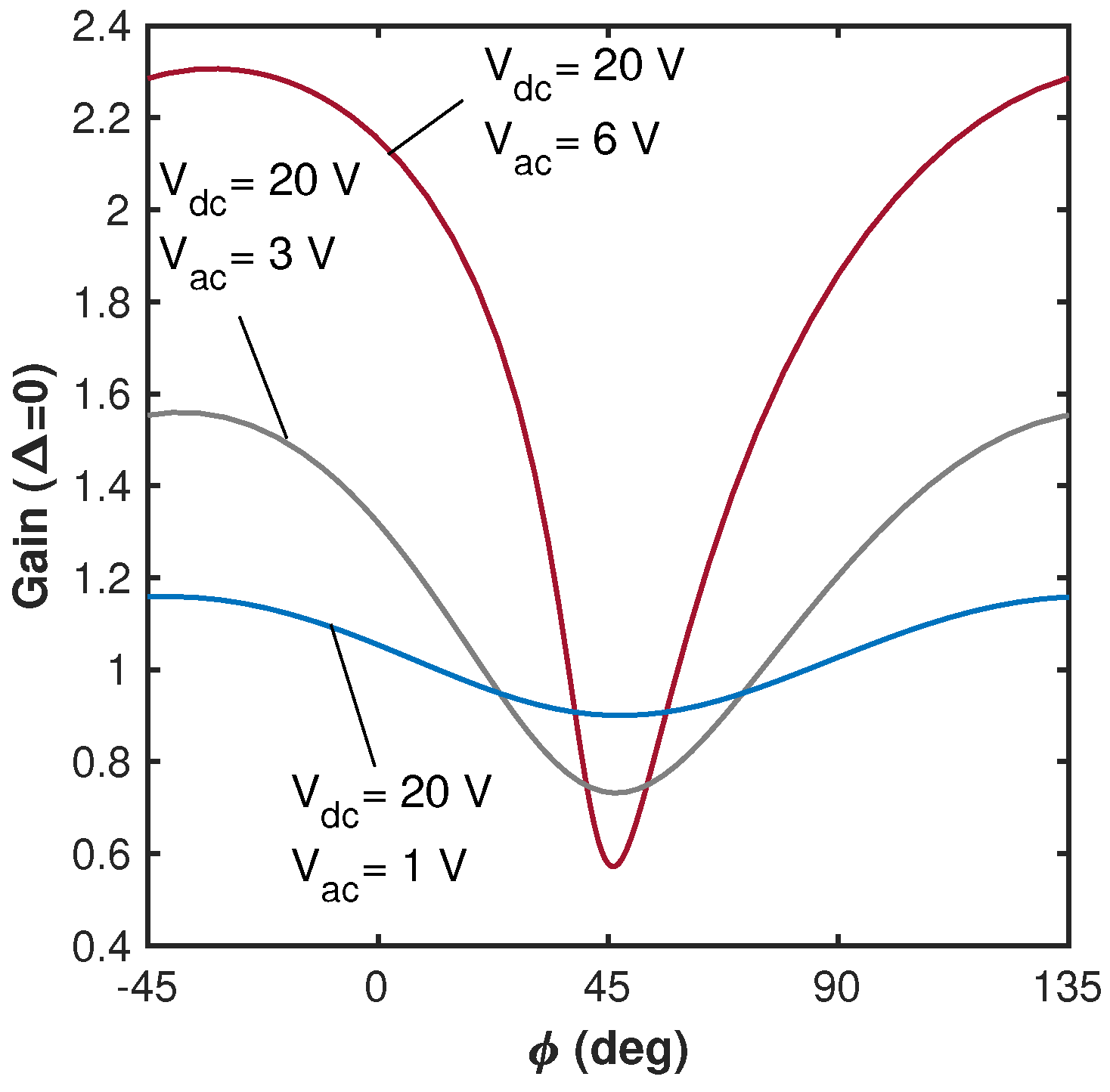
3.2. Experimental Results
4. Conclusions
Author Contributions
Funding
Data Availability Statement
Acknowledgments
Conflicts of Interest
References
- Rugar, D.; Grütter, P. Mechanical parametric amplification and thermomechanical noise squeezing. Phys. Rev. Lett. 1991, 67, 699. [Google Scholar] [CrossRef] [PubMed]
- Karabalin, R.; Masmanidis, S.; Roukes, M. Efficient parametric amplification in high and very high frequency piezoelectric nanoelectromechanical systems. Appl. Phys. Lett. 2010, 97, 183101. [Google Scholar] [CrossRef]
- Rhoads, J.F.; Miller, N.J.; Shaw, S.W.; Feeny, B.F. Mechanical domain parametric amplification. J. Vib. Acoust. 2008, 130, 061006. [Google Scholar] [CrossRef]
- Carr, D.W.; Evoy, S.; Sekaric, L.; Craighead, H.; Parpia, J. Parametric amplification in a torsional microresonator. Appl. Phys. Lett. 2000, 77, 1545–1547. [Google Scholar] [CrossRef]
- Zhang, W.; Baskaran, R.; Turner, K.L. Effect of cubic nonlinearity on auto-parametrically amplified resonant MEMS mass sensor. Sens. Actuators A Phys. 2002, 102, 139–150. [Google Scholar] [CrossRef]
- Rhoads, J.F.; Shaw, S.W.; Turner, K.L. Nonlinear Dynamics and Its Applications in Micro- and Nanoresonators. J. Dyn. Syst. Meas. Control. 2010, 132, 034001. [Google Scholar] [CrossRef]
- Rhoads, J.F.; Kumar, V.; Shaw, S.W.; Turner, K.L. The non-linear dynamics of electromagnetically actuated microbeam resonators with purely parametric excitations. Int. J.-Non-Linear Mech. 2013, 55, 79–89. [Google Scholar] [CrossRef]
- Barakat, A.A.; Hagedorn, P. Broadband parametric amplification for micro-ring gyroscopes. Sens. Actuators A Phys. 2021, 332, 113130. [Google Scholar] [CrossRef]
- Pribošek, J.; Eder, M. Parametric amplification of a resonant MEMS mirror with all-piezoelectric excitation. Appl. Phys. Lett. 2022, 120, 244103. [Google Scholar] [CrossRef]
- Bousse, N.E.; Miller, J.M.; Vukasin, G.D.; Kwon, H.K.; Shaw, S.W.; Kenny, T.W. Tuning Frequency Stability in Micromechanical Resonators with Parametric Pumping. In Proceedings of the 35th IEEE Micro Electro Mechanical Systems (MEMS), Tokyo, Japan, 9–13 January 2022; IEEE: Piscataway, NJ, USA, 2022; Volume 2022, pp. 987–990. [Google Scholar]
- Mohammadi, Z.; Heugel, T.L.; Miller, J.M.; Shin, D.D.; Kwon, H.K.; Kenny, T.W.; Chitra, R.; Zilberberg, O.; Villanueva, L.G. On the effect of linear feedback and parametric pumping on a resonator’s frequency stability. New J. Phys. 2020, 22, 093049. [Google Scholar] [CrossRef]
- Rhoads, J.F.; Shaw, S.W. The impact of nonlinearity on degenerate parametric amplifiers. Appl. Phys. Lett. 2010, 96, 234101. [Google Scholar] [CrossRef]
- Kumar, V.; Miller, J.K.; Rhoads, J.F. Nonlinear parametric amplification and attenuation in a base-excited cantilever beam. J. Sound Vib. 2011, 330, 5401–5409. [Google Scholar] [CrossRef]
- Li, L.; Liu, H.; Li, D.; Zhang, W. Theoretical analysis and experiment of multi-modal coupled vibration of piezo-driven Π-shaped resonator. Mech. Syst. Signal Process. 2023, 192, 110223. [Google Scholar] [CrossRef]
- Shmulevich, S.; Elata, D. A MEMS Implementation of the Classic Meissner Parametric Resonator: Exploring High-Order Windows of Unbounded Response. J. Microelectromechanical Syst. 2017, 26, 325–332. [Google Scholar] [CrossRef]
- Kassie, D.; Elata, D. Parametric Resonators with a Floating Rotor: Sensing Strategy for Devices with an Increased Stiffness and Compact Design. J. Microelectromechanical Syst. 2021, 30, 411–418. [Google Scholar] [CrossRef]
- Scheeper, P.; Van der Donk, A.; Olthuis, W.; Bergveld, P. A review of silicon microphones. Sens. Actuators A Phys. 1994, 44, 1–11. [Google Scholar] [CrossRef]
- Weigold, J.; Brosnihan, T.; Bergeron, J.; Zhang, X. A MEMS Condenser Microphone for Consumer Applications. In Proceedings of the 19th IEEE Conference on Micro Electro Mechanical Systems (MEMS), Istanbul, Turkey, 22–26 January 2006; IEEE: Piscataway, NJ, USA, 2006; Volume 2006, pp. 86–89. [Google Scholar]
- Chan, C.K.; Lai, W.C.; Wu, M.; Wang, M.Y.; Fang, W. Design and implementation of a capacitive-type microphone with rigid diaphragm and flexible spring using the two poly silicon micromachining processes. IEEE Sens. J. 2011, 11, 2365–2371. [Google Scholar] [CrossRef]
- Lhermet, H.; Verdot, T.; Berthelot, A.; Desloges, B.; Souchon, F. First microphones based on an in-plane deflecting micro-diaphragm and piezoresistive nano-gauges. In Proceedings of the 2018 IEEE Conference on Micro Electro Mechanical Systems (MEMS), Belfast, UK, 21–25 January 2018; IEEE: Piscataway, NJ, USA, 2018; pp. 249–252. [Google Scholar]
- Brenner, K.; Ergun, A.S.; Firouzi, K.; Rasmussen, M.F.; Stedman, Q.; Khuri-Yakub, B. Advances in capacitive micromachined ultrasonic transducers. Micromachines 2019, 10, 152. [Google Scholar] [CrossRef]
- Ozdogan, M.; Towfighian, S.; Miles, R.N. Modeling and Characterization of a Pull-in Free MEMS Microphone. IEEE Sens. J. 2020, 20, 6314–6323. [Google Scholar] [CrossRef]
- Kaiser, B.; Langa, S.; Ehrig, L.; Stolz, M.; Schenk, H.; Conrad, H.; Schenk, H.; Schimmanz, K.; Schuffenhauer, D. Concept and proof for an all-silicon MEMS micro speaker utilizing air chambers. Microsystems Nanoeng. 2019, 5, 43. [Google Scholar] [CrossRef]
- Miles, R.N.; Cui, W.; Su, Q.T.; Homentcovschi, D. A MEMS low-noise sound pressure gradient microphone with capacitive sensing. J. Microelectromechanical Syst. 2014, 24, 241–248. [Google Scholar] [CrossRef]
- Mackie, D.J.; Jackson, J.C.; Brown, J.G.; Uttamchandani, D.; Windmill, J.F.C. Directional acoustic response of a silicon disc-based microelectromechanical systems structure. Micro Nano Lett. 2014, 9, 276–279. [Google Scholar] [CrossRef]
- Chowdhury, S.; Ahmadi, M.; Miller, W. Design of a MEMS acoustical beamforming sensor microarray. IEEE Sens. J. 2002, 2, 617–627. [Google Scholar] [CrossRef]
- Krijnen, G.; Dijkstra, M.; Van Baar, J.; Shankar, S.; Kuipers, W.; De Boer, R.; Altpeter, D.; Lammerink, T.; Wiegerink, R. MEMS based hair flow-sensors as model systems for acoustic perception studies. Nanotechnology 2006, 17, S84–S89. [Google Scholar] [CrossRef]
- Wilmott, D.; Alves, F.; Karunasiri, G. Bio-Inspired Miniature Direction Finding Acoustic Sensor. Sci. Rep. 2016, 6, 29957. [Google Scholar] [CrossRef] [PubMed]
- Rahaman, A.; Kim, B. Fly-Inspired MEMS Directional Acoustic Sensor for Sound Source Direction. In Proceedings of the TRANSDUCERS 2019 and EUROSENSORS XXXIII, Berlin, Germany, 23–27 June 2019; pp. 905–908. [Google Scholar]
- Dean, R.N.; Castro, S.T.; Flowers, G.T.; Roth, G.; Ahmed, A.; Hodel, A.S.; Grantham, B.E.; Bittle, D.A.; Brunsch, J.P. A characterization of the performance of a MEMS gyroscope in acoustically harsh environments. IEEE Trans. Ind. Electron. 2010, 58, 2591–2596. [Google Scholar] [CrossRef]
- Perl, T.; Maimon, R.; Krylov, S.; Shimkin, N. Control of Vibratory MEMS Gyroscope with the Drive Mode Excited through Parametric Resonance. J. Vib. Acoust. Trans. ASME 2021, 143, 051013. [Google Scholar] [CrossRef]
- Ahmida, K.M.; Ferreira, L.O.S. Design and modeling of an acoustically excited double-paddle scanner. J. Micromechanics Microengineering 2004, 14, 1337. [Google Scholar] [CrossRef]
- Cetinkaya, C.; Ban, L.; Subramanian, G.; Akseli, I. Multimode air-coupled excitation of micromechanical structures. IEEE Trans. Instrum. Meas. 2008, 57, 2457–2461. [Google Scholar] [CrossRef]
- Latif, I.; Toda, M.; Ono, T. Acoustic Amplification Using Characteristic Geometry-Based Integrated Platforms for Micromechanical Resonant Detection. In Proceedings of the 33th IEEE Conference on Micro Electro Mechanical Systems (MEMS), Vancouver, BC, Canada, 18–22 January 2020; IEEE: Piscataway, NJ, USA, 2020; Volume 2020, pp. 834–837. [Google Scholar]
- Linzon, Y.; Ilic, B.; Lulinsky, S.; Krylov, S. Efficient parametric excitation of silicon-on-insulator microcantilever beams by fringing electrostatic fields. J. Appl. Phys. 2013, 113, 163508. [Google Scholar] [CrossRef]
- Krakover, N.; Ilic, B.; Krylov, S. Micromechanical resonant cantilever sensors actuated by fringing electrostatic fields. J. Micromechanics Microengineering 2022, 32, 054001. [Google Scholar] [CrossRef]
- Krylov, S.; Ilic, B.R.; Lulinsky, S. Bistability of curved microbeams actuated by fringing electrostatic fields. Nonlinear Dyn. 2011, 66, 403. [Google Scholar] [CrossRef]
- Rand, R.H. Lecture Notes on Nonlinear Vibrations; Cornell University Library: Ithaca, NY, USA, 2005; Volume 52. [Google Scholar]
- Halevy, O.; Benjamin, E.B.; Kessler, Y.; Krylov, S. Resonant Sensing Element Realized as a Single Crystal Si Cantilever Actuated by Fringing Electrostatic Fields. IEEE Sens. J. 2021, 21, 10454–10464. [Google Scholar] [CrossRef]
- Geva-Sagiv, M.; Las, L.; Yovel, Y.; Ulanovsky, N. Spatial cognition in bats and rats: From sensory acquisition to multiscale maps and navigation. Nat. Rev. Neurosci. 2015, 16, 94–108. [Google Scholar] [CrossRef] [PubMed]










| Parameter | Nominal | Measured |
|---|---|---|
| Length of the beam L | 300 | ≈296.13 |
| Width of the beam b | 16 | ≈15.13 |
| Thickness of the beam d | 3 | - |
| Distance to electrode | 5 | ≈5.61 |
| Length of the electrode | 100 | ≈97.27 |
| Notations | Parameter |
|---|---|
| Deflection | |
| Time | |
| Frequency | |
| Voltage parameter |
| Parameter | Value |
|---|---|
| Density (kg/) | 2300 |
| Young’s modulus E (GPa) | 169 |
| Modal electrostatic force parameter s | |
| Modal mass m | |
| Modal coeff. of the acoustic force | |
| Electrostatic force fitting parameter a | |
| Electrostatic force fitting parameter | |
| Electrostatic force fitting parameter p |
Disclaimer/Publisher’s Note: The statements, opinions and data contained in all publications are solely those of the individual author(s) and contributor(s) and not of MDPI and/or the editor(s). MDPI and/or the editor(s) disclaim responsibility for any injury to people or property resulting from any ideas, methods, instructions or products referred to in the content. |
© 2024 by the authors. Licensee MDPI, Basel, Switzerland. This article is an open access article distributed under the terms and conditions of the Creative Commons Attribution (CC BY) license (https://creativecommons.org/licenses/by/4.0/).
Share and Cite
Lulinsky, S.; Torteman, B.; Ilic, B.R.; Krylov, S. Parametric Amplification of Acoustically Actuated Micro Beams Using Fringing Electrostatic Fields. Micromachines 2024, 15, 257. https://doi.org/10.3390/mi15020257
Lulinsky S, Torteman B, Ilic BR, Krylov S. Parametric Amplification of Acoustically Actuated Micro Beams Using Fringing Electrostatic Fields. Micromachines. 2024; 15(2):257. https://doi.org/10.3390/mi15020257
Chicago/Turabian StyleLulinsky, Stella, Ben Torteman, Bojan R. Ilic, and Slava Krylov. 2024. "Parametric Amplification of Acoustically Actuated Micro Beams Using Fringing Electrostatic Fields" Micromachines 15, no. 2: 257. https://doi.org/10.3390/mi15020257
APA StyleLulinsky, S., Torteman, B., Ilic, B. R., & Krylov, S. (2024). Parametric Amplification of Acoustically Actuated Micro Beams Using Fringing Electrostatic Fields. Micromachines, 15(2), 257. https://doi.org/10.3390/mi15020257

