Modularized Reconfigurable Functional Electromagnetic Surfaces Using Tightly Coupled Antennas and Back-Loaded Radio Frequency Circuits
Abstract
1. Introduction
2. Design and Simulation
2.1. Design Principle
2.2. Design and Simulation of TCDA Unit Structure
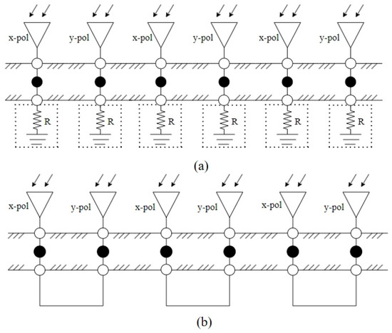
2.3. Design and Simulation of MRFES Unit Connected with Absorption Circuit
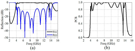
2.4. Design and Simulation of MRFES Unit Connected with Polarization Conversion Circuit
3. Physical Fabrication and Measurement
4. Conclusions
Author Contributions
Funding
Data Availability Statement
Conflicts of Interest
References
- Han, K.; Yan, Y.; Yan, Z.; Wang, C. Low-Profile Millimeter-Wave Metasurface-Based Antenna with Enhanced Bandwidth. Micromachines 2023, 14, 1403. [Google Scholar] [CrossRef] [PubMed]
- Tariq, S.; Naqvi, S.I.; Hussain, N.; Amin, Y. A Metasurface-Based MIMO Antenna for 5G Millimeter-Wave Applications. IEEE Access 2021, 9, 51805–51817. [Google Scholar] [CrossRef]
- Hong, T.; Wang, M.; Peng, K.; Zhao, Q.; Gong, S. Compact Ultra-Wide Band Frequency Selective Surface with High Selectivity. IEEE Trans. Antennas Propagat. 2020, 68, 5724–5729. [Google Scholar] [CrossRef]
- Bao, G.; Li, P.; Sun, J.; Chen, E.; Li, S. A High-Temperature-Resistant Stealth Bandpass/Bandstop-Switchable Frequency Selective Metasurface. Micromachines 2024, 15, 948. [Google Scholar] [CrossRef]
- Wang, J.; Niu, Y.; Zhao, Q.; Shang, Y.; Wang, Y. Multitasking Integrated Metasurface for Electromagnetic Wave Modulation with Reflection, Transmission, and Absorption. Micromachines 2024, 15, 965. [Google Scholar] [CrossRef]
- Zhou, F.; Tan, R.; Fang, W.; Fu, Y.; Ji, J.; Zhou, J.; Chen, P. An Ultra-Broadband Microwave Absorber Based on Hybrid Structure of Stereo Metamaterial and Planar Metasurface for the S, C, X and Ku Bands. Results Phys. 2021, 30, 104811. [Google Scholar] [CrossRef]
- Yang, L.; Peng, Z. Design of a Compact Ultra-Wideband Bandpass Filter Based on Improved Multi-Mode Resonator. In Proceedings of the 2021 Photonics & Electromagnetics Research Symposium (PIERS), Hangzhou, China, 21–25 November 2021; pp. 1515–1519. [Google Scholar]
- Yu, H.; Wang, X.; Su, J.; Qu, M.; Guo, Q.; Li, Z.; Song, J. Ultrawideband and High-Efficient Polarization Conversion Metasurface Based on Multi-Resonant Element and Interference Theory. Opt. Express 2021, 29, 35938. [Google Scholar] [CrossRef]
- Kang, W.; Chen, S.J.; Li, Y.H.; Sima, B.; Wu, W. Simultaneous Polarization Conversion and Retro-Reflection Based on Surface-Circuit Metasurfaces. Antennas Wirel. Propag. Lett. 2023, 22, 2002–2006. [Google Scholar] [CrossRef]
- Tan, F.; Xu, X.; Chen, H.; Li, S. Energy-Efficient Beamforming Optimization for MISO Communication Based on Reconfigurable Intelligent Surface. Phys. Commun. 2023, 57, 101996. [Google Scholar] [CrossRef]
- Liu, C.; Yang, F.; Xu, S.; Li, M. Reconfigurable Metasurface: A Systematic Categorization and Recent Advances. Electromag. Sci. 2023, 1, 1–23. [Google Scholar] [CrossRef]
- Li, Z.; Yang, R.; Wang, J.; Zhao, Y.; Tian, J.; Zhang, W. Multifunctional Metasurface for Broadband Absorption, Linear and Circular Polarization Conversions. Opt. Mater. Express 2021, 11, 3507. [Google Scholar] [CrossRef]
- Gokkavas, M.; Gundogdu, T.F.; Ozbay, E.; Serebryannikov, A.E. Few-Layer Bifunctional Metasurfaces Enabling Asymmetric and Symmetric Polarization-Plane Rotation at the Subwavelength Scale. Sci. Rep. 2024, 14, 13636. [Google Scholar] [CrossRef]
- Zhao, Y.; Liu, Z.; Li, C.; Jiao, W.; Jiang, S.; Li, X.; Duan, J.; Li, J. Mechanically Reconfigurable Metasurfaces: Fabrications and Applications. NPJ Nanophoton. 2024, 1, 16. [Google Scholar] [CrossRef]
- Lin, H.; Yu, W.; Tang, R.; Jin, J.; Wang, Y.; Xiong, J.; Wu, Y.; Zhao, J. A Dual-Band Reconfigurable Intelligent Metasurface with Beam Steering. J. Phys. D Appl. Phys. 2022, 55, 245002. [Google Scholar] [CrossRef]
- Bai, J.; Yang, Q.; Liang, Y.; Gao, X. Broadband Frequency Selective Rasorber Based on Spoof Surface Plasmon Polaritons. Micromachines 2022, 13, 1969. [Google Scholar] [CrossRef]
- Boukarkar, A.; Rachdi, S.; Mohamed Amine, M.; Sami, B.; Benziane Khalil, A. A Compact Four States Radiation-Pattern Reconfigurable Monopole Antenna for Sub-6 GHz IoT Applications. AEU—Int. J. Electron. Commun. 2023, 158, 154467. [Google Scholar] [CrossRef]
- Arshad, F.; Ahmad, A.; Amin, Y.; Abbasi, M.A.B.; Choi, D. MIMO Antenna Array with the Capability of Dual Polarization Reconfiguration for 5G Mm-Wave Communication. Sci. Rep. 2022, 12, 18298. [Google Scholar] [CrossRef]
- Ushikoshi, D.; Higashiura, R.; Tachi, K.; Fathnan, A.A.; Mahmood, S.; Takeshita, H.; Homma, H.; Akram, M.R.; Vellucci, S.; Lee, J.; et al. Pulse-Driven Self-Reconfigurable Meta-Antennas. Nat. Commun. 2023, 14, 633. [Google Scholar] [CrossRef]
- Modak, S.; Daasari, S.; Shome, P.P.; Khan, T. Switchable/Tunable Band-Notched Characteristics in UWB and UWB-MIMO Antennas: A Comprehensive Review. Wirel. Pers. Commun. 2023, 128, 2131–2154. [Google Scholar] [CrossRef]
- Bai, Y.; Gardner, P.; He, Y.; Sun, H. A Surrogate Modeling Approach for Frequency-Reconfigurable Antennas. IEEE Trans. Antennas Propagat. 2023, 71, 5498–5503. [Google Scholar] [CrossRef]
- Zhang, W.; Lin, J.; Zheng, Z.; Gao, Y.; Tao, J.; Shang, W.; Zhang, M. A One-Bit Programmable Multi-Functional Metasurface for Microwave Beam Shaping. Micromachines 2023, 14, 2011. [Google Scholar] [CrossRef] [PubMed]
- Zaidi, A.; Awan, W.; Ghaffar, A.; Alzaidi, M.; Alsharef, M.; Elkamchouchi, D.; Ghoneim, S.; Alharbi, T. A Low Profile Ultra-Wideband Antenna with Reconfigurable Notch Band Characteristics for Smart Electronic Systems. Micromachines 2022, 13, 1803. [Google Scholar] [CrossRef]
- Jiao, X.; Wang, J.; Ying, Z. A Compact Two-Port Integrated UWB and Frequency Reconfigurable Antenna System for Cognitive Radio Application. In Proceedings of the 2019 IEEE MTT-S International Wireless Symposium (IWS), Guangzhou, China, 19–22 May 2019; pp. 1–3. [Google Scholar]
- Al-Yasir, Y.I.A.; Ojaroudi Parchin, N.; Abd-Alhameed, R.A.; Abdulkhaleq, A.M.; Noras, J.M. Recent Progress in the Design of 4G/5G Reconfigurable Filters. Electronics 2019, 8, 114. [Google Scholar] [CrossRef]
- Bahari, N.; Jamlos, M.F.; Chalermwisutkul, S.; Lertwiriyaprapa, T. Investigation of Various U-Shaped Slots in Reconfigurable Antenna Using RF MEMS Switches. In Proceedings of the 2018 International Symposium on Antennas and Propagation (ISAP), Busan, Republic of Korea, 23–26 October 2018. [Google Scholar]
- Zhang, S.; Cao, W.; Wu, T.; Wang, J.; Wei, Y. The Design of a Multifunctional Coding Transmitarray with Independent Manipulation of the Polarization States. Micromachines 2024, 15, 1014. [Google Scholar] [CrossRef] [PubMed]
- Nguyen, T.M.; Vu, D.L.; Nguyen, T.Q.H.; Kim, J.-M. Reconfigurable Broadband Metasurfaces with Nearly Perfect Absorption and High Efficiency Polarization Conversion in THz Range. Sci. Rep. 2022, 12, 18779. [Google Scholar] [CrossRef]
- Wang, B.; Wu, W.; Zong, Z.-Y.; Li, H.-Y.; Fang, D.-G. A Dual-Band Polarization Converter with Independent Frequency Response Control Using Back-Loaded Radio Frequency Circuits. Antennas Wirel. Propag. Lett. 2023, 22, 1094–1098. [Google Scholar] [CrossRef]
- Wang, B.; Wu, W.; Zong, Z.-Y.; Sima, B.-Y.; Fang, D.-G. Electromagnetic Functional Surfaces Related to Frequency Response Control Using Back-Loaded Radio Frequency Circuits. IEEE Trans. Antennas Propagat. 2022, 70, 9425–9434. [Google Scholar] [CrossRef]
- Cao, Y.; Zhang, M.; Fan, C.; Chen, J.-X. A Broadband Transmitarray Antenna Using a Metasurface-Based Element for Millimeter-Wave Applications. Micromachines 2024, 15, 383. [Google Scholar] [CrossRef]
- Zhang, Y.; Gao, Y.; Yang, S.; Li, Z.; Wang, X.; Zhang, J. Modeling of a Broadband Microwave Composite Thin Film Absorber. Micromachines 2023, 14, 2119. [Google Scholar] [CrossRef]
- Wang, B.; Wu, W.; Zong, Z.-Y.; Cheng, G.; Zhou, S.-Z.; Fang, D.-G. Switchable Electromagnetic Absorber/Reflectors Using Back-Loaded Active Radio Frequency Circuits. Electromag. Sci. 2023, 1, 0040302. [Google Scholar] [CrossRef]













| Parameter | W1 | W2 | W3 | L1 | L2 | L3 | L4 | H2 |
| Value/mm | 2.5 | 5 | 3 | 1.1 | 3.25 | 2.3 | 3.17 | 0.035 |
| Parameter | R1 | R2 | R3 | C1 | C2 | B1 | H1 | H3 |
| Value/mm | 0.5 | 0.4 | 0.5 | 1.1 | 0.65 | 1.1 | 3 | 1.5 |
Disclaimer/Publisher’s Note: The statements, opinions and data contained in all publications are solely those of the individual author(s) and contributor(s) and not of MDPI and/or the editor(s). MDPI and/or the editor(s) disclaim responsibility for any injury to people or property resulting from any ideas, methods, instructions or products referred to in the content. |
© 2024 by the authors. Licensee MDPI, Basel, Switzerland. This article is an open access article distributed under the terms and conditions of the Creative Commons Attribution (CC BY) license (https://creativecommons.org/licenses/by/4.0/).
Share and Cite
Sima, B.; Gong, J.; Xi, Z.; Zhang, S.; Li, Z.; Wang, T.; Cheng, G.; Li, H.; Wang, X.; Wang, J.; et al. Modularized Reconfigurable Functional Electromagnetic Surfaces Using Tightly Coupled Antennas and Back-Loaded Radio Frequency Circuits. Micromachines 2024, 15, 1490. https://doi.org/10.3390/mi15121490
Sima B, Gong J, Xi Z, Zhang S, Li Z, Wang T, Cheng G, Li H, Wang X, Wang J, et al. Modularized Reconfigurable Functional Electromagnetic Surfaces Using Tightly Coupled Antennas and Back-Loaded Radio Frequency Circuits. Micromachines. 2024; 15(12):1490. https://doi.org/10.3390/mi15121490
Chicago/Turabian StyleSima, Boyu, Jiayi Gong, Zhenghu Xi, Shunli Zhang, Ziling Li, Tao Wang, Guoxiao Cheng, Huangyan Li, Xiang Wang, Jianpeng Wang, and et al. 2024. "Modularized Reconfigurable Functional Electromagnetic Surfaces Using Tightly Coupled Antennas and Back-Loaded Radio Frequency Circuits" Micromachines 15, no. 12: 1490. https://doi.org/10.3390/mi15121490
APA StyleSima, B., Gong, J., Xi, Z., Zhang, S., Li, Z., Wang, T., Cheng, G., Li, H., Wang, X., Wang, J., & Zong, Z. (2024). Modularized Reconfigurable Functional Electromagnetic Surfaces Using Tightly Coupled Antennas and Back-Loaded Radio Frequency Circuits. Micromachines, 15(12), 1490. https://doi.org/10.3390/mi15121490

