Improvement of AlGaN/GaN High-Electron-Mobility Transistor Radio Frequency Performance Using Ohmic Etching Patterns for Ka-Band Applications
Abstract
:1. Introduction
2. Materials and Methods
3. Results and Discussion
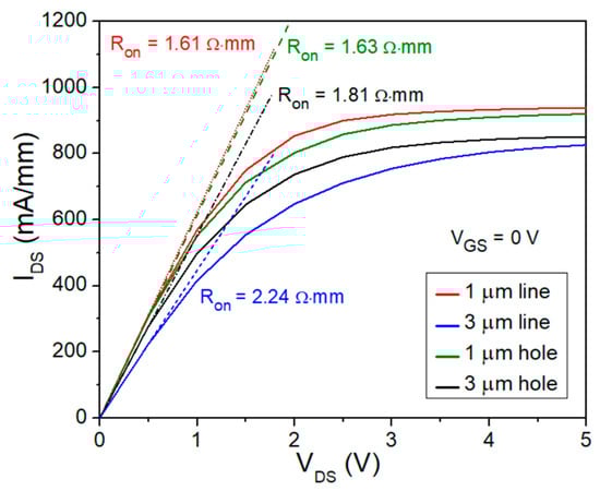
3.1. DC Characteristics
3.2. RF Characteristics
3.2.1. Small Signal Performance
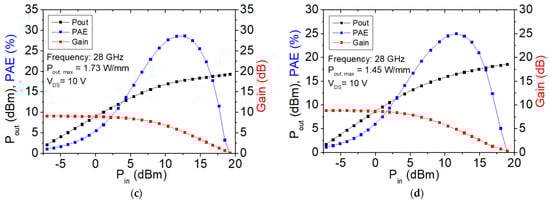
3.2.2. Large Signal Performance
3.2.3. Noise Figure
4. Conclusions
Author Contributions
Funding
Data Availability Statement
Acknowledgments
Conflicts of Interest
References
- Zanella, A.; Bui, N.; Castellani, A.; Vangelista, L.; Zorzi, M. Internet of Things for Smart Cities. IEEE Internet Things J. 2014, 1, 22–32. [Google Scholar] [CrossRef]
- McEnroe, P.; Wang, S.; Liyanage, M. A Survey on the Convergence of Edge Computing and AI for UAVs: Opportunities and Challenges. IEEE Internet Things J. 2022, 9, 15435–15459. [Google Scholar] [CrossRef]
- Al-Ali, A.R.; Zualkernan, I.A.; Rashid, M.; Gupta, R.; Alikarar, M. A smart home energy management system using IoT and big data analytics approach. IEEE Trans. Consum. Electron. 2017, 63, 426–434. [Google Scholar] [CrossRef]
- Lorincz, J.; Klarin, Z.; Ožegović, J. A Comprehensive Overview of TCP Congestion Control in 5G Networks: Research Challenges and Future Perspectives. Sensors 2021, 21, 4510. [Google Scholar] [CrossRef] [PubMed]
- Liu, W.; Michelson, D.G. Effect of Turbulence Layer Height and Satellite Altitude on Tropospheric Scintillation on Ka-Band Earth–LEO Satellite Links. IEEE Trans. Veh. Technol. 2010, 59, 3181–3192. [Google Scholar] [CrossRef]
- Nakatani, K.; Komatsuzaki, Y.; Shinjo, S.; Kamioka, J.; Komaru, R.; Nakamizo, H.; Miyawaki, K.; Yamanaka, K. A highly integrated RF frontend module including Doherty PA, LNA and switch for high SHF wide-band massive MIMO in 5G. In Proceedings of the 2017 IEEE Topical Conference on RF/Microwave Power Amplifiers for Radio and Wireless Applications (PAWR), Phoenix, AZ, USA, 15–18 January 2017; pp. 37–39. [Google Scholar] [CrossRef]
- Ellinger, F.; Claus, M.; Schröter, M.; Carta, C. Review of advanced and Beyond CMOS FET technologies for radio frequency circuit design. In Proceedings of the 2011 SBMO/IEEE MTT-S International Microwave and Optoelectronics Conference (IMOC 2011), Natal, Brazil, 29 October–1 November 2011; pp. 347–351. [Google Scholar] [CrossRef]
- Mehr, P.; Moallemi, S.; Zhang, X.; Lepkowski, W.; Kitchen, J.; Thornton, T.J. CMOS-Compatible MESFETs for High Power RF Integrated Circuits. IEEE Trans. Semicond. Manuf. 2019, 32, 14–22. [Google Scholar] [CrossRef]
- Lin, Y.-C.; Chang, E.Y.; Yamaguchi, H.; Wu, W.-C.; Chang, C.-Y. A δ-Doped InGaP/InGaAs pHEMT with Different Doping Profiles for Device-Linearity Improvement. IEEE Trans. Electron Devices 2007, 54, 1617–1625. [Google Scholar] [CrossRef]
- del Alamo, J.A. The High Electron Mobility Transistor. In 75th Anniversary of the Transistor; IEEE: Piscataway, NJ, USA, 2023; pp. 253–262. [Google Scholar] [CrossRef]
- Mishra, U.K.; Parikh, P.; Wu, Y.-F. AlGaN/GaN HEMTs-an overview of device operation and applications. Proc. IEEE 2022, 90, 1022–1031. [Google Scholar] [CrossRef]
- Lee, M.-W.; Lin, Y.-C.; Chang, P.-S.; Tsao, Y.-F.; Hsu, H.-T.; Dee, C.-F.; Chang, E.Y. Over 10 W/mm High Power Density AlGaN/GaN HEMTs with Small Gate Length by the Stepper Lithography for Ka-Band Applications. IEEE J. Electron Devices Soc. 2023, 11, 311–318. [Google Scholar] [CrossRef]
- Palacios, T.; Chakraborty, A.; Rajan, S.; Poblenz, C.; Keller, S.; DenBaars, S.; Speck, J.; Mishra, U. High-power AlGaN/GaN HEMTs for Ka-band applications. IEEE Electron Device Lett. 2005, 26, 781–783. [Google Scholar] [CrossRef]
- Nakatani, K.; Yamaguchi, Y.; Komatsuzaki, Y.; Sakata, S.; Shinjo, S.; Yamanaka, K. A Ka-Band High Efficiency Doherty Power Amplifier MMIC using GaN-HEMT for 5G Application. In Proceedings of the 2018 IEEE MTT-S International Microwave Workshop Series on 5G Hardware and System Technologies (IMWS-5G), Dublin, Ireland, 30–31 August 2018; pp. 1–3. [Google Scholar] [CrossRef]
- Xu, H.; Sanabria, C.; Chini, A.; Keller, S.; Mishra, U.K.; York, R.A. A C-band high-dynamic range GaN HEMT low-noise amplifier. IEEE Microw. Wirel. Compon. Lett. 2004, 14, 262–264. [Google Scholar] [CrossRef]
- Palacios, T.; Chakraborty, A.; Heikman, S.; Keller, S.; DenBaars, S.P.; Mishra, U.K. AlGaN/GaN high electron mobility transistors with InGaN back-barriers. IEEE Electron Device Lett. 2006, 27, 13–15. [Google Scholar] [CrossRef]
- Gibiino, G.P.; Angelotti, A.M.; Santarelli, A.; Florian, C. Microwave Characterization of Trapping Effects in 100-nm GaN-on-Si HEMT Technology. IEEE Microw. Wirel. Compon. Lett. 2019, 29, 604–606. [Google Scholar] [CrossRef]
- Guo, J.; Li, G.; Faria, F.; Cao, Y.; Wang, R.; Verma, J.; Gao, X.; Guo, S.; Beam, E.; Ketterson, A.; et al. MBE-Regrown Ohmics in InAlN HEMTs With a Regrowth Interface Resistance of 0.05 Ω·mm. IEEE Electron Device Lett. 2012, 33, 525–527. [Google Scholar] [CrossRef]
- Takei, Y.; Kamiya, M.; Tsutsui, K.; Saito, W.; Kakushima, K.; Wakabayashi, H.; Kataoka, Y.; Iwai, H. Ohmic Contact Properties Depending on AlGaN Layer Thickness for AlGaN/GaN High Electron Mobility Transistor Structures. ECS Trans. 2014, 61, 265–270. [Google Scholar] [CrossRef]
- Lu, Y.; Ma, X.; Yang, L.; Hou, B.; Mi, M.; Zhang, M.; Zheng, J.; Zhang, H.; Hao, Y. High RF Performance AlGaN/GaN HEMT Fabricated by Recess-Arrayed Ohmic Contact Technology. IEEE Electron Device Lett. 2018, 39, 811–814. [Google Scholar] [CrossRef]
- Benakaprasad, B.; Eblabla, A.M.; Li, X.; Crawford, K.G.; Elgaid, K. Optimization of Ohmic Contact for AlGaN/GaN HEMT on Low-Resistivity Silicon. IEEE Trans. Electron Devices 2020, 67, 863–868. [Google Scholar] [CrossRef]
- Wang, C.; Zhao, M.D.; He, Y.L.; Zheng, X.F.; Wei, X.X.; Mao, W.; Zhang, J.; Hao, Y. Optimization of ohmic contact for AlGaN/GaN HEMT by introducing patterned etching in ohmic area. Solid State Electron. 2017, 129, 114–119. [Google Scholar] [CrossRef]
- You, X.-R.; Chen, C.-W.; Tzou, J.; Hsin, Y.-M. Study of Au-based and Au-free Ohmic contacts in AlGaN/GaN HEMTs by recessed patterns. ECS J. Solid State Sci. Technol. 2021, 10, 075006. [Google Scholar] [CrossRef]
- Takei, Y.; Kamiya, M.; Tsutsui, K.; Saito, W.; Kakushima, K.; Wakabayashi, H.; Kataoka, Y.; Iwai, H. Reduction of contact resistance on AlGaN/GaN HEMT structures introducing uneven AlGaN layers. Phys. Status Solidi A 2015, 212, 1104–1109. [Google Scholar] [CrossRef]
- Wang, C.; He, Y.; Zheng, X.; Zhao, M.; Mi, M.; Li, X.; Mao, W.; Ma, X.; Hao, Y. Low ohmic-contact resistance in AlGaN/GaN high electron mobility transistors with holes etching in ohmic region. Electron. Lett. 2015, 51, 2145–2147. [Google Scholar] [CrossRef]
- Han, K. Employing hole-array recess of barrier layer of AlGaN/GaN heterostructures to reduce annealing temperature of ohmic contact. Semicond. Sci. Technol. 2017, 32, 105010. [Google Scholar] [CrossRef]
- Jang, M.; Park, J.; Hwang, J.H.; Mun, H.J.; Cha, S.; Hong, S.-M.; Jang, J.-H. Effects of periodic patterns in recessed ohmic contacts on InAlGaN/GaN heterostructures. Solid-State Electron. 2020, 174, 107917. [Google Scholar] [CrossRef]
- Hajlasz, M.; Donkers, J.J.T.M.; Sque, S.J.; Heil, S.B.S.; Gravesteijn, D.J.; Rietveld, F.J.R.; Schmitz, J. Characterization of recessed Ohmic contacts to AlGaN/GaN. In Proceedings of the 2015 International Conference on Microelectronic Test Structures, Tempe, AZ, USA, 23–26 March 2015; pp. 158–162. [Google Scholar] [CrossRef]
- Buttari, D.; Heikman, S.; Keller, S.; Mishra, U.K. Digital etching for highly reproducible low damage gate recessing on AlGaN/GaN HEMTs. In Proceedings of the IEEE Lester Eastman Conference on High Performance Devices, Newark, DE, USA, 8 August 2002; pp. 461–469. [Google Scholar] [CrossRef]
- Romanczyk, B.; Zheng, X.; Guidry, M.; Li, H.; Hatui, N.; Wurm, C.; Krishna, A.; Ahmadi, E.; Keller, S.; Mishra, U.K. W-Band Power Performance of SiN-Passivated N-Polar GaN Deep Recess HEMTs. IEEE Electron Device Lett. 2020, 41, 349–352. [Google Scholar] [CrossRef]
- Kim, D.-H.; del Alamo, J.A. 30-nm InAs Pseudomorphic HEMTs on an InP Substrate with a Current-Gain Cutoff Frequency of 628 GHz. IEEE Electron Device Lett. 2008, 29, 830–833. [Google Scholar] [CrossRef]
- Buttari, D.; Chini, A.; Meneghesso, G.; Zanoni, E.; Moran, B.; Heikman, S.; Zhang, N.; Shen, L.; Coffie, R.; DenBaars, S.; et al. Systematic characterization of Cl2 reactive ion etching for improved ohmics in AlGaN/GaN HEMTs. IEEE Electron Device Lett. 2002, 23, 76–78. [Google Scholar] [CrossRef]
- Kumazaki, Y.; Ozaki, S.; Okamoto, N.; Hara, N.; Ohki, T. Low-Resistance and Low-Thermal-Budget Ohmic Contact by Introducing Periodic Microstructures for AlGaN/AlN/GaN HEMTs. IEEE Trans. Electron Devices 2022, 69, 3073–3078. [Google Scholar] [CrossRef]
- Lee, P.-H.; Lin, Y.-C.; Hsu, H.-T.; Tsao, Y.-F.; Dee, C.-F.; Su, P.; Chang, E.Y. A Tall Gate Stem GaN HEMT With Improved Power Density and Efficiency at Ka-Band. IEEE J. Electron Devices Soc. 2023, 11, 36–42. [Google Scholar] [CrossRef]
- Binari, S.; Ikossi, K.; Roussos, J.A.; Kruppa, W.; Park, D.; Dietrich, H.B.; Koleske, D.D.; Wickenden, A.E.; Henry, R.L. Trapping effects and microwave power performance in AlGaN/GaN HEMTs. IEEE Trans. Electron Devices 2001, 48, 465–471. [Google Scholar] [CrossRef]
- Jarndal, A.; Arivazhagan, L.; Almajali, E.; Majzoub, S.; Bonny, T.; Mahmoud, S. Impact of AlGaN Barrier Thickness and Substrate Material on the Noise Characteristics of GaN HEMT. IEEE J. Electron Devices Soc. 2022, 10, 696–705. [Google Scholar] [CrossRef]










| Ohmic Etching Patterns | ρc (Ω·cm2) | Rc (Ω·mm) |
|---|---|---|
| 1 μm line | 4.04 × 10−7 | 0.154 |
| 3 μm line | 7.80 × 10−7 | 0.212 |
| 1 μm hole | 6.01 × 10−7 | 0.191 |
| 3 μm hole | 7.68 × 10−7 | 0.199 |
| w/o OEPs | 2.73 × 10−6 | 0.429 |
| Ohmic Etching Patterns | Ron (Ω·mm) | Gm, peak (mS/mm) | IDSS (mA/mm) | NFmin at 28 GHz (dB) | Gain at 28 GHz (dB) |
|---|---|---|---|---|---|
| 1 μm line | 1.61 | 403 | 999 | 1.75 | 5.98 |
| 3 μm line | 2.24 | 374 | 855 | 2.00 | 6.14 |
| 1 μm hole | 1.63 | 393 | 932 | 1.85 | 5.80 |
| 3 μm hole | 1.81 | 385 | 880 | 1.87 | 6.09 |
| Ohmic Etching Patterns | fT (GHz) | fmax (GHz) | Rs (Ω) | Rd (Ω) | Cgs (fF) | Cgd (fF) |
|---|---|---|---|---|---|---|
| 1 μm line | 36.40 | 158.29 | 4.35 | 2.73 | 91.03 | 9.76 |
| 3 μm line | 30.90 | 145.50 | 5.04 | 3.43 | 94.84 | 10.82 |
| 1 μm hole | 33.10 | 150.05 | 4.53 | 2.81 | 91.30 | 10.15 |
| 3 μm hole | 32.60 | 146.80 | 4.75 | 2.93 | 93.42 | 10.56 |
| Ohmic Etching Patterns | PAE Peak (%) | Gain (dB) | Pout, max (dBm) | Pout, max (W/mm) |
|---|---|---|---|---|
| 1 μm line | 29.01 | 9.52 | 19.86 | 1.94 |
| 3 μm line | 21.44 | 8.60 | 18.31 | 1.36 |
| 1 μm hole | 28.70 | 9.12 | 19.36 | 1.73 |
| 3 μm hole | 25.03 | 8.87 | 18.60 | 1.45 |
Disclaimer/Publisher’s Note: The statements, opinions and data contained in all publications are solely those of the individual author(s) and contributor(s) and not of MDPI and/or the editor(s). MDPI and/or the editor(s) disclaim responsibility for any injury to people or property resulting from any ideas, methods, instructions or products referred to in the content. |
© 2023 by the authors. Licensee MDPI, Basel, Switzerland. This article is an open access article distributed under the terms and conditions of the Creative Commons Attribution (CC BY) license (https://creativecommons.org/licenses/by/4.0/).
Share and Cite
Lee, M.-W.; Chuang, C.-W.; Gamiz, F.; Chang, E.-Y.; Lin, Y.-C. Improvement of AlGaN/GaN High-Electron-Mobility Transistor Radio Frequency Performance Using Ohmic Etching Patterns for Ka-Band Applications. Micromachines 2024, 15, 81. https://doi.org/10.3390/mi15010081
Lee M-W, Chuang C-W, Gamiz F, Chang E-Y, Lin Y-C. Improvement of AlGaN/GaN High-Electron-Mobility Transistor Radio Frequency Performance Using Ohmic Etching Patterns for Ka-Band Applications. Micromachines. 2024; 15(1):81. https://doi.org/10.3390/mi15010081
Chicago/Turabian StyleLee, Ming-Wen, Cheng-Wei Chuang, Francisco Gamiz, Edward-Yi Chang, and Yueh-Chin Lin. 2024. "Improvement of AlGaN/GaN High-Electron-Mobility Transistor Radio Frequency Performance Using Ohmic Etching Patterns for Ka-Band Applications" Micromachines 15, no. 1: 81. https://doi.org/10.3390/mi15010081
APA StyleLee, M.-W., Chuang, C.-W., Gamiz, F., Chang, E.-Y., & Lin, Y.-C. (2024). Improvement of AlGaN/GaN High-Electron-Mobility Transistor Radio Frequency Performance Using Ohmic Etching Patterns for Ka-Band Applications. Micromachines, 15(1), 81. https://doi.org/10.3390/mi15010081

