Ultrathin Flexible Encapsulation Materials Based on Al2O3/Alucone Nanolaminates for Improved Electrical Stability of Silicon Nanomembrane-Based MOS Capacitors
Abstract
:1. Introduction
2. Device Fabrication and Encapsulation Methods
3. C–V and J–V Characteristics of MOSCAPs in the Pristine State
4. Electrical Characteristics at Different Bending Radii
4.1. Comparison of Measured C–V Curves at Different Bending Strains
4.2. Comparative Analysis of Cmax, Cmin, Jg, Vhy
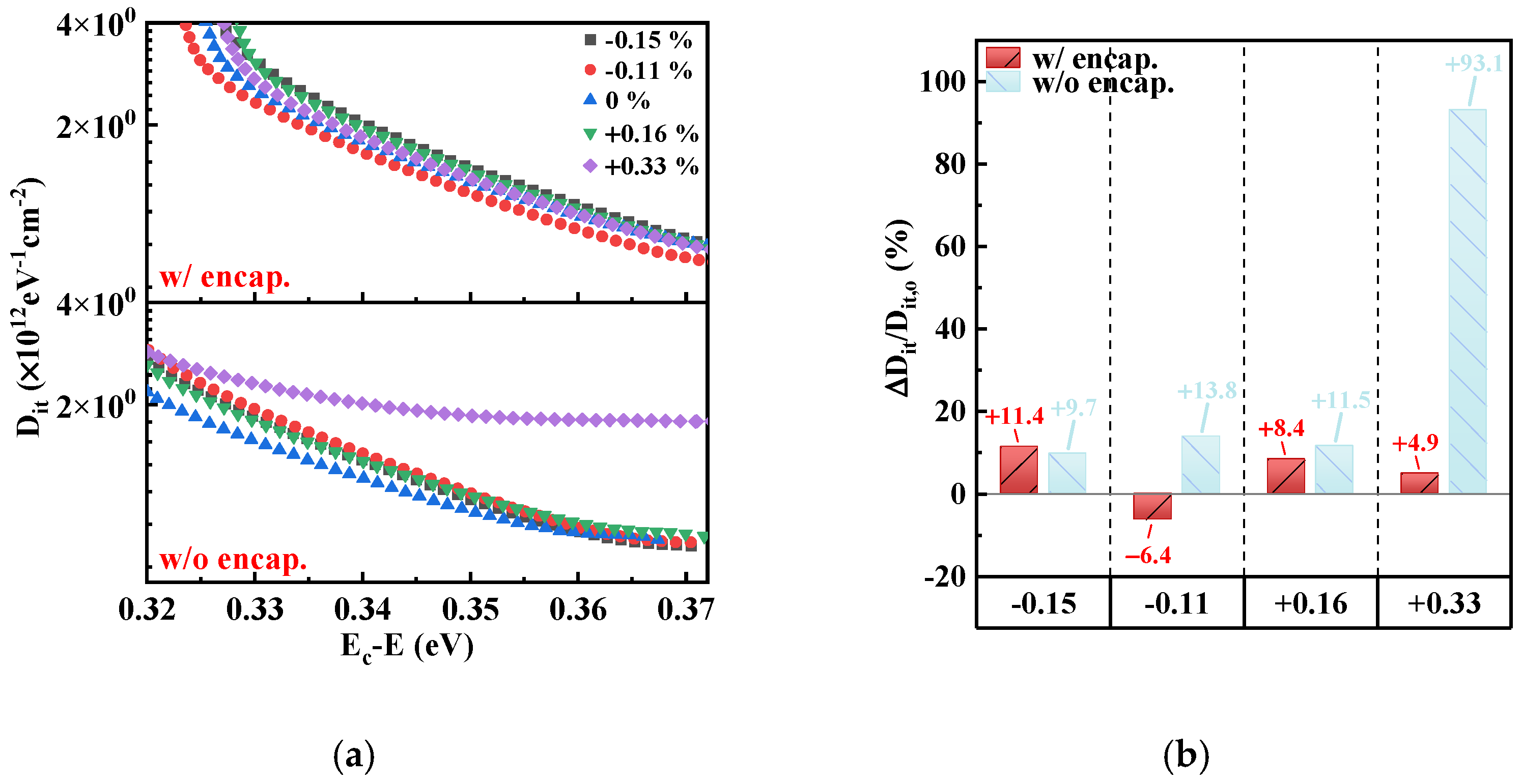
4.3. Comparision of Neff, Not, Dit, Freq.(ω) under Bending Strains
5. Conclusions
Author Contributions
Funding
Data Availability Statement
Conflicts of Interest
References
- Sang, M.; Kim, K.; Shin, J.; Yu, K.J. Ultra-Thin Flexible Encapsulating Materials for Soft Bio-Integrated Electronics. Adv. Sci. 2022, 9, 2202980. [Google Scholar] [CrossRef] [PubMed]
- Balakrishnan, G.; Song, J.; Mou, C.; Bettinger, C.J. Recent Progress in Materials Chemistry to Advance Flexible Bioelectronics in Medicine. Adv. Mater. 2022, 34, 2106787. [Google Scholar] [CrossRef] [PubMed]
- Li, H.; Ma, Y.; Huang, Y. Material Innovation and Mechanics Design for Substrates and Encapsulation of Flexible Electronics: A Review. Mater. Horizons 2021, 8, 383–400. [Google Scholar] [CrossRef] [PubMed]
- Urmi, S.S.; Billah, M.M.; Priyadarshi, S.; Bae, J.; Jung, B.; Lee, S.; Kim, K.; Shin, J.; Choi, S.; Lim, J.; et al. Highly Robust Flexible Poly-Si Thin Film Transistor under Mechanical Strain with Split Active Layer for Foldable Active Matrix Organic Light Emitting Diode Display. IEEE Electron Device Lett. 2023, 44, 80–83. [Google Scholar] [CrossRef]
- Chen, S.; Dong, Y.; Liu, T.L.; Li, J. Waterproof, Flexible Field-Effect Transistors with Submicron Monocrystalline Si Nanomembrane Derived Encapsulation for Continuous PH Sensing. Biosens. Bioelectron. 2022, 195, 113683. [Google Scholar] [CrossRef] [PubMed]
- Song, E.; Fang, H.; Jin, X.; Zhao, J.; Jiang, C.; Yu, K.J.; Zhong, Y.; Xu, D.; Li, J.; Fang, G.; et al. Thin, Transferred Layers of Silicon Dioxide and Silicon Nitride as Water and Ion Barriers for Implantable Flexible Electronic Systems. Adv. Electron. Mater. 2017, 3, 1700077. [Google Scholar] [CrossRef]
- Shen, K.; Maharbiz, M.M. Design of Ceramic Packages for Ultrasonically Coupled Implantable Medical Devices. IEEE Trans. Biomed. Eng. 2020, 67, 2230–2240. [Google Scholar] [CrossRef]
- Joung, Y.H. Development of Implantable Medical Devices: From an Engineering Perspective. Int. Neurourol. J. 2013, 17, 98–106. [Google Scholar] [CrossRef]
- Kim, K.; Pierron, O.N.; Graham, S. Atomic Layer Deposited Al2O3 Capping Layer Effect on Environmentally Assisted Cracking in SiNx Barrier Films. J. Appl. Phys. 2019, 125, 045301. [Google Scholar] [CrossRef]
- Kim, L.H.; Jang, J.H.; Jeong, Y.J.; Kim, K.; Baek, Y.; Kwon, H.J.; An, T.K.; Nam, S.; Kim, S.H.; Jang, J.; et al. Highly-Impermeable Al2O3/HfO2 Moisture Barrier Films Grown by Low-Temperature Plasma-Enhanced Atomic Layer Deposition. Org. Electron. 2017, 50, 296–303. [Google Scholar] [CrossRef]
- Jen, S.H.; Bertrand, J.A.; George, S.M. Critical Tensile and Compressive Strains for Cracking of Al2O3 Films Grown by Atomic Layer Deposition. J. Appl. Phys. 2011, 109, 084305. [Google Scholar] [CrossRef]
- Han, J.H.; Kim, T.Y.; Kim, D.Y.; Yang, H.L.; Park, J.S. Water Vapor and Hydrogen Gas Diffusion Barrier Characteristics of Al2O3–alucone Multi-Layer Structures for Flexible OlED Display Applications. Dalton Trans. 2021, 50, 15841–15848. [Google Scholar] [CrossRef] [PubMed]
- Vähä Nissi, M.; Sundberg, P.; Kauppi, E.; Hirvikorpi, T.; Sievänen, J.; Sood, A.; Karppinen, M.; Harlin, A. Barrier Properties of Al2O3 and alucone Coatings and Nanolaminates on Flexible Biopolymer Films. Thin Solid Film. 2012, 520, 6780–6785. [Google Scholar] [CrossRef]
- Ruoho, M.; Tarasiuk, N.; Rohbeck, N.; Kapusta, C.; Michler, J.; Utke, I. Stability of Mechanical Properties of Molecular Layer–Deposited alucone. Mater. Today Chem. 2018, 10, 187–194. [Google Scholar] [CrossRef]
- Zhang, Y.; Yang, R.; George, S.M.; Lee, Y.C. In-Situ Inspection of Cracking in Atomic-Layer-Deposited Barrier Films on Surface and in Buried Structures. Thin Solid Film. 2011, 520, 251–257. [Google Scholar] [CrossRef]
- Li, M.Z.; Guo, L.C.; Liu, G.; Yan, Y.; Zhang, M.; Han, S.T.; Zhou, Y. Manipulating Strain in Transistors: From Mechanically Sensitive to Insensitive. Adv. Electron. Mater. 2022, 8, 2101288. [Google Scholar] [CrossRef]
- Navaraj, W.T.; Gupta, S.; Lorenzelli, L.; Dahiya, R. Wafer Scale Transfer of Ultrathin Silicon Chips on Flexible Substrates for High Performance Bendable Systems. Adv. Electron. Mater. 2018, 4, 1700277. [Google Scholar] [CrossRef]
- Oh, J.; Kim, J.; Lee, S.Y.; Kim, M.S.; Kim, J.M.; Park, K.; Kim, Y. Bending Performance of Flexible Organic Thin-Film Transistors With/Without Encapsulation Layer. IEEE Trans. Device Mater. Reliab. 2018, 18, 1–4. [Google Scholar] [CrossRef]
- Lee, H.E.; Kim, S.; Ko, J.; Yeom, H.I.; Byun, C.W.; Lee, S.H.; Joe, D.J.; Im, T.H.; Park, S.H.K.; Lee, K.J. Skin-Like Oxide Thin-Film Transistors for Transparent Displays. Adv. Funct. Mater. 2016, 26, 6170–6178. [Google Scholar] [CrossRef]
- Harris, K.D.; Elias, A.L.; Chung, H.J. Flexible Electronics under Strain: A Review of Mechanical Characterization and Durability Enhancement Strategies. J. Mater. Sci. 2015, 51, 2771–2805. [Google Scholar] [CrossRef]
- Heidari, H.; Wacker, N.; Dahiya, R. Bending Induced Electrical Response Variations in Ultra-Thin Flexible Chips and Device Modeling. Appl. Phys. Rev. 2017, 4, 031101. [Google Scholar] [CrossRef]
- Park, S.I.; Ahn, J.H.; Feng, X.; Wang, S.; Huang, Y.; Rogers, J.A. Theoretical and Experimental Studies of Bending of Inorganic Electronic Materials on Plastic Substrates. Adv. Funct. Mater. 2008, 18, 2673–2684. [Google Scholar] [CrossRef]
- Ghoneim, M.T.; Alfaraj, N.; Sevilla, G.A.T.; Fahad, H.M.; Hussain, M.M. Out-of-Plane Strain Effects on Physically Flexible FinFET CMOS. IEEE Trans. Electron Devices 2016, 63, 2657–2664. [Google Scholar] [CrossRef]
- Lee, S.; Do, Y.; Kim, D.; Jang, J. Extremely Foldable LTPS TFT Backplane Using Blue Laser Annealing for Low-Cost Manufacturing of Rollable and Foldable Amoled Display. J. Soc. Inf. Disp. 2021, 29, 382–389. [Google Scholar] [CrossRef]
- Liu, C.; Wang, Z.; Zhang, Y.; Lü, H.; Zhang, Y.M. Nanolaminated HfO2/Al2O3 Dielectrics for High-Performance Silicon Nanomembrane Based Field-Effect Transistors on Biodegradable Substrates. Adv. Mater. Interfaces 2022, 9, 2201477. [Google Scholar] [CrossRef]
- Liu, C.; Zhang, Y.; Zhang, Y.M.; Lü, H.L. Interfacial Characteristics of Al/Al2O3/ZnO/n-GaAs MOS Capacitor. Chin. Phys. B 2013, 22, 076701. [Google Scholar] [CrossRef]










Disclaimer/Publisher’s Note: The statements, opinions and data contained in all publications are solely those of the individual author(s) and contributor(s) and not of MDPI and/or the editor(s). MDPI and/or the editor(s) disclaim responsibility for any injury to people or property resulting from any ideas, methods, instructions or products referred to in the content. |
© 2023 by the authors. Licensee MDPI, Basel, Switzerland. This article is an open access article distributed under the terms and conditions of the Creative Commons Attribution (CC BY) license (https://creativecommons.org/licenses/by/4.0/).
Share and Cite
Wang, Z.; Lu, H.; Zhang, Y.; Liu, C.; Zhang, H.; Yu, Y. Ultrathin Flexible Encapsulation Materials Based on Al2O3/Alucone Nanolaminates for Improved Electrical Stability of Silicon Nanomembrane-Based MOS Capacitors. Micromachines 2024, 15, 41. https://doi.org/10.3390/mi15010041
Wang Z, Lu H, Zhang Y, Liu C, Zhang H, Yu Y. Ultrathin Flexible Encapsulation Materials Based on Al2O3/Alucone Nanolaminates for Improved Electrical Stability of Silicon Nanomembrane-Based MOS Capacitors. Micromachines. 2024; 15(1):41. https://doi.org/10.3390/mi15010041
Chicago/Turabian StyleWang, Zhuofan, Hongliang Lu, Yuming Zhang, Chen Liu, Haonan Zhang, and Yanhao Yu. 2024. "Ultrathin Flexible Encapsulation Materials Based on Al2O3/Alucone Nanolaminates for Improved Electrical Stability of Silicon Nanomembrane-Based MOS Capacitors" Micromachines 15, no. 1: 41. https://doi.org/10.3390/mi15010041
APA StyleWang, Z., Lu, H., Zhang, Y., Liu, C., Zhang, H., & Yu, Y. (2024). Ultrathin Flexible Encapsulation Materials Based on Al2O3/Alucone Nanolaminates for Improved Electrical Stability of Silicon Nanomembrane-Based MOS Capacitors. Micromachines, 15(1), 41. https://doi.org/10.3390/mi15010041

