Recent Advances in Electrochemical Sensors for Sulfur-Containing Antioxidants
Abstract
1. Introduction
2. Sulfur-Containing Antioxidants and Their Action in Living Systems
- Reactive oxygen species scavenging;
- Chelating effect toward transition and heavy metals;
- Oxidative stress harmful effect repair;
- Chemopreventive effect;
- Inhibition of the cell’s apoptosis;
- Antiviral effect;
- Neuro- and cardioprotective activity.
3. Electrochemical Sensors for S-Containing Antioxidants
3.1. Bare Electrodes
3.2. Sensors Based on Modified Electrodes
3.2.1. Carbon Nanomaterial-Based Sensors
3.2.2. Electrochemical Sensors Based on Metal and Metal Oxide Nanostructures
3.2.3. Sensors Based on Organic Mediators
3.2.4. Polymer-Based Sensors
3.2.5. Sensors Based on the Combination of Nanomaterials
4. Simultaneous Determination of S-Containing Antioxidants by Liquid Chromatography with Electrochemical Detection
5. Conclusions and Future Development
Author Contributions
Funding
Data Availability Statement
Acknowledgments
Conflicts of Interest
References
- Halliwell, B.; Gutteridge, J.M.C. Free Radicals in Biology and Medicine, 5th ed.; Oxford University Press: Oxford, UK, 2015; 896p. [Google Scholar] [CrossRef]
- Young, I.S.; Woodside, J.V. Antioxidants in health and disease. J. Clin. Pathol. 2001, 54, 176–186. [Google Scholar] [CrossRef] [PubMed]
- Pizzino, G.; Irrera, N.; Cucinotta, M.; Pallio, G.; Mannino, F.; Arcoraci, V.; Squadrito, F.; Altavilla, D.; Bitto, A. Oxidative stress: Harms and benefits for human health. Oxid. Med. Cell Longev. 2017, 2017, 8416763. [Google Scholar] [CrossRef] [PubMed]
- Rezk, B.M.; Haenen, G.R.; van der Vijgh, W.J.; Bast, A. Lipoic acid protects efficiently only against a specific form of peroxynitrite-induced damage. J. Biol. Chem. 2004, 279, 9693–9697. [Google Scholar] [CrossRef] [PubMed]
- Mukwevho, E.; Ferreira, Z.; Ayeleso, A. Potential Role of Sulfur-Containing Antioxidant Systems in Highly Oxidative Environments. Molecules 2014, 19, 19376–19389. [Google Scholar] [CrossRef] [PubMed]
- Hill, C.R.; Shafaei, A.; Balmer, L.; Lewis, J.R.; Hodgson, J.M.; Millar, A.H.; Blekkenhorst, L.C. Sulfur compounds: From plants to humans and their role in chronic disease prevention. Crit. Rev. Food Sci. Nutr. 2022, 1–23. [Google Scholar] [CrossRef]
- Miller, C.G.; Schmidt, E.E. Sulfur metabolism under stress. Antioxid. Redox Signal. 2020, 33, 1158–1173. [Google Scholar] [CrossRef]
- Komarnisky, L.A.; Christopherson, R.J.; Basu, T.K. Sulfur: Its clinical and toxicologic aspects. Nutrition 2003, 19, 54–61. [Google Scholar] [CrossRef]
- Netto, L.E.S.; De Oliveira, M.A.; Tairum, C.A.; Da Silva Neto, J.F. Conferring specificity in redox pathways by enzymatic thiol/disulfide exchange reactions. Free. Radic. Res. 2016, 50, 206–245. [Google Scholar] [CrossRef]
- Yazar, H.; Kayacan, Y.; Erel, Ö. Thiol-disulfide homeostasis as an oxidative stress indicator. In Biomarkers in Nutrition. Biomarkers in Disease: Methods, Discoveries and Applications; Patel, V.B., Preedy, V.R., Eds.; Springer: Cham, Switzerland, 2022; pp. 801–818. [Google Scholar] [CrossRef]
- Ulrich, K.; Jakob, U. The role of thiols in antioxidant systems. Free Radic. Biol. Med. 2019, 140, 14–27. [Google Scholar] [CrossRef]
- Benhar, M. Oxidants, antioxidants and thiol redox switches in the control of regulated cell death pathways. Antioxidants 2020, 9, 309. [Google Scholar] [CrossRef]
- Moulaee, K.; Neri, G. Electrochemical amino acid sensing: A review on challenges and achievements. Biosensors 2021, 11, 502. [Google Scholar] [CrossRef]
- Ukirade, N.; Jagtap, S.; Rane, S. Recent progress in electrochemical detection of gluthathoine: A review. Hybrid Adv. 2023, 3, 100042. [Google Scholar] [CrossRef]
- Bauchart-Thevret, C.; Stoll, B.; Burrin, D. Intestinal metabolism of sulfur amino acids. Nutr. Res. Rev. 2009, 22, 175–187. [Google Scholar] [CrossRef] [PubMed]
- Townsend, D.M.; Tew, K.D.; Tapiero, H. Sulfur containing amino acids and human disease. Biomed. Pharmacother. 2004, 58, 47–55. [Google Scholar] [CrossRef]
- Nuru, M.; Muradashvili, N.; Kalani, A.; Lominadze, D.; Tyagi, N. High methionine, low folate and low vitamin B6/B12 (HM-LF-LV) diet causes neurodegeneration and subsequent short-term memory loss. Metab. Brain Dis. 2018, 33, 1923–1934. [Google Scholar] [CrossRef] [PubMed]
- Kovalska, M.; Baranovicova, E.; Kalenska, D.; Tomascova, A.; Adamkov, M.; Kovalska, L.; Lehotsky, J. Methionine diet evoked hyperhomocysteinemia causes hippocampal alterations, metabolomics plasma changes and behavioral pattern in wild type rats. Int. J. Mol. Sci. 2021, 22, 4961. [Google Scholar] [CrossRef]
- Martínez, Y.; Li, X.; Liu, G.; Bin, P.; Yan, W.; Más, D.; Valdivié, M.; Hu, C.-A.A.; Yin, Y. The role of methionine on metabolism, oxidative stress, and diseases. Amino Acids 2017, 49, 2091–2098. [Google Scholar] [CrossRef]
- Catanesi, M.; Brandolini, L.; d’Angelo, M.; Benedetti, E.; Tupone, M.G.; Alfonsetti, M.; Cabri, E.; Iaconis, D.; Fratelli, M.; Cimini, A.; et al. l-methionine protects against oxidative stress and mitochondrial dysfunction in an in vitro model of Parkinson’s disease. Antioxidants 2021, 10, 1467. [Google Scholar] [CrossRef]
- FAO/WHO. Energy and Protein Requirements. In Report of a Joint FAO/WHO Ad Hoc Expert Committee Technical Report Series No. 552; FAO Nutrition Meetings Report Series 52; FAO/WHO: Rome, Italy, 1973; Available online: https://apps.who.int/iris/handle/10665/41042 (accessed on 15 June 2023).
- Koklesova, L.; Mazurakova, A.; Samec, M.; Biringer, K.; Samuel, S.M.; Büsselberg, D.; Kubatka, P.; Golubnitschaja, O. Homocysteine metabolism as the target for predictive medical approach, disease prevention, prognosis, and treatments tailored to the person. EPMA J. 2021, 12, 477–505. [Google Scholar] [CrossRef]
- Ye, M.; Li, H.; Luo, H.; Zhou, Y.; Luo, W.; Lin, Z. Potential antioxidative activity of homocysteine in erythrocytes under oxidative stress. Antioxidants 2023, 12, 202. [Google Scholar] [CrossRef]
- Clemente Plaza, N.; Reig García-Galbis, M.; Martínez-Espinosa, R.M. Effects of the usage of l-Cysteine (l-Cys) on human health. Molecules 2018, 23, 575. [Google Scholar] [CrossRef] [PubMed]
- Correia, M.J.; Pimpão, A.B.; Fernandes, D.G.F.; Morello, J.; Sequeira, C.O.; Calado, J.; Antunes, A.M.M.; Almeida, M.S.; Branco, P.; Monteiro, E.C.; et al. Cysteine as a multifaceted player in kidney, the cysteine-related thiolome and its implications for precision medicine. Molecules 2022, 27, 1416. [Google Scholar] [CrossRef] [PubMed]
- Davies, M.H.; Klovrza, L.; Waring, R.H.; Elias, E. Plasma cysteine and sulphate levels in patients with cirrhosis of the liver. Clin. Sci. 1994, 87, 357–362. [Google Scholar] [CrossRef]
- Hu, S.; Lu, P.; Zhou, S.; Kang, T.; Hai, A.; Ma, Y.; Liu, Y.; Ke, B.; Li, M. Bioluminescence imaging of exogenous & endogenous cysteine in vivo with a highly selective probe. Bioorg. Med. Chem. Lett. 2020, 30, 126968. [Google Scholar] [CrossRef] [PubMed]
- Boneberg, R.; Pardun, A.; Hannemann, L.; Hildebrandt, O.; Koehler, U.; Kinscherf, R.; Hildebrandt, W. High plasma cystine levels are associated with blood pressure and reversed by CPAP in patients with obstructive sleep apnea. J. Clin. Med. 2021, 10, 1387. [Google Scholar] [CrossRef] [PubMed]
- Pizzorno, J. Glutathione! Integr. Med. 2014, 13, 8–12. [Google Scholar]
- Atmaca, G. Antioxidant effects of sulfur-containing amino acids. Yonsei Med. J. 2004, 45, 776–788. [Google Scholar] [CrossRef]
- Rochette, L.; Ghibu, S.; Muresan, A.; Vergely, C. Alpha-lipoic acid: Molecular mechanisms and therapeutic potential in diabetes. Can. J. Physiol. Pharmacol. 2015, 93, 1021–1027. [Google Scholar] [CrossRef]
- Tripathi, A.K.; Ray, A.K.; Mishra, S.K.; Bishen, S.M.; Mishra, H.; Khurana, A. Molecular and therapeutic insights of alpha-lipoic acid as a potential molecule for disease prevention. Rev. Bras. Farmacogn. 2023, 33, 272–287. [Google Scholar] [CrossRef]
- Castañeda-Arriaga, R.; Alvarez-Idaboy, J.R. Lipoic acid and dihydrolipoic acid. A comprehensive theoretical study of their antioxidant activity supported by available experimental kinetic data. J. Chem. Inf. Model. 2014, 54, 1642–1652. [Google Scholar] [CrossRef]
- Ziyatdinova, G.; Budnikov, H. Electroanalysis of antioxidants in pharmaceutical dosage forms: State-of-the-art and perspectives. Monatsh. Chem. 2015, 146, 741–753. [Google Scholar] [CrossRef]
- Gao, Z.-N.; Yao, H.-Q.; Liu, W.-Y. Study on electrocatalytic oxidation of l-cysteine at glassy carbon electrode by (FcM)TMA and its electrochemical kinetics. Electroanalysis 2005, 17, 619–624. [Google Scholar] [CrossRef]
- Ziyatdinova, G.; Grigor’eva, L.; Morozov, M.; Gilmutdinov, A.; Budnikov, H. Electrochemical oxidation of sulfur-containing amino acids on an electrode modified with multi-walled carbon nanotubes. Microchim. Acta 2009, 165, 353–359. [Google Scholar] [CrossRef]
- Gómez-Mingot, M.; Iniesta, J.; Montiel, V.; Kadara, R.O.; Banks, C.E. Direct oxidation of methionine at screen printed graphite macroelectrodes: Towards rapid sensing platforms. Sens. Actuators B 2011, 155, 831–836. [Google Scholar] [CrossRef]
- Budnikov, G.K.; Ziyatdinova, G.K.; Valitova, Y.R. Electrochemical determination of glutathione. J. Anal. Chem. 2004, 59, 573–576. [Google Scholar] [CrossRef]
- Marin, M.; Lete, C.; Manolescu, B.N.; Lupu, S. Electrochemical determination of α-lipoic acid in human serum at platinum electrode. J. Electroanal. Chem. 2014, 729, 128–134. [Google Scholar] [CrossRef]
- Ziyatdinova, G.K.; Budnikov, G.K.; Pogorel’tsev, V.I. Electrochemical determination of lipoic acid. J. Anal. Chem. 2004, 59, 288–290. [Google Scholar] [CrossRef]
- Corduneanu, O.; Garnett, M.; Brett, A.M.O. Anodic oxidation of α-lipoic acid at a glassy carbon electrode and its determination in dietary supplements. Anal. Lett. 2007, 40, 1763–1778. [Google Scholar] [CrossRef]
- Skorupa, A.; Michalkiewicz, S. Anodic oxidation of α-lipoic acid on carbon electrodes in acetic acid—Acetonitrile solutions. Int. J. Electrochem. Sci. 2019, 14, 5107–5121. [Google Scholar] [CrossRef]
- Skorupa, A.; Michalkiewicz, S. Voltammetric determination of α-lipoic acid using carbon fiber microelectrode in acetic acid—Acetonitrile solutions. Int. J. Electrochem. Sci. 2020, 15, 1581–1594. [Google Scholar] [CrossRef]
- Stanković, D.M.; Mehmeti, E.; Kalcher, K. Development of sensitive analytical approach for the quantification of α-lipoic acid using boron doped diamond electrode. Anal. Sci. 2016, 32, 847–851. [Google Scholar] [CrossRef] [PubMed]
- Skorupa, A.; Michalkiewicz, S.; Jakubczyk, M. Highly sensitive determination of α-lipoic acid in pharmaceuticals on a boron-doped diamond electrode. Open Chem. 2021, 19, 843–854. [Google Scholar] [CrossRef]
- Ziyatdinova, G.; Budnikov, H. Carbon nanomaterials and surfactants as electrode surface modifiers in organic electroanalysis. In Nanoanalytics: Nanoobjects and Nanotechnologies in Analytical Chemistry; Shtykov, S., Ed.; De Gruyter: Berlin, Germany, 2018; pp. 223–252. [Google Scholar] [CrossRef]
- Zhang, D.; Xu, C.; Li, S.; Zhang, R.; Yan, H.; Miao, H.; Fan, Y.; Yuan, B. Electrochemically controlling oxygen functional groups in graphene oxide for the optimization in the electrocatalytic oxidation of dihydroxybenzene isomers and l-methionine. J. Electroanal. Chem. 2014, 717–718, 219–224. [Google Scholar] [CrossRef]
- Kalinke, C.; Neumsteir, N.V.; de Oliveira, P.R.; Janegitz, B.C.; Bonacin, J.A. Sensing of l-methionine in biological samples through fully 3D-printed electrodes. Anal. Chim. Acta 2021, 1142, 135–142. [Google Scholar] [CrossRef] [PubMed]
- Tan, W.T.; Goh, J.K. Electrochemical oxidation of methionine mediated by a fullerene-C60 modified gold electrode. Electroanalysis 2008, 20, 2447–2453. [Google Scholar] [CrossRef]
- Tang, X.; Liu, Y.; Hou, H.; You, T. Electrochemical determination of l-tryptophan, l-tyrosine and l-cysteine using electrospun carbon nanofibers modified electrode. Talanta 2010, 80, 2182–2186. [Google Scholar] [CrossRef]
- Deng, C.; Chen, J.; Chen, X.; Wang, M.; Nie, Z.; Yao, S. Electrochemical detection of l-cysteine using a boron-doped carbon nanotube-modified electrode. Electrochim. Acta 2009, 54, 3298–3302. [Google Scholar] [CrossRef]
- Zhou, M.; Ding, J.; Guo, L.; Shang, Q. Electrochemical behavior of l-cysteine and its detection at ordered mesoporous carbon-modified glassy carbon electrode. Anal. Chem. 2007, 79, 5328–5335. [Google Scholar] [CrossRef]
- Turunc, E.; Karadeniz, H.; Armagan, G.; Erdem, A.; Yalcin, A. Electrochemical determination of glutathione in plasma at carbon nanotubes based screen printed electrodes. Comb. Chem. High Throughput Screen. 2013, 16, 695–701. [Google Scholar] [CrossRef]
- Ziyatdinova, G.K.; Grigor’eva, L.V.; Budnikov, G.K. Electrochemical determination of unithiol and lipoic acid at electrodes modified with carbon nanotubes. J. Anal. Chem. 2009, 64, 185–188. [Google Scholar] [CrossRef]
- Perevezentseva, D.O.; Gorchakov, E.V. Voltammetric determination of cysteine at a graphite electrode modified with gold nanoparticles. J. Solid State Electrochem. 2012, 16, 2405–2410. [Google Scholar] [CrossRef]
- Liu, Z.; Zhang, H.; Hou, S.; Ma, H. Highly sensitive and selective electrochemical detection of l-cysteine using nanoporous gold. Microchim. Acta 2012, 177, 427–433. [Google Scholar] [CrossRef]
- Wang, X.; Zhang, L.; Miao, L.; Kan, M.; Kong, L.; Zhang, H. Oxidation and detection of l-cysteine using a modified Au/Nafion/glass carbon electrode. Sci. China Chem. 2011, 54, 521–525. [Google Scholar] [CrossRef]
- Safavi, A.; Abbaspour, A.; Ajamian, M. Determination of cysteine at bismuth nanostructure—Carbon ionic liquid electrode by square wave voltammetry. Electroanalysis 2015, 27, 2335–2340. [Google Scholar] [CrossRef]
- Kurniawan, A.; Kurniawan, F.; Gunawan, F.; Chou, S.-H.; Wang, M.-J. Disposable electrochemical sensor based on copper-electrodeposited screen-printed gold electrode and its application in sensing l-cysteine. Electrochim. Acta 2019, 293, 318–327. [Google Scholar] [CrossRef]
- Liu, X.; Zhu, Y.; Zhu, Z.; Qin, Y.; Li, F.; Tian, H.; Xin, S. Solid phase microextraction and selective determination of cysteine in whole blood by cyclic voltammetry with silver nanoparticles modified clustered carbon fiber electrodes. Anal. Methods 2012, 4, 3256–3260. [Google Scholar] [CrossRef]
- Zheng, Z.; Qiao, J.; Tang, C.; Shao, S. An electrochemical sensor based on copper nanowires-PDDA modified glassy carbon electrode for amperometric detection of cysteine in alkaline medium. Results Chem. 2022, 4, 100354. [Google Scholar] [CrossRef]
- Wang, T.; Su, W.; Xiao, Z.; Hao, S.; Li, Y.; Hu, J. Highly sensitive determination of reduced glutathione based on a cobalt nanoparticle implanted-modified indium tin oxide electrode. Analyst 2015, 140, 5176–5183. [Google Scholar] [CrossRef]
- Murugavelu, M.; Karthikeyan, B. Synthesis, characterization of Ag-Au core-shell bimetal nanoparticles and its application for electrocatalytic oxidation/sensing of l-methionine. Mater. Sci. Eng. C 2017, 70, 656–664. [Google Scholar] [CrossRef]
- Tavakkoli, N.; Soltani, N.; Khorshidi, E. Preparation of Ru-Pt bimetallic monolayer on nanoporous gold film electrode and its application as an ultrasensitive sensor for determination of methionine. RSC Adv. 2017, 7, 21827–21836. [Google Scholar] [CrossRef]
- Murugavelu, M.; Karthikeyan, B. Study of Ag–Pd bimetallic nanoparticles modified glassy carbon electrode for detection of l-cysteine. Superlattices Microstruct. 2014, 75, 916–926. [Google Scholar] [CrossRef]
- Huang, J.; Tao, F.; Sun, Z.; Li, F.; Cai, Z.; Zhang, Y.; Fan, C.; Pei, L. A facile synthesis route to BiPr composite nanosheets and sensitive electrochemical detection of l-cysteine. Microchem. J. 2022, 182, 107915. [Google Scholar] [CrossRef]
- Velasco-Medina, C.; Espinoza-Montero, P.J.; Montero-Jimenez, M.; Alvarado, J.; Jadán, M.; Carrera, P.; Fernandez, L. Development and evaluation of copper electrodes, modified with bimetallic nanoparticles, to be used as sensors of cysteine-rich peptides synthesized by tobacco cells exposed to cytotoxic levels of cadmium. Molecules 2019, 24, 2200. [Google Scholar] [CrossRef] [PubMed]
- Stojanović, Z.S.; Đurović, A.D.; Ashrafi, A.M.; Koudelková, Z.; Zítka, O.; Richtera, L. Highly sensitive simultaneous electrochemical determination of reduced and oxidized glutathione in urine samples using antimony trioxide modified carbon paste electrode. Sens. Actuat. B 2020, 318, 128141. [Google Scholar] [CrossRef]
- Chee, S.Y.; Flegel, M.; Pumera, M. Regulatory peptides desmopressin and glutathione voltammetric determination on nickel oxide modified electrodes. Electrochem. Commun. 2011, 13, 963–965. [Google Scholar] [CrossRef]
- Odewunmi, N.A.; Kawde, A.-N.; Ibrahim, M. In-situ single-step electrochemical AgO modified graphite pencil electrode for trace determination of Dl-methionine in human serum sample. Sens. Actuat. B 2019, 281, 765–773. [Google Scholar] [CrossRef]
- Ebrahimi, M.; Beitollahi, H. CuO nanoflowers modified glassy carbon electrode for the electrochemical determination of methionine. Eurasian Chem. Commun. 2021, 3, 19–25. [Google Scholar] [CrossRef]
- Sasikumar, R.; Chen, T.-W.; Chen, S.-M.; Rwei, S.-P.; Yu, M.-C. Facile synthesis of Mn2O3 for highly active catalytic oxidation and reduction of organic substances and electrochemical determination of l-methionine. Int. J. Electrochem. Sci. 2018, 13, 4561–4574. [Google Scholar] [CrossRef]
- Zaeifi, F.; Sedaghati, F.; Samari, F. A new electrochemical sensor based on green synthesized CuO nanostructures modified carbon ionic liquid electrode for electrocatalytic oxidation and monitoring of l-cysteine. Microchem. J. 2022, 183, 107969. [Google Scholar] [CrossRef]
- Fallahi, M.; Norouzi, B. Synthesis of cobalt oxide nanoparticles using Cirsium vulgare leaves extract and evaluation of electrocatalytic effects on oxidation of l-cysteine. Ionics 2020, 26, 1951–1961. [Google Scholar] [CrossRef]
- Hussain, M.; Khaliq, N.; Nisar, A.; Khan, M.; Karim, S.; Khan, A.A.; Yi, X.; Maqbool, M.; Ali, G. TiO2 nanotube array-modified electrodes for l-cysteine biosensing: Experimental and density-functional theory study. Nanotechnology 2020, 31, 505501. [Google Scholar] [CrossRef] [PubMed]
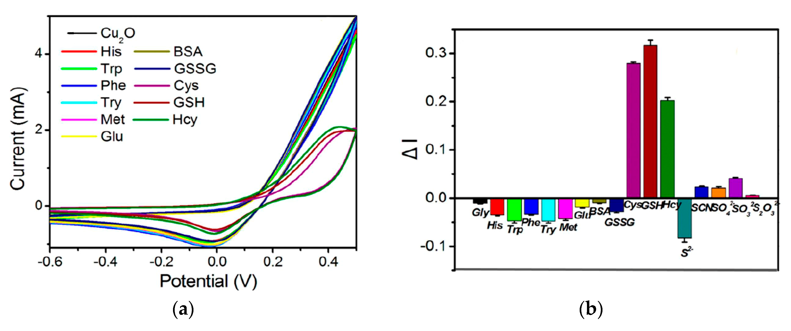
- Pang, X.; Bai, H.; Xu, D.; Ding, J.; Fan, W.; Shi, W. Dual-functional electrochemical bio-sensor built from Cu2O for sensitively detecting the thiols and Hg2+. Appl. Surf. Sci. 2021, 564, 150397. [Google Scholar] [CrossRef]
- Ziyatdinova, G.; Antonova, T.; Vorobev, V.; Osin, Y.; Budnikov, H. Selective voltammetric determination of α-lipoic acid on the electrode modified with SnO2 nanoparticles and cetyltriphenylphosphonium bromide. Monatsh. Chem. 2019, 150, 401–410. [Google Scholar] [CrossRef]
- Ziyatdinova, G.; Gimadutdinova, L. Cerium(IV) and iron(III) oxides nanoparticles based voltammetric sensor for the sensitive and selective determination of lipoic acid. Sensors 2021, 21, 7639. [Google Scholar] [CrossRef] [PubMed]
- Manibalan, G.; Murugadoss, G.; Thangamuthu, R.; Kumar, M.R.; Kumar, R.M.; Jayavel, R. CeO2-based heterostructure nanocomposite for electrochemical determination of l-cysteine biomolecule. Inorg. Chem. Commun. 2020, 113, 107793. [Google Scholar] [CrossRef]
- Manibalan, G.; Murugadoss, G.; Thangamuthu, R.; Kumar, M.R.; Kumar, R.M. Facile synthesis of CeO2-SnO2 nanocomposite for electrochemical determination of l-cysteine. J. Alloys Compd. 2019, 792, 1150–1161. [Google Scholar] [CrossRef]
- Manibalan, G.; Murugadoss, G.; Marimuthu, R.; Rajabathar, J.R.; Kumar, M.R. Facile synthesis of heterostructure NiO–SnO2 nanocomposite for selective electrochemical determination of l-cysteine. J. Mater. Sci. Mater. Electron. 2022, 33, 6592–6602. [Google Scholar] [CrossRef]
- Ahmad, M.; Pan, C.; Zhu, J. Electrochemical determination of l-cysteine by an elbow shaped, Sb-doped ZnO nanowire-modified electrode. J. Mater. Chem. 2010, 20, 7169–7174. [Google Scholar] [CrossRef]
- Premlatha, S.; Selvarani, K.; Bapu, G.N.K.R. Facile electrodeposition of hierarchical Co-Gd2O3 nanocomposites for highly selective and sensitive electrochemical sensing of l-cysteine. ChemistrySelect 2018, 3, 2665–2674. [Google Scholar] [CrossRef]
- Gowtham, S.M.; Dhivya, R.; Muthulakshmi, L.; Sureshkumar, S.; Ashraf, M.; Pandi, M.; Mayandi, J.; Annaraj, J.; Sagadevan, S. Environmentally benign and biocompatible CuO@Si core-shell nanoparticles: As electrochemical l-cysteine sensor, antibacterial and anti-lung cancer agents. Ceram. Int. 2023, 49, 10023–10031. [Google Scholar] [CrossRef]
- Lakshmikantha, J.; Krishnamurthy, G.; Nayak, R.H.; Pari, M.; Ranjitha, N.; Naik, N. Synthesis, structure, thermal, magnetic, dielectric properties of Ce3+ doped M-type SrFe12O19 and electrochemical determination of l-cysteine. Inorg. Chem. Commun. 2022, 146, 110175. [Google Scholar] [CrossRef]
- Wang, Y.; Peng, W.; Liu, L.; Gao, F.; Li, M. The electrochemical determination of l-cysteine at a Ce-doped Mg-Al layered double hydroxide modified glassy carbon electrode. Electrochim. Acta 2012, 70, 193–198. [Google Scholar] [CrossRef]
- Heidari, M.; Ghaffarinejad, A. Electrochemical sensor for l-cysteine by using a cobalt(II)/aluminum(III) layered double hydroxide as a nanocatalyst. Microchim. Acta 2019, 186, 365. [Google Scholar] [CrossRef]
- Le, H.T.; Tran, D.T.; Doan, T.L.L.; Kim, N.H.; Lee, J.H. Hierarchical Cu@CuxO nanowires arrays-coated gold nanodots as a highly sensitive self-supported electrocatalyst for l-cysteine oxidation. Biosens. Bioelectron. 2019, 139, 111327. [Google Scholar] [CrossRef]
- Vladislavić, N.; Rončević, I.Š.; Buljac, M.; Brinić, S.; Krivić, D.; Buzuk, M. Electroanalytical determination of cysteine using the electrodes based on ternary silver-copper sulfides. Sensors 2018, 18, 3753. [Google Scholar] [CrossRef]
- Pei, L.Z.; Wei, T.; Lin, N.; Zhang, H.; Fan, C.G. Bismuth tellurate nanospheres and electrochemical behaviors of l-cysteine at the nanospheres modified electrode. Russ. J. Electrochem. 2018, 54, 84–91. [Google Scholar] [CrossRef]
- Lin, F.F.; Wei, T.; Pei, L.Z.; Lin, N. Sensitive electrochemical determination of l-cysteine using bismuth nickelate nanorods modified electrode. J. Bionanosci. 2017, 11, 177–182. [Google Scholar] [CrossRef]
- Xu, Z.; Li, P.; Liu, X.; Zhu, X.; Liu, M.; Zhang, Y.; Yao, S. Dual-signal intrinsic self-calibration ratio electrochemical sensor for glutathione based on silver nanoparticle decorated Prussian blue analog. Electrochim. Acta 2022, 434, 141273. [Google Scholar] [CrossRef]
- Tajik, S.; Taher, M.A.; Beitollahi, H.; Hosseinzadeh, R.; Ranjbar, M. Preparation, characterization and electrochemical application of ZnS/ZnAl2S4 nanocomposite for voltammetric determination of methionine and tryptophan using modified carbon paste electrode. Electroanalysis 2016, 28, 656–662. [Google Scholar] [CrossRef]
- Pakiari, A.H.; Jamshidi, Z. Nature and Strength of M−S Bonds (M = Au, Ag, and Cu) in Binary Alloy Gold Clusters. J. Phys. Chem. A 2010, 114, 9212–9221. [Google Scholar] [CrossRef]
- Kim, H.; Yoo, T.Y.; Bootharaju, M.S.; Kim, J.H.; Chung, D.Y.; Hyeon, T. Noble metal-based multimetallic nanoparticles for electrocatalytic applications. Adv. Sci. 2022, 9, 2104054. [Google Scholar] [CrossRef]
- dos Santos Pereira, L.N.; da Silva, I.S.; Araújo, T.P.; Tanaka, A.A.; Angnes, L. Fast quantification of α-lipoic acid in biological samples and dietary supplements using batch injection analysis with amperometric detection. Talanta 2016, 154, 249–254. [Google Scholar] [CrossRef]
- Hernández-Ibáñez, N.; Sanjuán, I.; Montiel, M.Á.; Foster, C.W.; Banks, C.E.; Iniesta, J. l-Cysteine determination in embryo cell culture media using Co (II)-phthalocyanine modified disposable screen-printed electrodes. J. Electroanal. Chem. 2016, 780, 303–310. [Google Scholar] [CrossRef]
- Taei, M.; Hadadzadeh, H.; Hasanpour, F.; Zahedi, G.; Dehbanipour, Z. A voltammetric sensor based on multiwalled carbon nanotubes and a new azoferrocene derivative for determination of glutathione. IEEE Sens. J. 2015, 15, 4472–4479. [Google Scholar] [CrossRef]
- Kazemi, S.; Karimi-Maleh, H.; Hosseinzadeh, R.; Faraji, F. Selective and sensitive voltammetric sensor based on modified multiwall carbon nanotubes paste electrode for simultaneous determination of l-cysteine and folic acid. Ionics 2013, 19, 933–940. [Google Scholar] [CrossRef]
- Ensafi, A.A.; Dadkhah-Tehrani, S.; Karimi-Maleh, H. Voltammetric determination of glutathione in haemolysed erythrocyte and tablet samples using modified-multiwall carbon nanotubes paste electrode. Drug Test. Anal. 2012, 4, 978–985. [Google Scholar] [CrossRef]
- Gholami-Orimi, F.; Taleshi, F.; Biparva, P.; Karimi-Maleh, H.; Beitollahi, H.; Ebrahimi, H.R.; Shamshiri, M.; Bagheri, H.; Fouladgar, M.; Taherkhani, A. Voltammetric determination of homocysteine using multiwall carbon nanotube paste electrode in the presence of chlorpromazine as a mediator. J. Anal. Methods Chem. 2012, 2012, 902184. [Google Scholar] [CrossRef]
- Fouladgar, M.; Mohammadzadeh, S.; Nayeri, H. Electrochemical determination of homocysteine using carbon nanotubes modified paste electrode and isoprenaline as a mediator. Russ. J. Electrochem. 2014, 50, 981–988. [Google Scholar] [CrossRef]
- Lee, P.T.; Lowinsohn, D.; Compton, R.G. The use of screen-printed electrodes in a proof of concept electrochemical estimation of homocysteine and glutathione in the presence of cysteine using catechol. Sensors 2014, 14, 10395–10411. [Google Scholar] [CrossRef]
- Lee, P.T.; Lowinsohn, D.; Compton, R.G. The selective electrochemical detection of homocysteine in the presence of glutathione, cysteine, and ascorbic acid using carbon electrodes. Analyst 2014, 139, 3755–3762. [Google Scholar] [CrossRef]
- Lee, P.T.; Lowinsohn, D.; Compton, R.G. Simultaneous detection of homocysteine and cysteine in the presence of ascorbic acid and glutathione using a nanocarbon modified electrode. Electroanalysis 2014, 26, 1488–1496. [Google Scholar] [CrossRef]
- Salehzadeh, H.; Mokhtari, B.; Nematollahi, D. Selective electrochemical determination of homocysteine in the presence of cysteine and glutathione. Electrochim. Acta 2014, 123, 353–361. [Google Scholar] [CrossRef]
- Lee, P.T.; Thomson, J.E.; Karina, A.; Salter, C.; Johnston, C.; Davies, S.G.; Compton, R.G. Selective electrochemical determination of cysteine with a cyclotricatechylene modified carbon electrode. Analyst 2015, 140, 236–242. [Google Scholar] [CrossRef] [PubMed]
- Zhao, L.; Zhao, L.; Miao, Y.; Zhang, C. Selective electrochemical determination of glutathione from the leakage of intracellular GSH contents in HeLa cells following doxorubicin-induced cell apoptosis. Electrochim. Acta 2016, 206, 86–98. [Google Scholar] [CrossRef]
- Han, H.; Tachikawa, H. Electrochemical determination of thiols at single-wall carbon nanotubes and PQQ modified electrodes. Front. Biosci. 2005, 10, 931–939. [Google Scholar] [CrossRef]
- Mostafa, I.M.; Liu, H.; Hanif, S.; Gilani, M.R.H.S.; Guan, Y.; Xu, G. Synthesis of a novel electrochemical probe for the sensitive and selective detection of biothiols and its clinical applications. Anal. Chem. 2022, 94, 6853–6859. [Google Scholar] [CrossRef]
- Ziyatdinova, G.; Guss, E.; Yakupova, E. Electrochemical sensors based on the electropolymerized natural phenolic antioxidants and their analytical application. Sensors 2021, 21, 8385. [Google Scholar] [CrossRef] [PubMed]
- Wang, L.; Pagett, M.; Zhang, W. Molecularly imprinted polymer (MIP) based electrochemical sensors and their recent advances in health applications. Sens. Actuators Rep. 2023, 5, 100153. [Google Scholar] [CrossRef]
- Terán-Alcocer, Á.; Bravo-Plascencia, F.; Cevallos-Morillo, C.; Palma-Cando, A. Electrochemical sensors based on conducting polymers for the aqueous detection of biologically relevant molecules. Nanomaterials 2021, 11, 252. [Google Scholar] [CrossRef]
- Ziyatdinova, G.K.; Zhupanova, A.S.; Budnikov, H.C. Electrochemical sensors for the simultaneous detection of phenolic antioxidants. J. Anal. Chem. 2022, 77, 155–172. [Google Scholar] [CrossRef]
- Güngör, Ö.; Kiliç, B.; Karasürmeli, T.S.; Özcan, İ.; Köytepe, S. Voltammetric determination of alpha lipoic acid using chitosan-based polyurethane membrane electrode. Measurement 2021, 182, 109752. [Google Scholar] [CrossRef]
- Duran, S.T.; Hassine, C.B.A.; Burç, M.; Güngör, Ö. Voltammetric determination of α-lipoic acid using poly(vanillin) modified platinum electrode. Anal. Bioanal. Electrochem. 2020, 12, 857–869. [Google Scholar]
- Aswini, K.K.; Mohan, A.M.V.; Biju, V.M. Molecularly imprinted polymer based electrochemical detection of l-cysteine at carbon paste electrode. Mater. Sci. Eng. C 2014, 37, 321–326. [Google Scholar] [CrossRef]
- Khamcharoen, W.; Henry, C.S.; Siangproh, W. A novel l-cysteine sensor using in-situ electropolymerization of l-cysteine: Potential to simple and selective detection. Talanta 2022, 237, 122983. [Google Scholar] [CrossRef]
- Lee, P.T.; Compton, R.G. Electrochemical detection of NADH, cysteine, or glutathione using a caffeic acid modified glassy carbon electrode. Electroanalysis 2013, 25, 1613–1620. [Google Scholar] [CrossRef]
- Okumura, L.L.; Stradiotto, N.R.; Rees, N.V.; Compton, R.G. Modifying glassy carbon (GC) electrodes to confer selectivity for the voltammetric detection of l-cysteine in the presence of Dl-homocysteine and glutathione. Electroanalysis 2008, 20, 916–918. [Google Scholar] [CrossRef]
- El Qouatli, S.; Ngono, R.T.; Najih, R.; Chtaini, A. Eugenol modified titanium electrode for the analysis of carbocysteine. Zaštita Mater. 2011, 52, 242–246. [Google Scholar]
- Jeevagan, A.J.; John, S.A. Electrochemical determination of l-methionine using the electropolymerized film of non-peripheral amine substituted Cu(II) phthalocyanine on glassy carbon electrode. Bioelectrochemistry 2012, 85, 50–55. [Google Scholar] [CrossRef]
- Revin, S.B.; John, S.A. Selective and sensitive electrochemical sensor for l-methionine at physiological ph using functionalized triazole polymer film modified electrode. Electroanalysis 2012, 24, 1277–1283. [Google Scholar] [CrossRef]
- Charoenkitamorn, K.; Chaiyo, S.; Chailapakul, O.; Siangproh, W. Low-cost and disposable sensors for the simultaneous determination of coenzyme Q10 and α-lipoic acid using manganese (IV) oxide-modified screen-printed graphene electrodes. Anal. Chim. Acta 2018, 1004, 22–31. [Google Scholar] [CrossRef]
- Petković, B.B.; Ognjanović, M.; Antić, B.; Avdin, V.V.; Manojlović, D.D.; Đurić, S.V.; Stanković, D.M. Easily Prepared Co3O4 doped porous carbon material decorated with single-wall carbon nanotubes applied in voltammetric sensing of antioxidant α-lipoic acid. Electroanalysis 2021, 33, 446–454. [Google Scholar] [CrossRef]
- Zhu, C.; Zhang, J.; Zhang, S.; Liu, C.; Liu, X.; Jin, J.; Zheng, D. An amperometric biomedical sensor for the determination of homocysteine using gold nanoparticles and acetylene black-dihexadecyl phosphate-modified glassy carbon electrode. Micromachines 2023, 14, 198. [Google Scholar] [CrossRef]
- Rajaram, R.; Mathiyarasu, J. An electrochemical sensor for homocysteine detection using gold nanoparticle incorporated reduced graphene oxide. Colloids Surf. B 2018, 170, 109–114. [Google Scholar] [CrossRef] [PubMed]
- Li, J.; Zhang, L. 3D pothole-rich hierarchical carbon framework-encapsulated Ni nanoparticles for highly selective nonenzymatic cysteine detection. Electrochim. Acta 2019, 328, 135126. [Google Scholar] [CrossRef]
- Yusoff, N.; Rameshkumar, P.; Mohamed Noor, A.; Huang, M.N. Amperometric determination of l-cysteine using a glassy carbon electrode modified with palladium nanoparticles grown on reduced graphene oxide in a Nafion matrix. Microchim. Acta 2018, 185, 246. [Google Scholar] [CrossRef] [PubMed]
- Xiao, C.; Chen, J.; Liu, B.; Chu, X.; Wu, L.; Yao, S. Sensitive and selective electrochemical sensing of l-cysteine based on a caterpillar-like manganese dioxide–carbon nanocomposite. Phys. Chem. Chem. Phys. 2011, 13, 1568–1574. [Google Scholar] [CrossRef]
- Kivrak, H.; Selçuk, K.; Er, O.F.; Aktas, N. Nanostructured electrochemical cysteine sensor based on carbon nanotube supported Ru, Pd, and Pt catalysts. Mater. Chem. Phys. 2021, 267, 124689. [Google Scholar] [CrossRef]
- Selçuk, K.; Çağlar, A.; Aktas, N.; Kivrak, H. Novel gallium-based voltammetric sensor for sensitive detection of cysteine. J. Phys. Chem. Solids 2022, 169, 110836. [Google Scholar] [CrossRef]
- Yang, S.; Li, G.; Xia, N.; Liu, P.; Wang, Y.; Qu, L. High performance electrochemical l-cysteine sensor based on hierarchical 3D straw-bundle-like Mn-La oxides/reduced graphene oxide composite. J. Electroanal. Chem. 2020, 877, 114654. [Google Scholar] [CrossRef]
- Jia, D.; Zhang, Y.; Xie, Y.; Zhang, X.; Pan, H.; Chen, Z. Ni2P nanocrystallines anchored on black phosphorus nanosheets enable highly selective and sensitive non-enzymatic electrochemical detection of l-cysteine over glutathione. Sens. Actuat. B 2023, 377, 133095. [Google Scholar] [CrossRef]
- Zheng, Z.; Feng, Q.; Li, J.; Wang, C. The p-type MoS2 nanocube modified poly(diallyl dimethyl ammonium chloride)-mesoporous carbon composites as a catalytic amplification platform for electrochemical detection of l-cysteine. Sens. Actuat. B 2015, 221, 1162–1169. [Google Scholar] [CrossRef]
- Kalinke, C.; de Oliveira, R.P.; Janegitz, B.C.; Bonacin, J.A. Prussian blue nanoparticles anchored on activated 3D printed sensor for the detection of l-cysteine. Sens. Actuat. B 2022, 362, 131797. [Google Scholar] [CrossRef]
- Atacan, K. CuFe2O4/reduced graphene oxide nanocomposite decorated with gold nanoparticles as a new electrochemical sensor material for ʟ-cysteine detection. J. Alloys Compd. 2019, 791, 391–401. [Google Scholar] [CrossRef]
- Cai, X.; Mo, Y.; Ruan, Z.; Mo, G. Highly active catalyst using zeolitic imidazolate framework derived nano-polyhedron for the electro-oxidation of l-cysteine and amperometric sensing. J. Colloid Interface Sci. 2021, 603, 822–833. [Google Scholar] [CrossRef] [PubMed]
- Aziz, A.; Asif, M.; Ashraf, G.; Iftikhar, T.; Ajmal, M.; Liu, H.; Wang, S. Showcasing advanced electrocatalytic behavior of layered double hydroxide wrapped on carbon nanotubes: Real-time monitoring of l-cysteine in biological matrices. Chem. Eng. J. 2022, 440, 135985. [Google Scholar] [CrossRef]
- Yao, J.; Liu, C.; Liu, L.; Chen, M.; Yang, M. An electrochemical sensor for sensitive determination of l-cysteine and its electrochemical kinetics on AgNPs/GQDs/GCE composite modified electrode. J. Electrochem. Soc. 2018, 165, B551–B558. [Google Scholar] [CrossRef]
- Sasikumar, R.; Ranganathan, P.; Chen, S.-M.; Rwei, S.-P. f-MWCNTs-PIN/Ti2O3 nanocomposite: Preparation, characterization and nanomolar detection of α -lipoic acid in vegetables. Sens. Actuat. B 2018, 255, 217–225. [Google Scholar] [CrossRef]
- Zhang, Y.; Ma, Y.; Wei, T.; Lin, F.F.; Qui, F.L.; Pei, L.Z. Polyaniline/zinc bismuthate nanocomposites for the enhanced electrochemical performance of the determination of l-cysteine. Measurement 2018, 128, 55–62. [Google Scholar] [CrossRef]
- Taei, M.; Hasanpour, F.; Habibollahi, S.; Shahidi, L. Simultaneous electrochemical sensing of cysteine, uric acid and tyrosine using a novel Au-nanoparticles/poly-Trypan Blue modified glassy carbon electrode. J. Electroanal. Chem. 2017, 789, 140–147. [Google Scholar] [CrossRef]
- Ziyatdinova, G.; Guss, E.; Budnikov, H. Selective electrochemical sensor based on the electropolymerized p-coumaric acid for the direct determination of l-cysteine. Electrochim. Acta 2018, 270, 369–377. [Google Scholar] [CrossRef]
- Sundaram, S.; Kadir, M.R.A. A new highly conducting carbon black (Cl-08) modified electrode functionalized with syringic acid for sensitive and selective l-cysteine electrocatalysis at low potential. Electrochim. Acta 2017, 224, 475–486. [Google Scholar] [CrossRef]
- Liu, B.; Ma, C.; Li, Y.; Kou, Y.; Lu, J.; Jiang, X.; Tan, L. Voltammetric determination of reduced glutathione using poly(thionine) as a mediator in the presence of Fenton-type reaction. Talanta 2017, 170, 399–405. [Google Scholar] [CrossRef] [PubMed]
- Lee, P.T.; Ward, K.R.; Tschulik, K.; Chapman, G.; Compton, R.G. Electrochemical detection of glutathione using a poly(caffeic acid) nanocarbon composite modified electrode. Electroanalysis 2014, 26, 366–373. [Google Scholar] [CrossRef]
- Kongintr, U.; Lertanantawong, B.; Promptmas, C. A label-free electrochemical biosensor for homocysteine detection using molecularly imprinted polymer and nanocomposite-modified electrodes. Polymers 2023, 15, 2241. [Google Scholar] [CrossRef] [PubMed]
- da Conceição, P.; dos Santos Neto, A.G.; Khan, S.; Tanaka, A.A.; Santana, A.E.G.; Taboada-Sotomayor, M.P.; Goulart, M.O.F.; Santos, A.C.F. Extraction-assisted voltammetric determination of homocysteine using magnetic nanoparticles modified with molecularly imprinted polymer. Microchim. Acta 2023, 190, 159. [Google Scholar] [CrossRef]
- Shabana, N.; Ankitha, M.; Arjun, A.M.; Rasheed, P.A. In-situ decoration of platinum nanoparticles on Nb2CTx MXene: An electrochemical sensor for l-cysteine and an efficient catalyst for oxygen evolution reaction. ECS J. Solid State Sci. Technol. 2022, 11, 127002. [Google Scholar] [CrossRef]
- Mohammadnavaz, A.; Beitollahi, H.; Modiri, S. Electro-catalytic determination of l-cysteine using multi walled carbon nanotubes-Co3O4 nanocomposite/benzoylferrocene/ionic liquid modified carbon paste electrode. Inorg. Chim. Acta 2023, 548, 121340. [Google Scholar] [CrossRef]
- Yang, S.; Zheng, Y.; Zhang, X.; Ding, S.; Li, L.; Zha, W. Molecularly imprinted electrochemical sensor based on the synergic effect of nanoporous gold and copper nanoparticles for the determination of cysteine. J. Solid State Electrochem. 2016, 20, 2037–2044. [Google Scholar] [CrossRef]
- Kumar, D.R.; Baynosa, M.L.; Shim, J.-J. Cu2+-1,10-phenanthroline-5,6-dione@electrochemically reduced graphene oxide modified electrode for the electrocatalytic determination of l-cysteine. Sens. Actuat. B 2019, 293, 107–114. [Google Scholar] [CrossRef]
- Mazloum-Ardakani, M.; Alizadeh, Z. A certain electrochemical nanosensor based on functionalized multi-walled carbon nanotube for determination of cysteine in the presence of paracetamol. J. Nanostruct. 2020, 10, 258–267. [Google Scholar] [CrossRef]
- Beitollahi, H.; Ganjali, M.A.; Norouzi, P.; Movlaee, K.; Hosseinzadeh, R.; Tajik, S. A novel electrochemical sensor based on graphene nanosheets and ethyl 2-(4-ferrocenyl-[1,2,3]triazol-1-yl) acetate for electrocatalytic oxidation of cysteine and tyrosine. Measurement 2020, 152, 107302. [Google Scholar] [CrossRef]
- Duan, D.; Yang, H.; Ding, Y.; Li, L.; Ma, G. A three-dimensional conductive molecularly imprinted electrochemical sensor based on MOF derived porous carbon/carbon nanotubes composites and Prussian blue nanocubes mediated amplification for chiral analysis of cysteine enantiomers. Electrochim. Acta 2019, 302, 137–144. [Google Scholar] [CrossRef]
- Zhou, H.; Ran, G.; Masson, J.-F.; Wang, C.; Zhao, Y.; Song, Q. Rational Design of Magnetic Micronanoelectrodes for Recognition and Ultrasensitive Quantification of Cysteine Enantiomers. Anal. Chem. 2018, 90, 3374–3381. [Google Scholar] [CrossRef] [PubMed]
- Liu, F.; Han, L.; Yang, Y.; Xue, Z.; Lu, X.; Liu, X. Designable synthesis of a novel layered MXene loaded gold nanocluster composite for efficient electrochemical sensing of homocysteine in biological samples. Chem. Eng. J. 2023, 461, 141928. [Google Scholar] [CrossRef]
- Hosseinzadeh, L.; Khoshroo, A.; Adib, K.; Rahimi-Nasrabadi, A.; Ahmadi, F. Determination of homocysteine using a dopamine-functionalized graphene composite. Microchem. J. 2021, 165, 106124. [Google Scholar] [CrossRef]
- Beitollahi, H.; Zaimbashi, R.; Mahani, M.T.; Tajik, S. A label-free aptasensor for highly sensitive detection of homocysteine based on gold nanoparticles. Bioelectrochemistry 2020, 134, 107497. [Google Scholar] [CrossRef]
- Wang, S.; Mi, Y.; Ren, G.; Chen, Y.; Wu, X. Assembly of a nanogold-assisted aptamer sensor for highly sensitive detection of homocysteine. Int. J. Electrochem. Sci. 2021, 16, 211129. [Google Scholar] [CrossRef]
- Wang, W.; Chen, J.; Zhou, Z.; Zhan, S.; Xing, Z.; Liu, H.; Zhang, L. Ultrasensitive and selective detection of glutathione by ammonium carbamate–gold platinum nanoparticles-based electrochemical sensor. Life 2022, 12, 1142. [Google Scholar] [CrossRef]
- Mahmoud, A.M.; Alyami, B.A.; Mahnashi, M.H.; Alshareef, F.M.; Alqahtan, Y.S.; El-Wekil, M.M. Facile fabrication of a superior electrochemical sensor with anti-fouling properties for sensitive and selective determination of glutathione. Microchem. J. 2023, 187, 108419. [Google Scholar] [CrossRef]
- Shelkovnikov, V.V.; Altyev, A.M.; Vinogradov, M.E. Determination of methionine in medicines by stripping voltammetry. J. Anal. Chem. 2019, 74, 1239–1244. [Google Scholar] [CrossRef]
- Baghbanpoor, P.; Beitollahi, H.; Shishehbore, M.R.; Sheibani, A. Voltammetric determination of methionine in the presence of tryptophan based on a CeO2–ZnO nanocomposite/ethyl 2-(4-ferrocenyl [1,2,3]triazol-1-yl) acetate/1-butyl-3-methylimidazolium hexafluorophosphate modified carbon paste electrode. J. Iran. Chem. Soc. 2022, 19, 4545–4554. [Google Scholar] [CrossRef]
- Sun, X.; Lin, C.; Ning, F.; Zhang, M.; Fu, H.; Zhang, H.; Hu, P. Synthesis of chiral cyclodextrin metal-organic framework modified with platinum on glassy carbon electrodes: Electrochemical chiral recognition of methionine enantiomers. Electroanalysis 2023, 35, e202200462. [Google Scholar] [CrossRef]
- Yarkaeva, Y.A.; Dubrovskii, D.I.; Zil’berg, R.A.; Maistrenko, V.N. Voltammetric sensors and sensor system based on gold electrodes modified with polyarylenephthalides for cysteine recognition. Russ. J. Electrochem. 2020, 56, 544–555. [Google Scholar] [CrossRef]
- Durrani, A.I.; Schwartz, H.; Schmid, W.; Sontag, G. α-Lipoic acid in dietary supplements: Development and comparison of HPLC-CEAD and HPLC-ESI-MS methods. J. Pharm. Biomed. Anal. 2007, 45, 694–699. [Google Scholar] [CrossRef]
- Sechovcová, S.; Královcová, P.; Kanďár, R.; Ventura, K. The issue of HPLC determination of endogenous lipoic acid in human plasma. Biomed. Chromatogr. 2018, 32, e4172. [Google Scholar] [CrossRef] [PubMed]
- Bayram, B.; Rimbach, G.; Frank, J.; Esatbeyoglu, T. Rapid method for glutathione quantitation using high-performance liquid chromatography with coulometric electrochemical detection. J. Agric. Food Chem. 2014, 62, 402–408. [Google Scholar] [CrossRef]
- Kanďár, R.; Žáková, P.; Marková, M.; Lotková, H.; Kučera, O.; Červinková, Z. Determination of glutathione and glutathione disulfide in human whole blood using HPLC with coulometric detection: A comparison with fluorescence detection. Collect. Czech. Chem. Commun. 2011, 76, 277–294. [Google Scholar] [CrossRef]
- Cavanillas, S.; Serrano, N.; Díaz-Cruz, J.M.; Ariño, C.; Esteban, M. Commercial screen-printed gold electrodes for the detection and quantification of aminothiols in human plasma by liquid chromatography with electrochemical detection. Electroanalysis 2014, 26, 581–587. [Google Scholar] [CrossRef]
- Sarakbi, A.; Aydogmus, Z.; Dago, A.; Mertens, D.; Dewert, J.-Y.; Kauffmann, J.-M. Determination of aminothiols by liquid chromatography with amperometric detection at a silver electrode: Application to white wines. Anal. Chim. Acta 2013, 786, 22–28. [Google Scholar] [CrossRef]
- Khan, A.; Khan, M.I.; Iqbal, Z.; Shah, Y.; Ahmad, L.; Nazir, S.; Watson, D.G.; Khan, J.A.; Nasir, F.; Khan, A.; et al. A new HPLC method for the simultaneous determination of ascorbic acid and aminothiols in human plasma and erythrocytes using electrochemical detection. Talanta 2011, 84, 789–801. [Google Scholar] [CrossRef]
- Khan, M.I.; Iqbal, Z. Simultaneous determination of ascorbic acid, aminothiols, and methionine in biological matrices using ion-pairing RP-HPLC coupled with electrochemical detector. J. Chromatohr. B 2011, 879, 2567–2575. [Google Scholar] [CrossRef]
- Pérez-Ràfols, C.; Subirats, X.; Serrano, N.; Díaz-Cruz, J.M. New discrimination tools for harvest year and varieties of white wines based on hydrophilic interaction liquid chromatography with amperometric detection. Talanta 2019, 201, 104–110. [Google Scholar] [CrossRef]
- Bernardo-Boongaling, V.R.R.; Serrano, N.; García-Guzmán, J.J.; Palacios-Santander, J.M.; Díaz-Cruz, J.M. Screen-printed electrodes modified with green-synthesized gold nanoparticles for the electrochemical determination of aminothiols. J. Electroanal. Chem. 2019, 847, 113184. [Google Scholar] [CrossRef]
- Aydogmus, Z.; Sarakbi, A.; Kauffmann, J.-M. Determination of thiols and free thiol content in a protein with liquid chromatography coupled to amperometric detection at a silver based carbon paste electrode. Electroanalysis 2016, 28, 2703–2708. [Google Scholar] [CrossRef]
- Dago, A.; Navarro, J.; Ariño, C.; Díaz-Cruz, J.M.; Esteban, M. Carbon nanotubes and graphene modified screen-printed carbon electrodes as sensitive sensors for the determination of phytochelatins in plants using liquid chromatography with amperometric detection. J. Chromatogr. A 2015, 1409, 210–217. [Google Scholar] [CrossRef]
- Ziyatdinova, G.; Budnikov, H. Analytical capabilities of coulometric sensor systems in the antioxidants analysis. Chemosensors 2021, 9, 91. [Google Scholar] [CrossRef]
- Honeychurch, K. Review: The application of liquid chromatography electrochemical detection for the determination of drugs of abuse. Separations 2016, 3, 28. [Google Scholar] [CrossRef]
- Trojanowicz, M. Recent developments in electrochemical flow detections—A review: Part II. Liquid chromatography. Anal. Chim. Acta 2011, 688, 8–35. [Google Scholar] [CrossRef]
























| Analyte | Sensor | Detection Mode | Supporting Electrolyte | Detection Limit (μM) | Linear Dynamic Range (μM) | Samples Studied | Ref. |
|---|---|---|---|---|---|---|---|
| l-methionine | Acid treated MWCNTs/GCE | LSV | 0.1 M H2SO4 | 270 | 360–2600; 3600–6900 | Pharmaceutical dosage forms | [36] |
| Electrochemically reduced GO/GCE | DPV | PB 1 pH 5.5 | 100 | 450–4900 | — | [47] | |
| Activated 3D-printed electrodes based on polylactic acid/graphene filament | SWV 2 | 0.10 M PBS 3 pH 7.4 | 1.39 | 5.0–230; 230–3000 | Spiked serum samples | [48] | |
| Fullerene-C60 modified gold electrode | CV | 0.1 M KNO3 pH 6.0 | 8.2 | Up to 100 | Root beer syrup and methionine pills | [49] | |
| l-cysteine | Acid treated MWCNTs/GCE | LSV | 0.1 M H2SO4 | 64 | 75–1900 | — | [36] |
| Electrospun carbon nanofibers CPE 4 | A 5 | 0.1 M PB pH 7.0 | 0.1 | 0.15–64 | — | [50] | |
| Boron-doped carbon nanotube/GCE | A | 0.067 M PB pH 7.4 | 0.26 | 0.78–200 | Spiked NongFu-Spring syrup | [51] | |
| Ordered Mesoporous Carbon/GCE | A | 0.10 M PB pH 2.0 | 0.0020 | 18−2500 | — | [52] | |
| Glutathione | Acid treated MWCNTs/GCE | LSV | 0.1 M H2SO4 | 43 | 76–1800 | — | [36] |
| MWCNTs/screen-printed electrode | DPV | 0.10 M PB pH 7.4 | 0.47 | — | Rat plasma | [53] | |
| α-Lipoic acid | Acid treated MWCNTs/GCE | LSV | 0.1 M H2SO4 | 19 | 26–180; 210–780 | Pharmaceutical dosage forms | [54] |
| Sensor | Analyte | Detection Mode | Supporting Electrolyte | Detection Limit (μM) | Linear Dynamic Range (μM) | Samples Studied | Ref. |
|---|---|---|---|---|---|---|---|
| Metal nanomaterials | |||||||
| Au NPs/Graphite electrode | l-cysteine | CV, cathodic peak | 0.1 M NaOH | 0.6 × 10−6 | (1–14) × 10−6 | — | [55] |
| Nanoporous Au/GCE | A, +0.65 V | 0.2 M PB 1 pH 7.0 | 0.050 | 1–400 | — | [56] | |
| Au NPs/Nafion/GCE | A, +0.45 V +0.35 V | 0.1 M PB pH 2.0 0.1 M PB pH 7.0 | 1.0 1.0 | 3.0–50 2.0–80 | — — | [57] | |
| Bismuth nanostructure-CILE 1 | SWV | 0.1 M acetate buffer pH 4.5 | 0.5 | 1–500; 500–2000 | Human serum | [58] | |
| Electrodeposited Cu/screen-printed Au electrode | A, +0.5 V | 0.1 M NaOH | 0.21 | 1–400; 400–1800 | Human and rabbit serum | [59] | |
| Ag NPs/Carbon fiber clustered electrode | CV | PB pH 8.0 with 0.5 M KNO3 | 1.0 × 10−7 | 1.0 × 10−7–0.010; 0.010–10,000 | Mouse whole blood | [60] | |
| Cu nanowires in poly(dimethyl diallyl ammonium chloride)/GCE | A, +0.2 V | 0.1 M NaOH | 0.19 | 2.0–260 | Human plasma | [61] | |
| Co NPs/ITO 2 | Glutathione | A, +0.75 V | 0.25 M NaOH | 0.005 | 0.005–0.675; 1–11 | Eye drops | [62] |
| Bimetallic NPs and nanosheets | |||||||
| Ag-Au core–shell bimetallic NPs/GCE | l-methionine | A, +0.63 V | PB pH 7.4 | 30 | 50–500 | — | [63] |
| Ru-Pt/Nanoporous Au film electrode | DPV | 0.1 M PB pH 7.0 | 0.002 | 0.006–0.105; 3–102 | Human urine | [64] | |
| Ag–Pd bimetallic NPs/GCE | l-cysteine | — | 0.1 M PBS pH 7.0 | — | — | — | [65] |
| BiPr composite nanosheet/GCEs | CV | 0.1 M KCl | 0.21 | 1–2000 | — | [66] | |
| Ag–Hg/Nafion/Cu | l-cysteine | DPV | Brdička supporting electrolyte | 0.088 | 1–10 | Cysteine-rich peptides from tobacco cells | [67] |
| Glutathione | 0.139 | 20–100 | |||||
| Ag–Bi/Nafion/Cu | l-cysteine | 0.41 | 1–10 | ||||
| Glutathione | 0.244 | 20–100 | |||||
| Metal oxide nanostructures | |||||||
| Sb2O3–CPE 3 | Glutathione | SWV | 0.2 M Britton-Robinson buffer pH 6.0 | 0.34 | 2–300 | Urine samples | [68] |
| Reduced oxidized | 0.10 | 2–400 | |||||
| 1.5 μg NiO NPs/GCE | Glutathione | DPV | 50 mM PB pH 7.2 | — | 200–6000 | — | [69] |
| AgO/PGE 4 | Methionine | CLSV 5 | 0.1 M NaOH + 17.7 μM AgNO3 | 0.42 | 60–500 | Healthy human serum | [70] |
| CuO nanoflowers/GCE | DPV | 0.1 M PB pH 7.0 | 0.3 | 1.0–300 | Human urine | [71] | |
| Mn2O3/SPCE 6 | DPV | 0.1 M PB pH 7.0 | 0.001 | 1.0–610 | Sea food samples | [72] | |
| CuO nanostructures–CILE | l-cysteine | A, +0.30 V CV | 0.2 M PB pH 7.0 | — 0.51 | 10–5000 5–4000 | Soya milk | [73] |
| Co3O4 NPs/GCE | A, +0.65 V | 0.1 M PB pH 11 | 0.07 | 0.20–75 | Human urine | [74] | |
| Free-standing TiO2 nanotube array/GCE | A, +0.75 V | 0.1 M PB pH 7.0 | 100 | 100–10,000 | Human serum | [75] | |
| Electrodeposited Cu2O nanostructures/FTO 7 | l-cysteine | CV | 0.5 M Na2SO4 | 0.0062 | 0–5.0 | Human urine | [76] |
| Homocysteine | 0.013 | 0–5.0 | |||||
| Glutathione | 0.0275 | 0–5.0 | |||||
| SnO2 NPs in cetyltriphenylphosphonium bromide/GCE | α-Lipoic acid | DPV | Britton–Robinson buffer pH 4.5 | 0.13 | 0.50–50; 50–400 | Pharmaceutical dosage forms | [77] |
| CeO2·Fe2O3 NPs/GCE | DPV | 0.1 M PB pH 7.0 | 0.053 | 0.075–7.5; 7.5–100 | Pharmaceutical dosage forms | [78] | |
| Heterostructure CeO2-CuO nanocomposite/GCE | l-cysteine | A, +0.80 V | 0.1 M PB pH 7.0 | 10 | 10–5000 | Pond water | [79] |
| CeO2-SnO2 nanocomposite/GCE | A, +0.80 V | 0.1 M PB pH 7.0 | 16 | 16–2000 | Pond water | [80] | |
| Heterostructure NiO–SnO2 nanocomposite/GCE | A, +0.60 V | 0.1 M PB pH 7.0 | 0.01 | 10–6000 | Pond water | [81] | |
| Elbow-shaped Sb-doped ZnO nanowires/GCE | A, +0.50 V | 0.1 M PB pH 6.9 | 0.025 | 0.075–100 | Human serum and acetylcysteine tablets | [82] | |
| Electrodeposited Co-Gd2O3 nanocomposite/GCE | A, +0.40 V | 0.1 M NaOH | 0.23 | 1–100 | Milk and cysteine capsules | [83] | |
| CuO@Si core–shell nanoparticles/GCE | DPV A, +0.90 V | 0.1 M PB pH 7.0 | — 0.015 | 20–240 1.25–100 | — | [84] | |
| Nanomaterials of metal-containing compounds | |||||||
| Ce3+ doped M-type SrFe12O19/GCE | l-cysteine | CV | 0.1 M PB pH 7.0 | 0.166 | 0.5–1.2 | — | [85] |
| Ce-doped Mg–Al layered double hydroxide/GCE | A, + 0.65 V | 0.1 M PB pH 7.4 | 4.2 | 10–5400 | NongFu-Spring syrup | [86] | |
| Co(II)/Al(III) layered double hydroxide/PGE | DPV | 0.1 M NaOH | 0.1 × 10−6 | 0.1 × 10−6–100 | Acetylcysteine ablets | [87] | |
| Au NPs–Cu@CuxO nanowires 3D foam hybrid | A, +0.6 V | 0.1 M PB pH 7.4 | 1.25 | 1.25–1940 | Human serum | [88] | |
| Ag doped jalpaite (Ag3CuS2) pressed electrode | A, +0.04 V | 0.1 M PBS pH 7.0 | 0.024 | 1–100 | Dietary supplements | [89] | |
| Bi2Te2O7 nanospheres/GCE | CV | 0.1 M KCl | 0.046 | 0.1–2000 | — | [90] | |
| Bi nickelate nanorods/GCE | CV | 0.1 M KCl | 0.087 | 0.5–2000 | — | [91] | |
| In situ electrodeposited Ag NPs/NiFe contained Prussian blue analog/GCE | Glutathione | DPV | 0.1 M PB pH 6.5 in the presence of 40.0 mM Cl¯ | 0.12 × 10−6 | 0.5 × 10−6–5.0 | Serum, white grape, and vegetables | [92] |
| ZnS/ZnAl2S4 nanocomposite-CPE | l-methionine | SWV | 0.1 M PB pH 7.0 | 0.010 | 0.05–5.0; 5.0–800 | Human urine and serum | [93] |
| Analyte | Sensor | Detection Mode | Detection Limit (μM) | Linear Dynamic Range (μM) | Samples Studied | Ref. |
|---|---|---|---|---|---|---|
| α-Lipoic acid | 5% Chitosan-polyurethane membrane modified gold electrode | DPV | 4.931 | 5–200 | Synthetic urine | [115] |
| Poly(vanillin)/Pt electrode | AdASWV 1 | 25 | 30–2000 | Synthetic urine | [116] | |
| l-cysteine | Methacrylic acid based MIP 2 modified carbon paste electrode | DPV | 0.0096 | 0.02–0.18 | Tap water and human plasma | [117] |
| Polycysteine/all-in-one origami paper-based analytical device | DPV | 5.5 | 10–800 | Wheat flour, bread, and cake | [118] | |
| Poly(caffeic acid)/GCE | CV | 99 | 100–5000 | — | [119] | |
| Polyeugenol/GCE | CV | — | — | — | [120] | |
| Polyeugenol/Ti electrode | CV | — | 1–100 | — | [121] | |
| Glutathione | Poly(caffeic acid)/GCE | CV | 2.2 | 100–5000 | — | [119] |
| l-methionine | Electropolymerized film of 1,8,15,22-tetraaminophthalocyanato-copper(II)/GCE | DPV | 0.027 | 50–500 | Spiked human serum | [122] |
| Electropolymerized film of 3-amino-5-mercapto-1,2,4-triazole/GCE | A, +1.35 V | 4.12 × 10−4 | 0.10–100 | Human urine | [123] |
| Sensor (from Inner to Outer Layer) | Analyte | Detection Mode | Detection Limit (μM) | Linear Dynamic Range (μM) | Samples Studied | Ref. |
|---|---|---|---|---|---|---|
| Carbon nanomaterials with metal-containing nanostructures | ||||||
| Screen-printed graphene electrode/MnO2 | α-Lipoic acid | SWASV 1 | 0.42 | 1.4–20 | Dietary supplement tablets | [124] |
| Carbon paste electrode—single-walled carbon nanotubes–Co3O4 NPs | SWV | 0.37 | 2–100 | Dietary supplements | [125] | |
| GCE/Acetylene black–dihexadecyl phosphate/Electrodeposited Au NPs | l-homocysteine | A, +0.6 V | 0.6 | 3.0–1000 | Human serum | [126] |
| GCE/rGO 2–Au NPs | A, +0.2 V | 6.9 | 10–80 | — | [127] | |
| GCE/3D pothole-rich hierarchical amorphous carbon network-encapsulated Ni NPs | l-cysteine | CV | 0.15 | 0.8–85 | Human serum and urine | [128] |
| GCE/Nanohybrid rGO-Nafion@Pd NPs | A, +0.6 V | 0.15 | 0.5–10 | Human urine | [129] | |
| GCE/Chitosan/1D caterpillar-like MnO2–carbon nanocomposite | CA 3, +0.5 V | 0.022 | 0.5–680 | — | [130] | |
| GCE/MWCNTs/Ru NPs | DPV | 0.353 | 0–200 | Acetylcysteine tablets | [131] | |
| GCE/Carbon nanotube-supported Ga | DPV | 0.05 | 0–200 | [132] | ||
| GCE/Hierarchical 3Dtraw-bundle-like Mn-La oxides–rGO nanocomposite | A, +0.6 V | 0.1 | 0.5–32.5; 32.5–832.5 | Serum and commercial syrup | [133] | |
| GCE/Ni2P nanocrystallines anchored on black phosphorus nanosheets | A, +0.3 V | 0.002 | 0.02−20; 20−100; 100−1000 | Human serum and urine | [134] | |
| GCE/p-type MoS2 nanocube modified poly(diallyl dimethyl ammonium chloride)-mesoporous carbon composites | A, +0.65 V | 0.090 | 0.45–155 | Human urine | [135] | |
| Activated 3D printed graphene electrode/Anchored Prussian blue NPs | A, +1.1 V | 0.858 | 3.0−230 | Spiked human serum | [136] | |
| GCE/CuFe2O4–rGO–Au NPs composite | CV | 0.383 | 50−200 | Human urine | [137] | |
| N-doped porous carbon nano-polyhedron embedded with Co3O4 | A, +0.10 V | 0.0069 | 0.05–5200 | Human serum | [138] | |
| GCE/core–shell CNTs@NiAl layered double hydroxide nanoarchitectures | A, +0.19 V | 0.003 | 0.05–780 | PC-12, MCF-7, MDA-MB-231 cells, serum, and urine | [139] | |
| GCE/Graphene quantum dots/Electrodeposited Ag NPs | Glutathione | DPV | 0.08 | 0.10–200 | — | [140] |
| Combined coverages with polymers | ||||||
| GCE/Carboxylated MWCNTs–polyindole/Ti2O3 | α-Lipoic acid | AdADPV 4 | 0.012 | 0.39–115.8 | Tomatoes and broccoli | [141] |
| GCE/polyaniline–zinc bismuthate nanocomposite | l-Cysteine | CV | 0.012 | 0.05–2000 | — | [142] |
| GCE/Poly(Trypan Blue)/Elecrodeposited AuNPs | DPV | 0.006 | 5.0–270.0 | Human blood and urine | [143] | |
| GCE/MWCNTs/Poly(p-coumaric acid) | DPV | 1.1 | 7.5–50; 50–1000 | Human urine | [144] | |
| GCE/Highly conductive carbon black/Poly(syringic acid) | CA, +0.04 V | 0.639 | 20–100; 100–1000 | Simulated blood serum and chicken samples | [145] | |
| GCE/Polythionine/Cu | Glutathione | CV | 0.0039 | 0.01–1000 | Injection sample and human urine | [146] |
| GCE/CNTs/Poly(caffeic acid) | CV | 0.5 | 50–5000 | — | [147] | |
| SPCE 5/MWCNTs–Chitosan–Ionic liquid–Methacrylic acid based MIP | Homocysteine | DPV | 1.2 | 50–150 | Human serum | [148] |
| Magnetic graphite epoxy composite/Magnetic MIP based on 2-hydroxyethyl methacrylate and trimethylolpropane trimethacrylate | DPV | 0.030 | 0.1–2; 4–70 | Real urine, synthetic plasma and urine | [149] | |
| Other combinations of nanomaterials | ||||||
| GCE/Nb2CTx MXene@Pt nanocomposite | l-cysteine | DPV | 4.1 × 10−5 | 0.001–10 | — | [150] |
| Carbon paste electrode–Ionic liquid–benzoylferrocene–-MWCNTs decorated with Co3O4 NPs | DPV | 0.04 | 0.1–100 | Urine and water samples | [151] | |
| GCE/Nanoporous Au/Cu NPs/Chtisan-based MIP | DPV | 7 × 10−5 | 5 × 10−4–10 | Bovine serum and sauce of instant noodle | [152] | |
| GCE/Electrochemically reduced graphene oxide@1,10-phenanthroline-5,6-dione-Cu2+ | A, +0.13 V | 2.0 | 10–32,344 | Human urine | [153] | |
| GCE/Functionalized MWCNTs–6-amino-4-(3,4-dihydroxyphenyl)-3-methyl-1,4-dihydropyrano [2,3-c]pyrazole-5-carbonitrile | DPV | 1.6 × 10−5 | 7 × 10−4–200 | Human serum | [154] | |
| Carbon paste electrode–graphene–ethyl 2-(4-ferrocenyl-[1,2,3]triazol-1-yl) acetate | DPV | 0.9 | 4.0–2300 | Human urine and serum | [155] | |
| GCE/MWCNTs–MOF-5 derived porous carbon–Prussian blue nanocubes hybrid/Polypyrrole-based MIP | l-cysteine | DPV | 6.0 × 10−9 | 1.0 × 10−7–0.1 | Human serum | [156] |
| d-cysteine | 1.0 × 10−7–0.1 | |||||
| GCE/Fe3O4@Polydopamine/CuxO | d-cysteine | SWV | 8.3 × 10−5 | 0.01–500 | Spiked serum | [157] |
| GCE/MXene–BSA–Au nanoclusters | l-Homocysteine | A, +0.85 V | 1.76 × 10−3 | 5.29 × 10−3–0.608; 0.608–103 | Human serum and cell lysate | [158] |
| SPE/Graphene oxide functionalized by dopamine | DPV | 0.15 | 0.5–900 | — | [159] | |
| GCE/Au NPs/Aptamer | DPV | 0.009 | 0.05–20.0 | Human serum and urine | [160] | |
| GCE/Graphene/Au NPs/Aptamer | DPV | 0.005 | 0.05–20.0 | Human serum | [161] | |
| GCE/Amino group electrochemical grafting from ammonium carbamate/Electrodeposited Au@Pt NPs | Glutathione | A, 0.435 V | 0.051 | 0.1–11 | Spiked human serum | [162] |
| GCE/Cu(II) –porous magnesium metasilicate–Ag NPs–polyethylene glycol–Chitosan | SWV | 0.03 | 0.1–125 | Dietary supplements and human serum | [163] | |
| Carbon-containing electrode/MWCNTs/Vitamin B12 | l-methionine | DPASV 6 | 0.12 | 0.1–5.0 | Pharmaceutical dosage forms | [164] |
| Carbon paste electrode–1-Butyl-3-methylimidazolium hexafluorophosphate–ethyl 2-(4-ferrocenyl[1,2,3]triazol-1-yl) acetate–CeO2–ZnO nanocomposite | DPV | 0.015 | 0.05–600 | Spiked human serum and urine | [165] | |
| GCE/Chiral cross-linked cyclodextrin MOF–Pt NPs | l-methionine | DPV | 0.33 | 2–200 | Human serum | [166] |
| d-methionine | 0.60 | 2–200 | ||||
| Detection | Analyte | Working Electrode | Potential, V | Detection Limit (μM) | Linear Dynamic Range (μM) | Sample | Ref. |
|---|---|---|---|---|---|---|---|
| Coulometric detector | α-Lipoic acid | 2 PGE 1 | +0.3–+0.7 | 0.024 | — | Dietary supplements | [168] |
| 2 PGE | +0.45; +0.59 | 0.00185 | — | Human plasma | [169] | ||
| Glutathione | 4 PGE | +0.25–+0.80 | 15 × 10−9 | — | Cultured hepatocytes | [170] | |
| 2 PGE | +0.75; +0.95 | 2.1 | — | Human blood | [171] | ||
| Amperometric detection | Cysteine | Au SPE 2 | +0.9 | 12 | 40–600 | Human plasma | [172] |
| Cysteinyl-glycine | 1 | 3–30 | |||||
| Homocysteine | 1 | 2–30 | |||||
| Methionine | 0.2 | 0.5–10 | |||||
| Glutathione | 1 | 2–30 | |||||
| Cysteine | Ag disk electrode | +0.08 | 0.2 | 0.2–20 | Bottled white wines | [173] | |
| Homocysteine | 0.3 | 0.2–20 | |||||
| Glutathione | 0.2 | 0.2–20 | |||||
| N-acetylcysteine | 0.3 | 0.2–20 | |||||
| Cysteine | GCE | +0.9 | 0.005 | 0.41–8.3 | Human plasma and erythrocytes | [174] | |
| Cystine | 0.05 | 4.16–83 | |||||
| Homocysteine | 0.003 | 0.74–14.8 | |||||
| Cysteine | Au | +0.85 | 4.5 × 10−10 | 0.0017–83 | Human plasma and erythrocytes | [175] | |
| Homocysteine | 3.7 × 10−10 | 0.0015–74 | |||||
| Methionine | 4.4 × 10−10 | 0.0013–67 | |||||
| Glutathione | 2.6 × 10−10 | 0.00065–33 | |||||
| Cysteine | Au SPE | +1.0 | 0.97 | 3.22–50.0 | White wine | [176] | |
| Homocysteine | 0.52 | 1.74–50.6 | |||||
| Methionine | 1.26 | 4.19–50.1 | |||||
| Glutathione | 0.84 | 2.81–50.6 | |||||
| Cysteine | Green-synthesized Au nanoparticles/Au SPE | +0.9 | 3.1 | 20–80 | Commercial dietary supplements | [177] | |
| Homocysteine | 0.6 | 5–30 | |||||
| Methionine | 1.0 | 2–10 | |||||
| Glutathione | 0.1 | 5–30 | |||||
| Cysteine | Ag microparticles modified carbon paste electrode | +0.08 | 3.8 | 10–100 | Proteins | [178] | |
| Glutathione | 3.9 | 10–100 | |||||
| Dithiothreitol | 3.4 | 5–50 | |||||
| Glutathione | Carbon SPE | +1.0 | 4.15 | 1–1000 | Plants Hordeum vulgare and Glycine max | [179] | |
| Graphene/Carbon SPE | 1.38 | 1–1000 | |||||
| MWCNTs/Carbon SPE | 0.37 | 1–1000 |
Disclaimer/Publisher’s Note: The statements, opinions and data contained in all publications are solely those of the individual author(s) and contributor(s) and not of MDPI and/or the editor(s). MDPI and/or the editor(s) disclaim responsibility for any injury to people or property resulting from any ideas, methods, instructions or products referred to in the content. |
© 2023 by the authors. Licensee MDPI, Basel, Switzerland. This article is an open access article distributed under the terms and conditions of the Creative Commons Attribution (CC BY) license (https://creativecommons.org/licenses/by/4.0/).
Share and Cite
Ziyatdinova, G.; Gimadutdinova, L. Recent Advances in Electrochemical Sensors for Sulfur-Containing Antioxidants. Micromachines 2023, 14, 1440. https://doi.org/10.3390/mi14071440
Ziyatdinova G, Gimadutdinova L. Recent Advances in Electrochemical Sensors for Sulfur-Containing Antioxidants. Micromachines. 2023; 14(7):1440. https://doi.org/10.3390/mi14071440
Chicago/Turabian StyleZiyatdinova, Guzel, and Liliya Gimadutdinova. 2023. "Recent Advances in Electrochemical Sensors for Sulfur-Containing Antioxidants" Micromachines 14, no. 7: 1440. https://doi.org/10.3390/mi14071440
APA StyleZiyatdinova, G., & Gimadutdinova, L. (2023). Recent Advances in Electrochemical Sensors for Sulfur-Containing Antioxidants. Micromachines, 14(7), 1440. https://doi.org/10.3390/mi14071440

