Improvement of Dynamic On-Resistance in GaN-Based Devices with a High-Quality In Situ SiN Passivation Layer
Abstract
1. Introduction
2. Materials and Methods
2.1. Epitaxial Structure
2.2. Device Fabrication
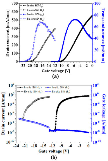
3. Results and Discussion
4. Conclusions
Author Contributions
Funding
Data Availability Statement
Conflicts of Interest
References
- Lee, H.S.; Piedra, D.; Sun, M.; Gao, X.; Guo, S.; Palacios, T. 3000-V 4.3-mΩ·cm2 InAlN/GaN MOSHEMTs With AlGaN Back Barrier. IEEE Electron Device Lett. 2012, 33, 982–984. [Google Scholar] [CrossRef]
- Shinohara, K.; Regan, D.; Corrion, A.; Brown, D.; Burnham, S.; Willadsen, P.; AlvaradoRodriguez, I.; Cunningham, M.; Butler, C.; Schmitz, A.; et al. Deeply-scaled self-aligned-gate GaN DH-HEMTs with ultrahigh cutoff frequency. In Proceedings of the 2011 International Electron Devices Meeting, Washington, DC, USA, 5–7 December 2011; pp. 453–456. [Google Scholar]
- Wong, K.Y.R.; Kwan, M.H.; Yao, F.W.; Tsai, M.W.; Lin, Y.S.; Chang, Y.C.; Chen, P.C.; Su, R.Y.; Yu, J.; Yang, F.J.; et al. A next generation CMOS-compatible GaN-on-Si transistors for high efficiency energy systems. In Proceedings of the 2015 IEEE International Electron Devices Meeting (IEDM), Washington, DC, USA, 7–9 December 2015; pp. 9.5.1–9.5.4. [Google Scholar]
- Kikkawa, T.; Hosoda, T.; Imanishi, K.; Shono, K.; Itabashi, K.; Maeda, T.; Asai, Y.; Shen, L.; Clement, H.; Honea, J.; et al. 600 V JEDEC-qualified highly reliable GaN HEMTs on Si substrates. In Proceedings of the 2014 IEEE International Electron Devices Meeting, San Francisco, CA, USA, 15–17 December 2014; pp. 2.6.1–2.6.4. [Google Scholar]
- Saito, W.; Nitta, T.; Kakiuchi, Y.; Saito, Y.; Tsuda, K.; Omura, I.; Yamaguchi, M. A 120-W Boost Converter Operation Using a High-Voltage GaN-HEMT. IEEE Electron Device Lett. 2008, 29, 8–10. [Google Scholar] [CrossRef]
- Jones, E.A.; Wang, F.; Ozpineci, B. Application-based review of GaN HFETs. In Proceedings of the 2014 IEEE Workshop on Wide Bandgap Power Devices and Applications, Knoxville, TN, USA, 13–15 October 2014; pp. 24–29. [Google Scholar]
- Jones, E.A.; Wang, F.; Costinett, D. Review of Commercial GaN Power Devices and GaN-Based Converter Design Challenges. IEEE J. Emerg. Sel. Top. Power Electron. 2016, 4, 707–719. [Google Scholar] [CrossRef]
- Heuken, L.; Kortemeyer, M.; Ottaviani, A.; Schroder, M.; Alomari, M.; Fahle, D.; Marx, M.; Heuken, M.; Kalisch, H.; Vescan, A.; et al. Analysis of an AlGaN/AlN Super-Lattice Buffer Concept for 650-V Low-Dispersion and High-Reliability GaN HEMTs. IEEE Trans. Electron Devices 2020, 67, 1113–1119. [Google Scholar] [CrossRef]
- Tzou, A.-J.; Chu, K.-H.; Lin, I.-F.; Østreng, E.; Fang, Y.-S.; Wu, X.-P.; Wu, B.-W.; Shen, C.-H.; Shieh, J.-M.; Yeh, W.-K.; et al. AlN surface passivation of GaN-based high electron mobility transistors by plasma-enhanced atomic layer deposition. Nano Express 2017, 12, 1–6. [Google Scholar] [CrossRef]
- Freedsman, J.J.; Egawa, T.; Yamaoka, Y.; Yano, Y.; Ubukata, A.; Tabuchi, T.; Matsumoto, K. Normally-OFF Al2O3/AlGaN/GaN MOS-HEMT on 8 in. Si with Low Leakage Current and High Breakdown Voltage (825 V). Appl. Phys. Exp. 2014, 7, 041003. [Google Scholar] [CrossRef]
- Huang, T.; Zhu, X.; Wong, K.M.; Lau, K.M. Low-Leakage-Current AlN/GaN MOSHFETs Using Al2O3 for Increased 2DEG. IEEE Electron Device Lett. 2012, 33, 212–214. [Google Scholar] [CrossRef]
- Wu, T.-L.; Marcon, D.; Jaeger, B.D.; Hove, M.V.; Bakeroot, B.; Stoffels, S.; Groeseneken, G.; Decoutere, S.; Roelofs, R. The impact of the gate dielectric quality in developing Au-free D-mode and E-mode recessed gate AlGaN/GaN transistors on a 200mm Si substrate. In Proceedings of the 2015 IEEE 27th International Symposium on Power Semiconductor Devices & IC’s (ISPSD), Hong Kong, China, 10–14 May 2015; pp. 6C.4.1–6C.4.6. [Google Scholar]
- Choi, W.; Seok, O.; Ryu, H.; Cha, H.-Y.; Seo, K.-S. High-Voltage and Low-Leakage-Current Gate Recessed Normally-Off GaN MIS-HEMTs With Dual Gate Insulator Employing PEALD-SiNx/RF-Sputtered-HfO2. IEEE Electron Device Lett. 2014, 35, 175–177. [Google Scholar] [CrossRef]
- Zhang, Z.; Yu, G.; Zhang, X.; Deng, X.; Li, S.; Fan, Y.; Sun, S.; Song, L.; Tan, S.; Wu, D.; et al. Studies on high-voltage GaN-on-Si MIS-HEMTs using LPCVD Si3N4 as gate dielectric and passivation layer. IEEE Trans. Electron Devices 2016, 63, 731–738. [Google Scholar] [CrossRef]
- Liu, X.; Zheng, L.; Cheng, X.; Shen, L.; Liu, S.; Wang, D.; You, J.; Yu, Y. Graphene-induced positive shift of the flat band voltage in recessed gate AlGaN/GaN structures. Appl. Phy. Lett. 2021, 118, 173504. [Google Scholar] [CrossRef]
- Wang, Q.; Cheng, X.; Zheng, L.; Ye, P.; Li, M.; Shen, L.; Li, J.; Zhang, D.; Gu, Z.; Yu, Y. Band alignment between PEALD-AlNO and AlGaN/GaN determined by angle-resolved X-ray photoelectron spectroscopy. Appl. Surface Sci. 2017, 423, 675–679. [Google Scholar] [CrossRef]
- Geng, K.; Chen, D.; Zhou, Q.; Wang, H. AlGaN/GaN MIS-HEMT with PECVD SiNx, SiON, SiO2 as Gate Dielectric and Passivation layer. Electronics 2018, 7, 416. [Google Scholar] [CrossRef]
- Liao, W.C.; Chen, Y.L.; Chen, Z.X.; Chyi, J.I.; Hsin, Y.M. Gate leakage current induced trapping in AlGaN/GaN Schottky-gate HFETs and MISHFETs. Nanoscale Res. Lett. 2014, 9, 474. [Google Scholar] [CrossRef]
- Kim, H.; Thompson, R.M.; Tilak, V.; Prunty, T.R.; Shealy, J.R.; Eastman, L.F. Effects of SiN passivation and high-electric field on AlGaN-GaN HFET degradation. IEEE Electron Device Lett. 2003, 24, 421–423. [Google Scholar]
- Xu, D.; Chu, K.; Diaz, J.; Zhu, W.; Roy, R.; Pleasant, L.M.; Nichols, K.; Chao, P.C.; Xu, M.; Ye, P.D. 0.2-μm AlGaN/GaN High Electron-Mobility Transistors with Atomic Layer Deposition Al2O3 Passivation. IEEE Electron Device Lett. 2013, 34, 744–746. [Google Scholar] [CrossRef]
- Huang, S.; Jiang, Q.; Yang, S.; Zhou, C.; Chen, K.J. Effective Passivation of AlGaN/GaN HEMTs by ALD-Grown AlN Thin Film. IEEE Electron Device Lett. 2012, 33, 516–518. [Google Scholar] [CrossRef]
- Derluyn, J.; Boeykens, S.; Cheng, K.; Vandersmissen, R.; Das, J.; Ruythooren, W.; Degroote, S.; Leys, M.R.; Germain, M.; Borghs, G. Improvement of AlGaN/GaN high electron mobility transistor structures by in situ deposition of a Si3N4 surface layer. J. Appl. Phys. 2005, 98, 054501-1–054501-6. [Google Scholar] [CrossRef]
- Lu, X.; Ma, J.; Jiang, H.; Liu, C.; Lau, K.M. Low trap states in in situ SiNx/AlN/GaN metal-insulator-semiconductor structures grown by metal-organic chemical vapor deposition. Appl. Phys. Lett. 2014, 105, 102911-1–102911-4. [Google Scholar] [CrossRef]
- Ma, J.; Lu, X.; Jiang, H.; Liu, C.; Lau, K.M. In situ growth of SiNx as gate dielectric and surface passivation for AlN/GaN heterostructures by metalorganic chemical vapor deposition. Appl. Phys. Exp. 2014, 7, 091002-1–091002-4. [Google Scholar] [CrossRef]
- Van Hove, M.; Kang, X.; Stoffels, S.; Wellekens, D.; Ronchi, N.; Vanagas, R.; Geens, K.; Decoutere, S. Fabrication and performance of au-free AlGaN/GaN-on-silicon power devices with Al2O3 and Si3N4/Al2O3 gate dielectrics. IEEE Trans. Electron Devices 2013, 60, 3071–3078. [Google Scholar] [CrossRef]
- Moens, P.; Liu, C.; Banerjee, A.; Vanmeerbeek, P.; Coppens, P.; Ziad, H.; Constant, A.; Li, Z.; De Veleeschouwer, H.; Roig-Guitart, J.; et al. An industrial process for 650V rated GaN-on-Si power devices using in-situ SiN as a gate dielectric. In Proceedings of the 2014 IEEE 26th International Symposium on Power Semiconductor Devices & IC’s (ISPSD), Waikoloa, HI, USA, 15–19 June 2014; pp. 374–377. [Google Scholar]
- Lu, X.; Ma, J.; Jiang, H.; Liu, C.; Xu, P.; Lau, K.M. Fabrication and characterization of gate-last self-aligned AlN/GaN MISHEMTs with in situ SiNx gate dielectric. IEEE Trans. Electron Devices 2015, 62, 1862–1869. [Google Scholar]
- Lu, X.; Yu, K.; Jiang, H.; Zhang, A.; Lau, K.M. Study of Interface Traps in AlGaN/GaN MISHEMTs Using LPCVD SiNx as Gate Dielectric. IEEE Trans. Electron Device 2017, 64, 824–831. [Google Scholar] [CrossRef]
- Yang, S.; Tang, Z.; Hua, M.; Xhang, Z.; Wei, J.; Lu, Y.; Chen, K. Investigation of SiNx and AlN passivation for AlGaN/GaN High-Electron-Mobility Transistors: Role of Interface Traps and Polarization Charges. IEEE J. Electron Device Soc. 2008, 8, 358–364. [Google Scholar] [CrossRef]
- Menozzi, R. Reliability of GaN-Based HEMT devices. In Proceedings of the Conference on Optoelectronic and microelectronic Materials and Devices, Sydney, NSW, Australia, 28 July–1 August 2008; pp. 44–50. [Google Scholar]










Disclaimer/Publisher’s Note: The statements, opinions and data contained in all publications are solely those of the individual author(s) and contributor(s) and not of MDPI and/or the editor(s). MDPI and/or the editor(s) disclaim responsibility for any injury to people or property resulting from any ideas, methods, instructions or products referred to in the content. |
© 2023 by the authors. Licensee MDPI, Basel, Switzerland. This article is an open access article distributed under the terms and conditions of the Creative Commons Attribution (CC BY) license (https://creativecommons.org/licenses/by/4.0/).
Share and Cite
Kim, J.-G.; Lee, J.-H.; Kang, D.-M.; Lee, J.-H. Improvement of Dynamic On-Resistance in GaN-Based Devices with a High-Quality In Situ SiN Passivation Layer. Micromachines 2023, 14, 1227. https://doi.org/10.3390/mi14061227
Kim J-G, Lee J-H, Kang D-M, Lee J-H. Improvement of Dynamic On-Resistance in GaN-Based Devices with a High-Quality In Situ SiN Passivation Layer. Micromachines. 2023; 14(6):1227. https://doi.org/10.3390/mi14061227
Chicago/Turabian StyleKim, Jeong-Gil, Jun-Hyeok Lee, Dong-Min Kang, and Jung-Hee Lee. 2023. "Improvement of Dynamic On-Resistance in GaN-Based Devices with a High-Quality In Situ SiN Passivation Layer" Micromachines 14, no. 6: 1227. https://doi.org/10.3390/mi14061227
APA StyleKim, J.-G., Lee, J.-H., Kang, D.-M., & Lee, J.-H. (2023). Improvement of Dynamic On-Resistance in GaN-Based Devices with a High-Quality In Situ SiN Passivation Layer. Micromachines, 14(6), 1227. https://doi.org/10.3390/mi14061227
