A FIN-LDMOS with Bulk Electron Accumulation Effect
Abstract
:1. Introduction
2. Device Structure and Mechanism
2.1. Device Structure of the BEA
2.2. Mainly Applied Physical Models
3. Results and Discussion
3.1. Control Mechanism and Bulk Electron Accumulation Effect of the BEA
3.2. Specifics of Resistance Ron,sp and Breakdown Voltage BV
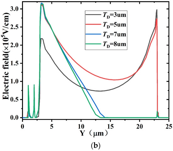
3.3. Influence of Unique Key Parameters on the Ron,sp, Peak gm, and BV of the BEA LDMOS
3.4. Dynamic Characteristics
3.5. The Trade-Off Property between the Ron,sp and BV
4. Conclusions
Author Contributions
Funding
Data Availability Statement
Conflicts of Interest
References
- Xu, S.; Gan, K.P.; Samudra, G.S.; Liang, Y.C.; Sin, J.K.O. 120 V interdigitated-drain LDMOS (IDLDMOS) on SOI substrate breaking power LDMOS limit. IEEE Trans. Electron. Devices 2000, 47, 1980–1985. [Google Scholar] [CrossRef]
- Park, I.Y.; Choi, Y.I.; Chung, S.K.; Lim, H.J.; Mo, S.I.; Choi, J.S.; Han, M.K. Numerical analysis on the LDMOS with a double epi-layer and trench electrodes. Microelectron. J. 2001, 32, 497–502. [Google Scholar] [CrossRef]
- Erlbacher, T.; Bauer, A.J.; Frey, L. Reduced on Resistance in LDMOS Devices by Integrating Trench Gates into Planar Technology. IEEE Electron Device Lett. 2010, 31, 464–466. [Google Scholar] [CrossRef]
- Zhang, W.; Wang, R.; Cheng, S.; Gu, Y.; Zahng, S.; He, B.; Qiao, M.; Li, Z.; Zhang, B. Optimization and Experiments of Lateral Semi-Superjunction Device Based on Normalized Current-Carrying Capability. IEEE Electron Device Lett. 2019, 40, 1969–1972. [Google Scholar] [CrossRef]
- Hardikar, S.; Tadikonda, R.; Green, D.W.; Vershinin, K.V.; Narayanan, E.M.S. Realizing high-voltage junction isolated LDMOS transistors with variation in lateral doping. IEEE Trans. Electron. Devices 2004, 51, 2223–2228. [Google Scholar] [CrossRef]
- Saxena, R.S.; Kumar, M.J. A new buried-oxide-in-drift-region trench MOSFET with improved breakdown voltage. IEEE Electron Device Lett. 2009, 30, 990–992. [Google Scholar] [CrossRef]
- Qiao, M.; Li, Y.; Zhou, X.; Li, Z.; Zhang, B. A 700- V Junction-Isolated Triple RESURF LDMOS with N-Type Top Layer. IEEE Electron Device Lett. 2014, 35, 774–776. [Google Scholar] [CrossRef]
- Baliga, B.J. Power semiconductor device figure of merit for high-frequency applications. IEEE Electron Device Lett. 1989, 10, 455–457. [Google Scholar] [CrossRef]
- Iqbal, M.M.; Udrea, F.; Napoli, E. On the static performance of the RESURF LDMOSFETS for power ICs. In Proceedings of the International Symposium on Power Semiconductor Devices, Barcelona, Spain, 14–17 June 2009; pp. 247–250. [Google Scholar] [CrossRef]
- Ge, W.; Luo, X.; Wu, J.; Lv, M.; Wei, J.; Ma, D.; Deng, G.; Cui, W.; Yang, Y.; Zhu, K. Ultra-Low On-Resistance LDMOS With Multi-Plane Electron Accumulation Layers. IEEE Electron Device Lett. 2017, 38, 910–913. [Google Scholar] [CrossRef]
- Chen, W.; Qin, H.; Huang, Y.; Huang, Y.; Han, Z. A Bulk Full-Gate SOI-LDMOS Device with Bulk Channel and Electron Accumulation Effect. IEEE Trans. Electron Devices 2021, 68, 6286–6291. [Google Scholar] [CrossRef]
- Chen, W.; Qin, H.; Zhang, H.; Han, Z. Bulk Electron Accumulation LDMOS With Extended Superjunction Gate. IEEE Trans. Electron Devices 2022, 69, 1900–1905. [Google Scholar] [CrossRef]
- Guo, Y.; Yao, J.; Zhang, B.; Lin, H.; Zhang, C. Variation of Lateral Width Technique in SoI High-Voltage Lateral Double-Diffused Metal–Oxide–Semiconductor Transistors Using High-k Dielectric. IEEE Electron Device Lett. 2015, 36, 262–264. [Google Scholar] [CrossRef]
- Yao, J.; Zhang, Z.; Guo, Y.; Wu, J.; He, Y.; Li, M.; Lin, H. Novel LDMOS With Integrated Triple Direction High-k Gate and Field Dielectrics. IEEE Trans. Electron Devices 2021, 68, 3997–4003. [Google Scholar] [CrossRef]
- Wang, Z.; Zhang, B.; Fu, Q.; Xie, G.; Li, Z. An L-Shaped Trench SOI-LDMOS With Vertical and Lateral Dielectric Field Enhancement. IEEE Electron Device Lett. 2012, 33, 703–705. [Google Scholar] [CrossRef]
- Zhang, W.; Zhan, Z.; Yu, Y.; Cheng, S.; Gu, Y.; Zhang, S.; Luo, X.; Li, Z.; Qiao, M.; Li, Z.; et al. Novel Superjunction LDMOS (>950 V) With a Thin Layer SOI. IEEE Electron Device Lett. 2017, 38, 1555–1558. [Google Scholar] [CrossRef]
- Zhang, B.; Li, Z.; Hu, S.; Luo, X. Field Enhancement for Dielectric Layer of High-Voltage Devices on Silicon on Insulator. IEEE Trans. Electron Devices 2009, 56, 2327–2334. [Google Scholar] [CrossRef]
- Wei, J.; Zhang, M.; Jiang, H.; Zhou, X.; Li, B.; Chen, K.J. Superjunction MOSFET With Dual Built-In Schottky Diodes for Fast Reverse Recovery: A Numerical Simulation Study. IEEE Electron Device Lett. 2019, 40, 1155–1158. [Google Scholar] [CrossRef]
- Okada, M.; Kyogoku, S.; Kumazawa, T.; Saito, J.; Morimoto, T.; Takei, M.; Harada, S. Superior Short-Circuit Performance of SiC Superjunction MOSFET. In Proceedings of the 2020 32nd International Symposium on Power Semiconductor Devices and ICs (ISPSD), Vienna, Austria, 13–18 September 2020; pp. 70–73. [Google Scholar] [CrossRef]
- Udrea, F.; Deboy, G.; Fujihira, T. Superjunction Power Devices, History, Development, and Future Prospects. IEEE Trans. Electron Devices 2017, 64, 713–727. [Google Scholar] [CrossRef]
- Chen, X.B.; Sin, J.K.O. Optimization of the specific on-resistanceof the COOLMOS/sup TM. IEEE Trans. Electron Devices 2001, 48, 344–348. [Google Scholar] [CrossRef]
- Wei, J.; Luo, X.; Zhang, Y.; Li, P.; Zhou, K.; Zhang, B.; Li, Z. High-Voltage Thin-SOI LDMOS With Ultralow ON-Resistance and Even Temperature Characteristic. IEEE Trans. Electron Devices 2016, 63, 1637–1643. [Google Scholar] [CrossRef]
- Sentaurus Device User Guide, Version J-2014.09; Synopsys: Mountain View, CA, USA, 2014.
- Arora, N.D.; Hauser, J.R.; Roulston, D.J. Electron and Hole Mobilities in Silicon as a Function of Concentration and Temperature. IEEE Trans. Electron Devices 1982, 29, 292–295. [Google Scholar] [CrossRef]
- Fossum, J.G.; Mertens, R.P.; Lee, D.S.; Nijs, J.F. Carrier Recombination and Lifetime in Highly Doped Silicon. Solid-State Electron. 1983, 26, 569–576. [Google Scholar] [CrossRef]
- McIntyre, R.J. On the Avalanche Initiation Probability of Avalanche Diodes Above the Breakdown Voltage. IEEE Trans. Electron Devices 1973, 20, 637–641. [Google Scholar] [CrossRef]
- Appels, J.A.; Vaes, H.M.J. High voltage thin layer devices (RESURF devices). In Proceedings of the 1979 International Electron Devices Meeting, Washington, DC, USA, 3–5 December 1979; pp. 238–241. [Google Scholar] [CrossRef]
















| Symbol | Description | FIN-LDMOS | CON-LDMOS | AEG-LDMOS | BEA-LDMOS |
|---|---|---|---|---|---|
| LD | drift length (μm) | 21 | 21 | 21 | 21 |
| TD | drift depth (μm) | 5 | 5 | 5 | 5 |
| Wgate | Gate wideth (μm) | 2 | 2 | 2 | 2 |
| Ndrift | N-drift doping (cm−3) | 2.5 × 1015 | 2.5 × 1015 | 2.5 × 1015 | 2.5 × 1015 |
| h-top | AEG structure thickness (μm) | -- | -- | 0.2 | -- |
| Woxide | Gate oxide width (μm) | 0.1 | 0.1 | 0.1 | 0.1 |
| WEG | Extended gate width (μm) | -- | -- | 2.2 | 0.6 |
| LFIN | FIN-Gate length (μm) | 1 | -- | -- | 1 |
| L | Extended drain lenth (μm) | -- | -- | -- | 9 |
| H | Extended drain thickness (μm) | -- | -- | -- | 0.4 |
| Symbol | FIN-LDMOS | CON-LDMOS | AEG-LDMOS | BEA-LDMOS |
|---|---|---|---|---|
| BV (V) | 323 | 329 | 297 | 314 |
| Ron,sp (mΩ∙cm−2) | 11.78 | 14.54 | 4.41 | 1.84 |
| FOM | 8.86 | 7.42 | 20.01 | 53.43 |
| Ndrift (cm−3) | 2.5 × 1015 | 2.5 × 1015 | 2.5 × 1015 | 2.5 × 1015 |
Disclaimer/Publisher’s Note: The statements, opinions and data contained in all publications are solely those of the individual author(s) and contributor(s) and not of MDPI and/or the editor(s). MDPI and/or the editor(s) disclaim responsibility for any injury to people or property resulting from any ideas, methods, instructions or products referred to in the content. |
© 2023 by the authors. Licensee MDPI, Basel, Switzerland. This article is an open access article distributed under the terms and conditions of the Creative Commons Attribution (CC BY) license (https://creativecommons.org/licenses/by/4.0/).
Share and Cite
Chen, W.; Duan, Z.; Zhang, H.; Han, Z.; Wang, Z. A FIN-LDMOS with Bulk Electron Accumulation Effect. Micromachines 2023, 14, 1225. https://doi.org/10.3390/mi14061225
Chen W, Duan Z, Zhang H, Han Z, Wang Z. A FIN-LDMOS with Bulk Electron Accumulation Effect. Micromachines. 2023; 14(6):1225. https://doi.org/10.3390/mi14061225
Chicago/Turabian StyleChen, Weizhong, Zubing Duan, Hongsheng Zhang, Zhengsheng Han, and Zeheng Wang. 2023. "A FIN-LDMOS with Bulk Electron Accumulation Effect" Micromachines 14, no. 6: 1225. https://doi.org/10.3390/mi14061225
APA StyleChen, W., Duan, Z., Zhang, H., Han, Z., & Wang, Z. (2023). A FIN-LDMOS with Bulk Electron Accumulation Effect. Micromachines, 14(6), 1225. https://doi.org/10.3390/mi14061225

