Dual Regime Mode-Locked and Q-Switched Erbium-Doped Fiber Laser by Employing Graphene Filament–Chitin Film-Based Passive Saturable Absorber
Abstract
1. Introduction
2. Materials, Methods and Characterizations
3. Experimental Setup
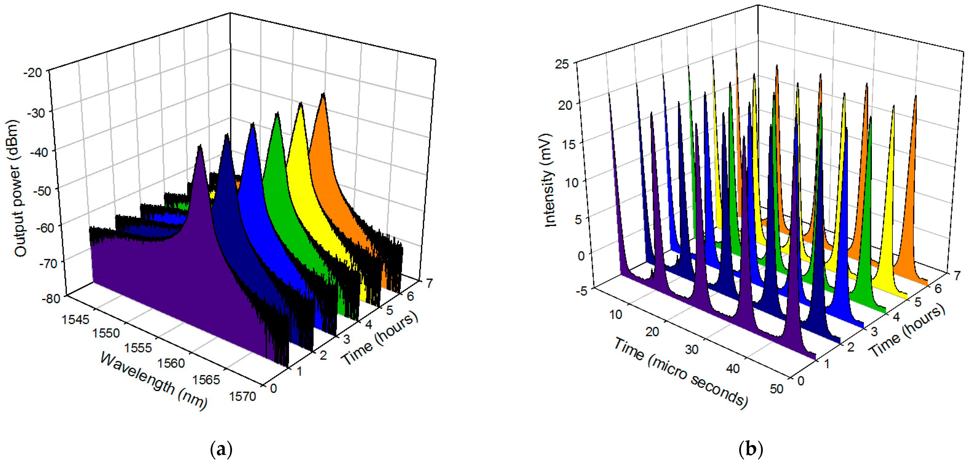
4. Results and Discussions
5. Conclusions
Author Contributions
Funding
Informed Consent Statement
Data Availability Statement
Conflicts of Interest
References
- Johnson, R.H.; Holshouser, D.F. Application of a mode-locked laser to holography. Appl. Opt. 1972, 11, 1708–1715. [Google Scholar] [CrossRef]
- Jang, Y.S.; Kim, S.W. Distance measurements using mode-locked lasers: A Review. Nanomanuf. Metrol. 2018, 1, 131–147. [Google Scholar] [CrossRef]
- Terra, O.; Hussein, H.M.; Kotb, H. Soliton mode-locked fiber laser for distance measurements. Appl. Opt. 2021, 60, 3452–3457. [Google Scholar] [CrossRef]
- Gräf, S.; Staupendahl, G.; Krämer, A.; Müller, F.A. High Precision Materials Processing using a novel Q-Switched Co2 Laser. Opt. Lasers Eng. 2015, 66, 152–157. [Google Scholar] [CrossRef]
- Hideur, A.; Chartier, T.; Brunel, M.; Salhi, M.; Özkul, C.; Sanchez, F. Mode-lock, Q-Switch and CW operation of an YB-doped double-clad fiber ring laser. Opt. Commun. 2001, 198, 141–146. [Google Scholar] [CrossRef]
- Tan, S.J.; Harun, S.W.; Arof, H.A.; Ahmad, H.A. Switchable Q-switched and mode-locked erbium-doped fiber laser operating in the L-band Region. Chin. Opt. Lett. 2013, 11, 073201–73203. [Google Scholar] [CrossRef]
- Yang, S.; Li, F.; Gong, M.M.; Zhang, L.; Zhu, Z.W.; Shen, H.B.; Chen, S.C. Generation of Q-switched and mode-locked pulses based on PBS/cds saturable absorbers in an ER-doped fiber laser. J. Mater. Chem. C 2022, 10, 5956–5961. [Google Scholar] [CrossRef]
- Zhang, K.; Feng, M.; Ren, Y.; Liu, F.; Chen, X.; Yang, J.; Yan, X.Q.; Song, F.; Tian, J. Q-switched and mode-locked ER-doped fiber laser using ptse2 as a saturable absorber. Photonics Res. 2018, 6, 893. [Google Scholar] [CrossRef]
- Tan, X.; Liu, Y.; Zheng, Y.; Xie, Z.; Hu, G. Revealing the evolution from Q-switching to mode-locking in an erbium-doped fiber laser using tungsten trioxide saturable absorber. Photonics 2022, 9, 962. [Google Scholar] [CrossRef]
- Yusoff, R.A.M.; Jafry, A.A.A.; Kasim, N.; Zulkipli, N.F.; Samsamnun, F.S.M.; Yasin, M.; Harun, S.W. Q-switched and mode-locked erbium-doped fiber laser using gadolinium oxide as saturable absorber. Opt. Fiber Technol. 2020, 57, 102209. [Google Scholar] [CrossRef]
- Zhang, W.; Wang, G.; Xing, F.; Man, Z.; Zhang, F.; Han, K.; Zhang, H.; Fu, S. Passively Q-switched and mode-locked erbium-doped fiber lasers based on tellurene nanosheets as saturable absorber. Opt. Express 2020, 28, 14729. [Google Scholar] [CrossRef] [PubMed]
- Nizamani, B.; Jafry, A.A.; Salam, S.; Fizza, G.; Soboh, R.S.; Abdul Khudus, M.I.; Hanafi, E.; Yasin, M.; Harun, S.W. Aluminium zinc oxide as a saturable absorber for passively Q-switched and mode-locked erbium-doped fiber laser. Laser Phys. 2021, 31, 055101. [Google Scholar] [CrossRef]
- Rosol, A.H.; Jafry, A.A.; Nizamani, B.; Zulkipli, N.F.; Khudus, M.I.; Yasin, M.; Harun, S.W. Mxene Ti3C2Tx thin film as a saturable absorber for passively mode-locked and Q-switched fibre laser. J. Mod. Opt. 2021, 68, 984–993. [Google Scholar] [CrossRef]
- Bao, Q.; Zhang, H.; Wang, Y.; Ni, Z.; Yan, Y.; Shen, Z.X.; Loh, K.P.; Tang, D.Y. Atomic-layer graphene as a saturable absorber for ultrafast pulsed lasers. Adv. Funct. Mater. 2009, 19, 3077–3083. [Google Scholar] [CrossRef]
- Lau, K.Y.; Liu, X.; Qiu, J. A comparison for saturable absorbers: Carbon nanotube versus graphene. Adv. Photonics Res. 2022, 3, 2200023. [Google Scholar] [CrossRef]
- Abas, A.F.; Lau, K.Y.; Muhammad, F.D.; Abdulkawi, W.M.; Al-Moliki, Y.M.; Alresheedi, M.T.; Mahdi, M.A. Dual-wavelength mode-locked oscillation with graphene nanoplatelet saturable absorber in erbium-doped fiber laser. Electronics 2022, 11, 2880. [Google Scholar] [CrossRef]
- Wei, C.; Zhou, L.; Wang, D.; Chi, H.; Huang, H.; Zhang, H.; Liu, Y. MXene-Ti3C2Tx for watt-level high-efficiency pulse generation in a 2.8 μm mid-infrared fiber laser. Photonics Res. 2020, 8, 972–977. [Google Scholar] [CrossRef]
- Ahmad, H.; Samion, M.Z.; Sharbirin, A.S.; Norizan, S.F.; Aidit, S.N.; Ismail, M.F. Graphene-PVA saturable absorber for generation of a wavelength-tunable passively Q-switched thulium-doped fiber laser in 2.0 µm. Laser Phys. 2018, 28, 055105. [Google Scholar] [CrossRef]
- Alghamdi, T.A.; Adwan, S.; Arof, H.; Harun, S.W. Application of black phosphorus for pulse generation in erbium-doped fiber laser. Results Opt. 2021, 4, 100091. [Google Scholar] [CrossRef]
- Banitaba, S.N.; Semnani, D.; Heydari-Soureshjani, E.; Rezaei, B.; Ensafi, A.A. Effect of titanium dioxide and zinc oxide fillers on morphology, electrochemical and mechanical properties of the PEO-based nanofibers, applicable as an electrolyte for lithium-ion batteries. Mater. Res. Express 2019, 6, 0850d6. [Google Scholar] [CrossRef]
- Hasan, T.; Scardaci, V.; Tan, P.H.; Bonaccorso, F.; Rozhin, A.G.; Sun, Z.; Ferrari, A.C. Nanotube and Graphene Polymer Composites for Photonics and Optoelectronics. Mol. Nano-Tubes 2011, 279–354. [Google Scholar] [CrossRef]
- Zuikafly, S.N.F.; Ahmad, H.; Wan Nawawi, W.M.F.; Yahaya, H.; Ibrahim, M.H.; Latif, A.A.; Ahmad, F. Graphene-chitin bio-composite polymer based mode locker at 2 micron region. Optik 2021, 245, 167710. [Google Scholar] [CrossRef]
- Wan Nawawi, W.M.F.; Lee, K.Y.; Kontturi, E.; Murphy, R.J.; Bismarck, A. Chitin Nanopaper from Mushroom Extract: Natural Composite of Nanofibers and Glucan from a Single Biobased Source. ACS Sustain. Chem. Eng. 2019, 7, 6492–6496. [Google Scholar] [CrossRef]
- Lodhi, R.S.; Kumar, P.; Achuthanunni, A.; Rahaman, M.; Das, P. Mechanical properties of polymer/graphene composites. In Polymer Nanocomposites Containing Graphene; Rahaman, M., Nayak, L., Hussein, I.A., Das, N.C., Eds.; Woodhead Publishing Series in Composites Science and Engineering: Sawston, UK, 2022; pp. 75–105. [Google Scholar]
- Perumbilavil, S.; Sankar, P.; Priya Rose, T.; Philip, R. White light Z-scan measurements of ultrafast optical nonlinearity in reduced graphene oxide nanosheets in the 400–700 nm region. Appl. Phys. Lett. 2015, 107, 051104. [Google Scholar] [CrossRef]
- Ferrari, A.C.; Meyer, J.C.; Scardaci, V.; Casiraghi, C.; Lazzeri, M.; Mauri, F.; Piscanec, S.; Jiang, D.; Novoselov, K.S.; Roth, S.; et al. Raman spectrum of graphene and graphene layers. Phys. Rev. Lett. 2006, 97, 187401. [Google Scholar] [CrossRef]
- Graf, D.; Molitor, F.; Ensslin, K.; Stampfer, C.; Jungen, A.; Hierold, C.; Wirtz, L. Spatially resolved raman spectroscopy of single- and few-layer graphene. Nano Lett. 2007, 7, 238–242. [Google Scholar] [CrossRef]
- Li, G.; Zhang, Y.Y.; Guo, H.; Huang, L.; Lu, H.; Lin, X.; Wang, Y.L.; Du, S.; Gao, H.J. Epitaxial growth and physical properties of 2D materials beyond graphene: From monatomic materials to binary compounds. Chem. Soc. Rev. 2018, 47, 6073–6100. [Google Scholar] [CrossRef]
- Azzam, S.I.; Kildishev, A.V. Time-domain dynamics of saturation of absorption using multilevel atomic systems. Opt. Mater. Express 2018, 8, 3829–3834. [Google Scholar] [CrossRef]
- Jiang, X.; Gross, S.; Withford, M.J.; Zhang, H.; Yeom, D.I.; Rotermund, F.; Fuerbach, A. Low-dimensional nanomaterial saturable absorbers for ultrashort-pulsed waveguide lasers. Opt. Mater. Express 2018, 8, 3055. [Google Scholar] [CrossRef]
- Hussin, N.; Salim, M.R.; Azmi, A.I.; Noor, M.Y.M.; Abdullah, A.S.; Ahmad, F.; Ibrahim, M.H. Performance of graphene nanopowder-polyvinyl alcohol in optical pulse generation at 1.5 micron region. Photonics Lett. Pol. 2021, 13, 55–57. [Google Scholar] [CrossRef]
- Deng, M.; Hu, X.; Xiao, X.; Wang, Y. Generation of Q-switched pulses on a graphene-silica hybrid waveguide. Opt. Laser Technol. 2023, 161, 109140. [Google Scholar] [CrossRef]
- Yap, Y.; Chong, W.; Razgaleh, S.A.; Huang, N.; Ong, C.; Ahmad, H. Performance of Q-Switched Fiber Laser Using Optically Deposited Reduced Graphene Oxide as Saturable Absorber. Fiber Integr. Opt. 2022, 41, 26–40. [Google Scholar] [CrossRef]
- Kong, L.C.; Xie, G.; Yuan, P.; Qian, L.J.; Wang, S.X.; Yu, H.H.; Zhang, H. Passive Q-switching and Q-switched mode-locking operations of 2 µm Tm:CLNGG laser with MoS2 saturable absorber mirror. Photonics Res. 2015, 3, A47–A50. [Google Scholar] [CrossRef]
- Ismail, M.A.; Harun, S.W.; Ahmad, H.; Paul, M.C. Passive Q-switched and mode-locked fiber lasers using carbon-based saturable absorbers. In Fiber Laser; InTech: Vienna, Austria, 2016. [Google Scholar] [CrossRef]
- Lan, D.; Cheng, T.; Qu, Y.; Zhang, X.; Yan, X.; Suzuki, T.; Ohishi, Y.; Wang, F. Tungsten carbide nanoparticles as saturable absorber for q-switched erbium-doped fiber laser. IEEE Photonics Technol. Lett. 2022, 34, 113–116. [Google Scholar] [CrossRef]
- Harith, A.; Yusoff, N.; Albaqawi, H.S.; Reduan, S.A.; Thambiratnam, K. Niobium carbide (Nb2C) MXene as a saturable absorber to assist in the generation of a wavelength tunable passively Q-switched fiber laser. Laser Phys. Lett. 2021, 18, 10. [Google Scholar]
- Fay, F.; Abdul Hadi Al-Janabi, R.; Abdalhadi, A.H. Self-starting Q-switched pulse generation in EDFL ring cavity based on Ta2AlC MAX-phase saturable absorber. Infrared Phys. Technol. 2022, 123, 104183. [Google Scholar] [CrossRef]
- Ghafar, N.A.M.A.; Zulkipli, N.F.; Omar, S.; Markon, A.M.; Yasin, M.; Harun, S.W. Q-Switched Pulse Generation in Erbium-Doped Fiber Laser Cavity with Vanadium Aluminum Carbide Absorber. J. Russ. Laser Res. 2022, 43, 702–707. [Google Scholar] [CrossRef]
- He, J.; Lu, H.; Tao, L.; Zhao, Y.; Zheng, Z.; Zhou, B. Nonlinear optical properties of PtTe2 based saturable absorbers for ultrafast photonics. J. Mater. Chem. C 2022, 10, 5124–5133. [Google Scholar] [CrossRef]
- Mou, C.; Saffari, P.; Fu, H.; Zhou, K.; Zhang, L.; Bennion, I. Single- and dual-wavelength switchable erbium-doped fiber ring laser based on intracavity polarization selective tilted fiber gratings. Appl. Opt. 2009, 48, 3455–3459. [Google Scholar] [CrossRef]
- Wang, Z.; Shang, J.; Li, S.; Mu, K.; Qiao, Y.; Yu, S. All-polarization maintaining single-longitudinal-mode fiber laser with ultra-high OSNR, sub-KHz linewidth and extremely high stability. Opt. Laser Technol. 2021, 141, 107135. [Google Scholar] [CrossRef]
- Steinberg, D.; Zapata, J.; Di Saito, L.A.M.; de Souza, E. Study of Pulse Formation in an EDFL under a large dispersion variation hybridly mode-locked by graphene and nonlinear polarization rotation. IEEE Photonics J. 2021, 13, 2. [Google Scholar] [CrossRef]
- Hasegawa, A.; Tappert, F. Transmission of stationary nonlinear optical pulses in dispersive dielectric fibers. I. Anomalous dispersion. Appl. Phys. Lett. 1973, 23, 142. [Google Scholar] [CrossRef]
- Agrawal, G. Nonlinear Fiber Optics, 5th ed.; Elsevier: Amsterdam, The Netherlands, 2012. [Google Scholar]
- Dudley, J.M.; Taylor, J.R. Supercontinuum Generation in Optical Fibers; Cambridge University Press: Cambridge, UK, 2010. [Google Scholar]
- Hua, K.; Wang, D.N.; Chen, Q. Passively mode-locked fiber laser based on graphene covered single-mode fiber with inner short waveguides. Opt. Commun. 2022, 505, 127520. [Google Scholar] [CrossRef]
- Liu, H.H.; Chow, K.K.; Yamashita, S.; Set, S.Y. Carbon-nanotube-based passively Q-switched fiber laser for high energy pulse generation. Opt. Laser Technol. 2013, 45, 713–716. [Google Scholar] [CrossRef]
- Sazali, N.; Ibrahim, H.; Jamaludin, A.S.; Mohamed, M.A.; Salleh, W.N.W.; Abidin, M.N.Z. Degradation and stability of polymer: A mini review. IOP Conf. Ser. Mater. Sci. Eng. 2020, 788, 012048. [Google Scholar] [CrossRef]
- Rogovina, S.Z.; Aleksanyan, K.; Prut, E.V. Biodegradable blends based on chitin and chitosan: Production, structure, and properties. J. Appl. Polym. Sci. 2011, 121, 1850–1859. [Google Scholar] [CrossRef]
- Barrera, J.E.; Rodriguez, J.A.; Perilla, J.E.; Algecira, N.A. A study of poly(vinyl alcohol) thermal degradation by thermogravimetry and differential thermogravimetry. Ing. Investig. 2007, 27, 100–105. [Google Scholar] [CrossRef]
- David, C. Thermal degradation of polymers. In Comprehensive Chemical Kinetics; Elsevier: Amsterdam, The Netherlands, 1975; Volume 14, pp. 1–173. [Google Scholar]
- Kostag, M.; El Seoud, O.A. Sutainable biomaterials based on cellulose, chitin and chitosan composites—A review. Carbohydr. Polym. Technol. Appl. 2021, 2, 100079. [Google Scholar] [CrossRef]
- Zalkepali, N.U.H.H.; Awang, N.; Yuzaile, Y.R.; Zakaria, Z.A.; Latif, A.; Ahmad, F. Graphene nanoplatelets as saturable absorber for mode-locked fiber laser generation. J. Adv Res. Dyn. Control Syst. 2020, 12, 602–607. [Google Scholar]
- Kim, M.; Kim, J.J.; Lee, S.B.; Kim, D.-Y.; Lee, K.; Lee, W. Broadband Passively Mode-Locked Fiber Laser with DNA Aqueous Solution as Saturable Absorber. Appl. Sci. 2021, 11, 9871. [Google Scholar] [CrossRef]
- Lau, K.Y.; Zainol Abidin, N.H.; Abu Bakar, M.H.; Latif, A.A.; Muhammad, F.D.; Huang, N.M.; Omar, M.F.; Mahdi, M.A. Passively mode-locked ultrashort pulse fiber laser incorporating multi-layered graphene nanoplatelets saturable absorber. J. Phys. Commun. 2018, 2, 075005. [Google Scholar] [CrossRef]
- Haris, H.; Harun, S.W.; Muhammad, A.R.; Arof, H. Graphene oxide-polyethylene oxide (PEO) film as saturable absorber on modelocked erbium doped fiber laser generation. J. Teknol. 2016, 78, 13–17. [Google Scholar] [CrossRef]
- Chen, Z.D.; Wang, Y.G.; Li, L.; Lv, R.D.; Wei, L.L.; Liu, S.C.; Wang, X. Reduced graphene oxide as saturable absorbers for erbium-doped passively mode-locked fiber laser. Chin. Phys. B 2018, 27, 084206. [Google Scholar] [CrossRef]
- Xia, H.; Li, H.; Wang, Z.; Chen, Y.; Zhang, X.; Tang, X.; Liu, Y. Nanosecond pulse generation in a graphene mode-locked erbium-doped fiber laser. Opt. Commun. 2014, 330, 147–150. [Google Scholar] [CrossRef]
- Tarka, J.; Boguslawski, J.; Sobon, G.; Pasternak, I.; Przewloka, A.; Strupinski, W.; Abramski, K.M. power scaling of an all-pm fiber er-doped mode-locked laser based on graphene saturable absorber. IEEE J. Sel. Top. Quantum Electron. 2017, 23, 60–65. [Google Scholar] [CrossRef]
- Chen, H.R.; Tsai, C.Y.; Chang, C.Y.; Lin, K.H.; Chang, C.S.; Hsieh, W.F. Investigation of graphene dispersion from kelly sideband in stable mode-locked erbium-doped fiber laser by few-layer graphene saturable absorbers. J. Light. Technol. 2015, 33, 4406–4412. [Google Scholar] [CrossRef]



















| Material | Center WaveLength (nm) | Threshold Pump Power (mW) | Pulse Width | Repetition Rate (MHz) | SNR (dB) | Modulation Depth (%) | Average Output Power (mW) | Ref |
|---|---|---|---|---|---|---|---|---|
| Graphene Nanoplatelets | 1559.26 | 86.3 | 0.59 ns | 21.36 | - | 27.7 | - | [54] |
| Graphene–DNA | 1563 | 280 | 0.82 ps | 14.11 | 50 | - | 7.5 | [55] |
| Graphene Nanoplatelets | 1558.35 | 22.6 | 0.69 ps | 13.11 | 58.2 | - | 6.7 | [56] |
| GO-PEO | 1558.6 | 70 | 1.25 ps | 21.8 | - | - | 0.363 | [57] |
| rGO | 1567.29 | 273 | 1.38 ns | 12.66 | 50 | 5.5 | - | [58] |
| CVD graphene–PMMA | 1569.5 | 93 | 24 ns | 5.78 | 65 | - | 12.1 | [59] |
| CVD Graphene–PMMA | 1555 | 100 | 0.252 ps | 56.37 | - | - | 15.66 | [60] |
| Graphene–PMMA | 1562.7 | 45 | 0.967 ps | 14.3 | 61.3 | 1.52 | - | [61] |
| Graphene–chitin | 1563.47 | 172.33 | 1.08 ps | 26.11 | 40 | 15.08 | 53.3 | This work |
Disclaimer/Publisher’s Note: The statements, opinions and data contained in all publications are solely those of the individual author(s) and contributor(s) and not of MDPI and/or the editor(s). MDPI and/or the editor(s) disclaim responsibility for any injury to people or property resulting from any ideas, methods, instructions or products referred to in the content. |
© 2023 by the authors. Licensee MDPI, Basel, Switzerland. This article is an open access article distributed under the terms and conditions of the Creative Commons Attribution (CC BY) license (https://creativecommons.org/licenses/by/4.0/).
Share and Cite
Zuikafly, S.N.F.; Ahmad, H.; Ismail, M.F.; Abdul Rahman, M.A.; Yahya, W.J.; Abu Husain, N.; Abu Kassim, K.A.; Yahaya, H.; Ahmad, F. Dual Regime Mode-Locked and Q-Switched Erbium-Doped Fiber Laser by Employing Graphene Filament–Chitin Film-Based Passive Saturable Absorber. Micromachines 2023, 14, 1048. https://doi.org/10.3390/mi14051048
Zuikafly SNF, Ahmad H, Ismail MF, Abdul Rahman MA, Yahya WJ, Abu Husain N, Abu Kassim KA, Yahaya H, Ahmad F. Dual Regime Mode-Locked and Q-Switched Erbium-Doped Fiber Laser by Employing Graphene Filament–Chitin Film-Based Passive Saturable Absorber. Micromachines. 2023; 14(5):1048. https://doi.org/10.3390/mi14051048
Chicago/Turabian StyleZuikafly, Siti Nur Fatin, Harith Ahmad, Mohd Faizal Ismail, Mohd Azizi Abdul Rahman, Wira Jazair Yahya, Nurulakmar Abu Husain, Khairil Anwar Abu Kassim, Hafizal Yahaya, and Fauzan Ahmad. 2023. "Dual Regime Mode-Locked and Q-Switched Erbium-Doped Fiber Laser by Employing Graphene Filament–Chitin Film-Based Passive Saturable Absorber" Micromachines 14, no. 5: 1048. https://doi.org/10.3390/mi14051048
APA StyleZuikafly, S. N. F., Ahmad, H., Ismail, M. F., Abdul Rahman, M. A., Yahya, W. J., Abu Husain, N., Abu Kassim, K. A., Yahaya, H., & Ahmad, F. (2023). Dual Regime Mode-Locked and Q-Switched Erbium-Doped Fiber Laser by Employing Graphene Filament–Chitin Film-Based Passive Saturable Absorber. Micromachines, 14(5), 1048. https://doi.org/10.3390/mi14051048

