Study of a Fluorescent System Based on the Naphthalene Derivative Fluorescent Probe Bound to Al3+
Abstract
1. Introduction
2. Materials and Methods
2.1. Reagents and Instruments
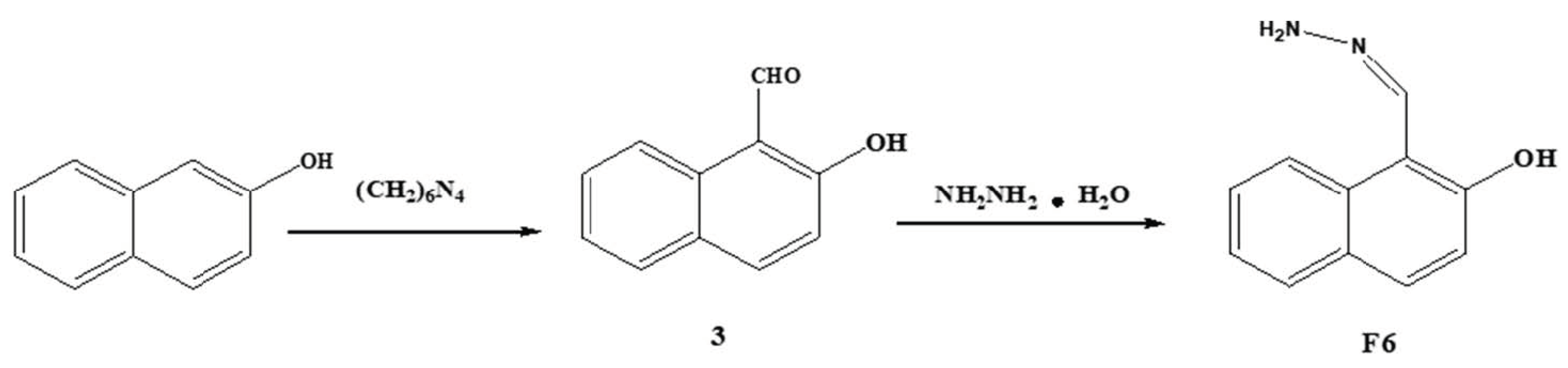
2.2. Synthesis of Fluorescent Probe F6
2.3. Preparation of the Probe Solution and Metal Ion Solution
2.4. Fluorescence System Determination
2.5. Applied Research
3. Results and Discussion
3.1. Characterization of the Fluorescent Probe F6
3.2. Fluorescence Spectrum of F6 Probe and Al3+
3.3. Probe F6 Versus Al3+ Concentration and Standard Curve Plotting
3.4. Study on Metal Ion Selectivity and Anti-Interference of Fluorescent Probe F6
3.5. Effect of Temperature and Reaction Time on Fluorescence System
3.6. Binding Ratio, Constants and Mechanism
3.7. Determination of Detection Limit
3.8. Methodological Examination
3.9. Reversibility of the Fluorescence System
3.10. Applied Research
4. Conclusions
Author Contributions
Funding
Data Availability Statement
Acknowledgments
Conflicts of Interest
References
- Jiang, Q.; Li, M.; Song, J.; Yang, Y.; Xu, X.; Xu, H.; Wang, S. A highly sensitive and selective fluorescent probe for quantitative detection of Al3+ in food, water, and living cells. RSC Adv. 2019, 9, 10414–10419. [Google Scholar] [CrossRef] [PubMed]
- Luo, R.; Yang, D.; Xu, C.; Zhang, D.; Li, N.; Fan, Y.; Zhang, X. A multifunctional “off–on” fluorescence probe for Al3+, Zn2+ and La3+ detection and cellular imaging applications. J. Iran. Chem. Soc. 2023, 20, 361–369. [Google Scholar] [CrossRef]
- Xing, Z.; Wang, J.; Huang, J.; Chen, X.; Zong, Z.; Fan, C.; Huang, G. A Significant Fluorescence Turn-On Probe for the Recognition of Al3+ and Its Application. Molecules 2022, 27, 2569. [Google Scholar] [CrossRef] [PubMed]
- Bartwal, G.; Aggarwal, K.; Khurana, J.M. Quinoline-ampyrone functionalized azo dyes as colorimetric and fluorescent enhancement probes for selective aluminium and cobalt ion detection in semi-aqueous media. J. Photochem. Photobiol. A Chem. 2020, 394, 112492. [Google Scholar] [CrossRef]
- Chen, X.; Sun, W.; Bai, Y.; Zhang, F.; Zhao, J.; Ding, X. Novel rhodamine Schiff base type naked-eye fluorescent probe for sensing Fe3+ and the application in cell. Spectrochim. Acta Part A Mol. Biomol. Spectrosc. 2018, 191, 566–572. [Google Scholar] [CrossRef]
- Domaille, D.W.; Que, E.L.; Chang, C.J. Synthetic fluorescent sensors for studying the cell biology of metals. Nat. Chem. Biol. 2008, 4, 168–175. [Google Scholar] [CrossRef]
- Peng, H.; Han, Y.; Lin, N.; Liu, H. Two pyridine-derived Schiff-bases as turn-on fluorescent sensor for detection of aluminium ion. Opt. Mater. 2019, 95, 109210. [Google Scholar] [CrossRef]
- Poongodi, K.; Kumar, P.S.; Shanmugapriya, R.; Nandhini, C.; Elango, K.P. 2-Aminophenols based Schiff bases as fluorescent probes for selective detection of cyanide and aluminium ions–Effect of substituents. Spectrochim. Acta Part A Mol. Biomol. Spectrosc. 2021, 249, 119288. [Google Scholar] [CrossRef]
- Qin, J.C.; Yang, Z.Y.; Fan, L.; Cheng, X.Y.; Li, T.R.; Wang, B.D. Design and synthesis of a chemosensor for the detection of Al3+ based on ESIPT. Anal. Methods 2014, 6, 7343–7348. [Google Scholar] [CrossRef]
- Fasman, G.D. Aluminum and Alzheimer’s disease: Model studies. Coord. Chem. Rev. 1996, 149, 125–165. [Google Scholar] [CrossRef]
- Quiroga-Campano, C.; Gómez-Machuca, H.; Moris, S.; Pessoa-Mahana, H.; Jullian, C.; Saitz, C. Synthesis of calix [4] arenes bearing thiosemicarbazone moieties with naphthalene groups: Highly selective turn off/on fluorescent sensor for Cu (II) recognition. J. Mol. Struct. 2021, 1225, 129125. [Google Scholar] [CrossRef]
- Ghosh, S.; Singharoy, D.; Naskar, J.P.; Bhattacharya, S.C. Selective sensing of Cu2+ ion by naphthalene based Schiff base. J. Indian Chem. Soc. 2021, 98, 100062. [Google Scholar] [CrossRef]
- Golbedaghi, R.; Ildiz, G.O.; Azadbakht, R.; Fausto, R. A new tetramine bis (2-naphthol)-derivative fluorescent chemosensor for aluminum ion (Al3+). J. Mol. Struct. 2022, 1250, 131775. [Google Scholar] [CrossRef]
- Gunnlaugsson, T.; Davis, A.P.; O’Brien, J.E.; Glynn, M. Fluorescent sensing of pyrophosphate and bis-carboxylates with charge neutral PET chemosensors. Org. Lett. 2002, 4, 2449–2452. [Google Scholar] [CrossRef] [PubMed]
- Kaur, A.; Kaur, M.; Bhalla, V.; Singh, M.; Bhanwer, A.; Kumar, M. Naphthalimide assemblies for simultaneous detection of ferrous ion and H2O2 to prevent fenton reaction. ChemistrySelect 2021, 6, 1692–1698. [Google Scholar] [CrossRef]
- Li, M.; Feng, L.C.; Feng, S.B.; Dong, W.K. A nonsymmetric salamo-based turn-off fluorescent probe for the detection of Cu2+ and its structurally rare dinuclear Cu (II) complex. J. Mol. Struct. 2022, 1261, 132926. [Google Scholar] [CrossRef]
- Zhao, Q.; Sun, J.; Liu, B.; He, J. Coloring properties of novel 1, 4-distyrylbenzene and 4, 4′-distyrylbiphenyl fluorescent brighteners and their arrangement in cotton and polyester fiber. Cellulose 2014, 21, 2937–2950. [Google Scholar] [CrossRef]
- Zhao, Q.; Sun, J.; Li, F.; He, J.; Liu, B. Mechanism and kinetics of Horner–Wadsworth–Emmons reaction in liquid–liquid phase-transfer catalytic system. J. Mol. Catal. A Chem. 2015, 400, 111–120. [Google Scholar] [CrossRef]
- Li, N.N.; Bi, C.F.; Zhang, X.; Xu, C.G.; Fan, C.B.; Gao, W.S.; Zong, Z.A.; Zuo, S.S.; Niu, C.F.; Fan, Y.H. A bifunctional probe based on naphthalene derivative for absorbance-ratiometic detection of Ag+ and fluorescence “turn-on” sensing of Zn2+ and its practical application in water samples, walnut and living cells. J. Photochem. Photobiol. A Chem. 2020, 390, 112299. [Google Scholar] [CrossRef]
- Liu, P.; Wang, L.; Yang, Y.; Qu, Y.; Ming, L.J. Recent advances of cyclotriphosphazene derivatives as fluorescent dyes. Dyes Pigment. 2021, 188, 109214. [Google Scholar] [CrossRef]
- Bhardwaj, V.; Bhardwaj, K.; Sahoo, S.K. ‘AIE+ ESIPT’Active 2-hydroxy-naphthalene Hydrazone for the Fluorescence Turn-on Sensing of Al3+. J. Fluoresc. 2023, 1–8. [Google Scholar] [CrossRef]
- Yarullin, D.N.; Zavalishin, M.N.; Gamov, G.A.; Lukanov, M.M.; Ksenofontov, A.A.; Bumagina, N.A.; Antina, E.V. Prediction of Sensor Ability Based on Chemical Formula: Possible Approaches and Pitfalls. Inorganics 2023, 11, 158. [Google Scholar] [CrossRef]
- Sharma, S.; Jayaraman, A.; Debnath, J. 2-Hydroxy-naphthalene hydrazone based dual-functional chemosensor for ultrasensitive colorimetric detection of Cu2+ and highly selective fluorescence sensing and bioimaging of Al3+. J. Photochem. Photobiol. A Chem. 2023, 437, 114408. [Google Scholar] [CrossRef]
- Maity, S.; Shyamal, M.; Maity, R.; Mudi, N.; Hazra, P.; Giri, P.K.; Samanta, S.S.; Pyne, S.; Misra, A. An antipyrine based fluorescent probe for distinct detection of Al3+ and Zn2+ and its AIEE behaviour. Photochem. Photobiol. Sci. 2020, 19, 681–694. [Google Scholar] [CrossRef]
- Yu, C.; Cui, S.; Ji, Y.; Wen, S.; Jian, L.; Zhang, J. A pH tuning single fluorescent probe based on naphthalene for dual-analytes (Mg2+ and Al3+) and its application in cell imaging. RSC Adv. 2020, 10, 21399–21405. [Google Scholar] [CrossRef]
- Zhang, X.; Shen, L.Y.; Zhang, Q.L.; Yang, X.J.; Huang, Y.L.; Redshaw, C.; Xu, H. A simple turn-off Schiff base fluorescent sensor for copper (II) ion and its application in water analysis. Molecules 2021, 26, 1233. [Google Scholar] [CrossRef] [PubMed]
- Li, B.Y.; Li, R.; Gao, J.; Wang, W.F.; Xie, M.J.; Lu, J.; Zheng, F.K.; Guo, G.C. Barium-based coordination polymer: A bi-functional fluorescent sensor for Fe3+ and nitroaromatic molecular detection. Inorg. Chem. Commun. 2022, 137, 109227. [Google Scholar] [CrossRef]
- Singh, D.; Thakur, N.; Raj, K.K.; Pandey, R. Development of aminoethylpyridine based N, N, N, O-donor fluorescent probes for the detection of Fe3+ and Hg2+ in aqueous media. J. Phys. Conf. Ser. 2020, 1504, 012001. [Google Scholar] [CrossRef]
- Wang, C.; Xu, J.; Ma, Q.; Bai, Y.; Tian, M.; Sun, J.; Zhang, Z. A highly selective fluorescent probe for hydrogen polysulfides in living cells based on a naphthalene derivative. Spectrochim. Acta Part A Mol. Biomol. Spectrosc. 2020, 227, 117579. [Google Scholar] [CrossRef]
- Yan, L.; Zhang, S.; Xie, Y.; Lei, C. A fluorescent probe for Gallium (Ⅲ) ions based on 2-hydroxy-1-naphthaldehyde and L-serine. Dyes Pigment. 2020, 175, 108190. [Google Scholar] [CrossRef]
- Azadbakht, R.; Koolivand, M.; Menati, S. Salicylimine-based fluorescent chemosensor for magnesium ions in aqueous solution. Inorg. Chim. Acta 2021, 514, 120021. [Google Scholar] [CrossRef]
- Xu, Z.H.; Wang, Y.; Wang, Y. AIE active salicylaldehyde-based hydrazone: A novel single-molecule multianalyte (Al3+ or Cu2+) sensor in different solvents. Spectrochim. Acta Part A Mol. Biomol. Spectrosc. 2019, 212, 146–154. [Google Scholar] [CrossRef] [PubMed]
- Li, Y.P.; Zhao, Q.; Yang, H.R.; Liu, S.J.; Liu, X.M.; Zhang, Y.H.; Hu, T.L.; Chen, J.T.; Chang, Z.; Bu, X.H. A new ditopic ratiometric receptor for detecting zinc and fluoride ions in living cells. Analyst 2013, 138, 5486–5494. [Google Scholar] [CrossRef] [PubMed]










| Number | ΔF | Average Value | RSD (%) |
|---|---|---|---|
| 1 | 294.35 | ||
| 2 | 293.18 | ||
| 3 | 299.62 | ||
| 4 | 299.85 | ||
| 5 | 303.90 | 298.54 | 1.26 |
| 6 | 298.75 | ||
| 7 | 293.97 | ||
| 8 | 303.21 | ||
| 9 | 300.98 | ||
| 10 | 297.64 |
| [Al3+] (10−6 mol/L) | Recovery Rate (%) | Recovery Mean ± SD (%) | RSD (%) |
|---|---|---|---|
| 3 | 99.81 | ||
| 101.21 | 100.13 ± 0.96 | 0.96 | |
| 99.37 | |||
| 7 | 100.85 | ||
| 99.73 | 100.66 ± 0.86 | 0.85 | |
| 101.41 | |||
| 11 | 97.45 | ||
| 99.31 | 98.98 ± 1.39 | 1.4 | |
| 100.17 |
| Sample | Addition Amount (1 × 10−6 mol/L) | Recovery Amount (1 × 10−6 mol/L) | Recovery Rate (%) | RSD(%) (n = 3) |
|---|---|---|---|---|
| Panax Quinquefolium | 0 | -- | -- | -- |
| Panax Quinquefolium | 5 | 4.99 | 99.8 | 0.87 |
| Panax Quinquefolium | 9 | 9.05 | 100.56 | 0.55 |
| Panax Quinquefolium | 12 | 11.97 | 99.75 | 0.63 |
| Radix Paeoniae Alba | 0 | -- | -- | -- |
| Radix Paeoniae Alba | 5 | 4.96 | 99.2 | 0.94 |
| Radix Paeoniae Alba | 9 | 8.97 | 99.67 | 0.61 |
| Radix Paeoniae Alba | 12 | 11.84 | 98.67 | 1.02 |
Disclaimer/Publisher’s Note: The statements, opinions and data contained in all publications are solely those of the individual author(s) and contributor(s) and not of MDPI and/or the editor(s). MDPI and/or the editor(s) disclaim responsibility for any injury to people or property resulting from any ideas, methods, instructions or products referred to in the content. |
© 2023 by the authors. Licensee MDPI, Basel, Switzerland. This article is an open access article distributed under the terms and conditions of the Creative Commons Attribution (CC BY) license (https://creativecommons.org/licenses/by/4.0/).
Share and Cite
Li, Q.; Ma, L.; Li, J.; Wang, L.; Yu, L.; Zhao, Y.; Lv, Y. Study of a Fluorescent System Based on the Naphthalene Derivative Fluorescent Probe Bound to Al3+. Micromachines 2023, 14, 868. https://doi.org/10.3390/mi14040868
Li Q, Ma L, Li J, Wang L, Yu L, Zhao Y, Lv Y. Study of a Fluorescent System Based on the Naphthalene Derivative Fluorescent Probe Bound to Al3+. Micromachines. 2023; 14(4):868. https://doi.org/10.3390/mi14040868
Chicago/Turabian StyleLi, Qiuping, Lei Ma, Jianyan Li, Lijuan Wang, Liansheng Yu, Yuehui Zhao, and Yuguang Lv. 2023. "Study of a Fluorescent System Based on the Naphthalene Derivative Fluorescent Probe Bound to Al3+" Micromachines 14, no. 4: 868. https://doi.org/10.3390/mi14040868
APA StyleLi, Q., Ma, L., Li, J., Wang, L., Yu, L., Zhao, Y., & Lv, Y. (2023). Study of a Fluorescent System Based on the Naphthalene Derivative Fluorescent Probe Bound to Al3+. Micromachines, 14(4), 868. https://doi.org/10.3390/mi14040868
