Electrode Based on the MWCNTs and Electropolymerized Thymolphthalein for the Voltammetric Determination of Total Isopropylmethylphenols in Spices
Abstract
1. Introduction
2. Materials and Methods
2.1. Reagents
2.2. Equipment
2.3. Electrode Surface Modification
2.4. Electrochemical Measurements
2.5. Real Samples Analysis
2.6. Statistical Analysis of the Data
3. Results and Discussion
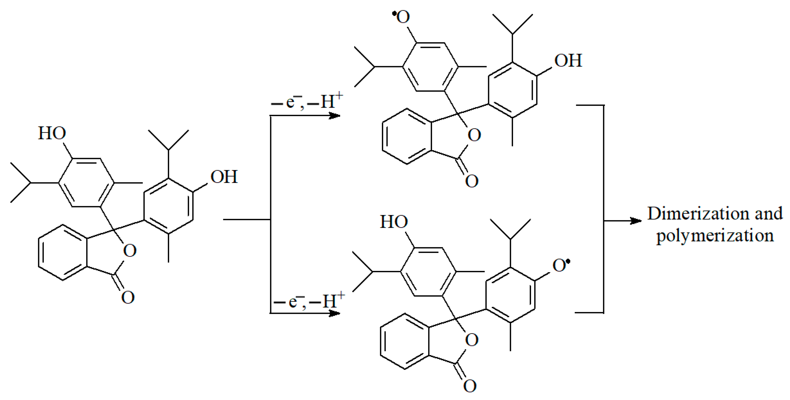
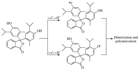
3.1. Potentiodynamic Electropolymerization of Thymolphthalein at the MWCNTs-Modified Electrode
3.2. Surface and Electron Transfer Characterization of the Electrodes
3.2.1. Electrodes Surface Morphology
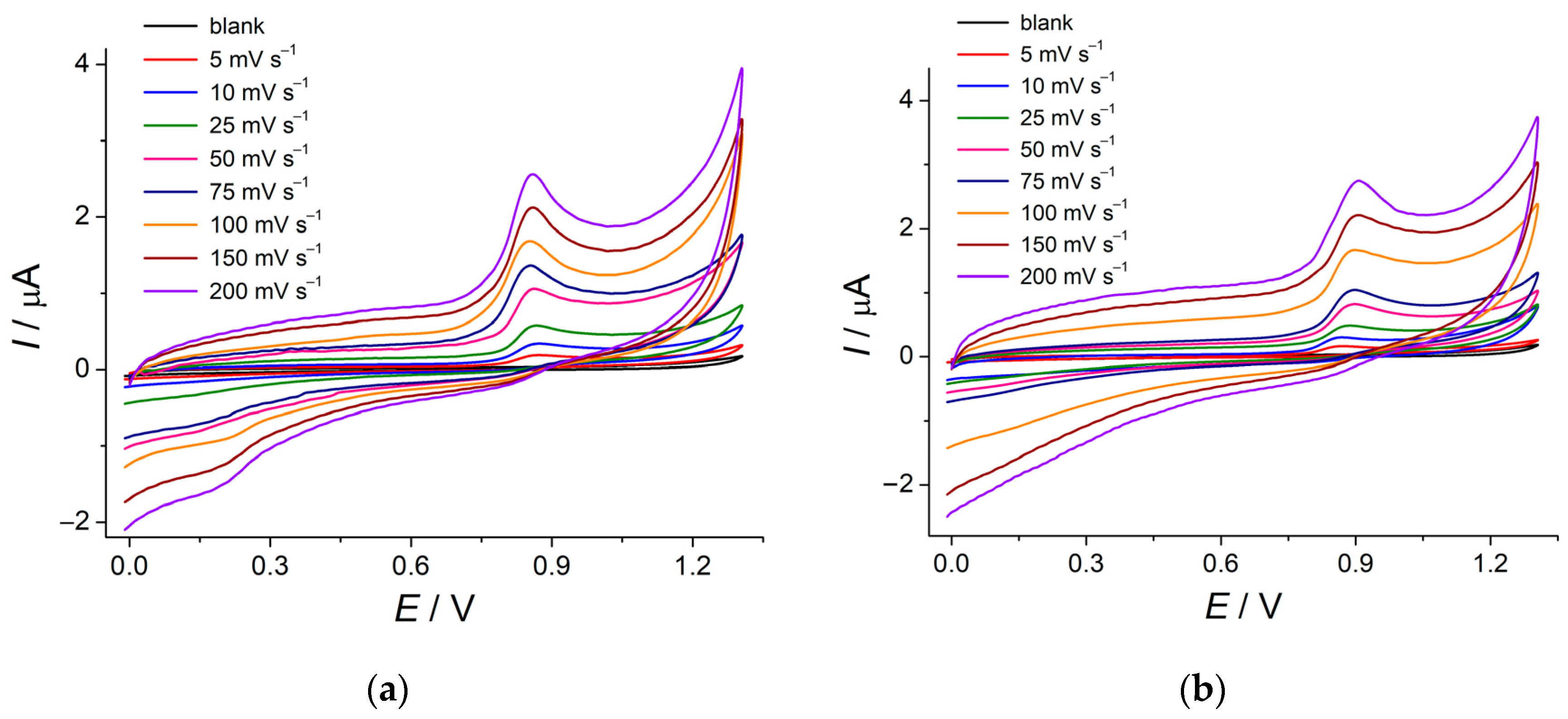
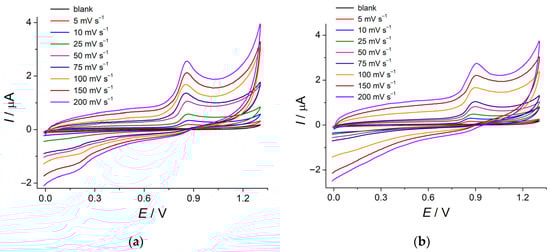
3.2.2. Evaluation of the Electroactive Surface Area and Electron Transfer Properties of Electrodes
3.3. Voltammetric Characteristics of Thymol at the Bare and Modified GCE
3.4. Electrooxidation of Isopropylmethylphenols at the Polythymolphthalein-Modified Electrode
3.5. Differential Pulse Voltammetric Determination of Isopropylmethylphenols
3.6. Determination of Total Isopropylmethylphenols in Spices
4. Conclusions
Supplementary Materials
Author Contributions
Funding
Institutional Review Board Statement
Informed Consent Statement
Data Availability Statement
Acknowledgments
Conflicts of Interest
References
- Naghdi Badi, H.; Abdollahi, M.; Mehrafarin, A.; Ghorbanpour, M.; Tolyat, S.; Qaderi, A.; Ghiaci Yekta, M. An overview on two valuable natural and bioactive compounds, thymol and carvacrol, in medicinal plants. J. Med. Plants 2017, 16, 1–32. [Google Scholar]
- Fachini-Queiroz, F.C.; Kummer, R.; Estevão-Silva, C.F.; de Barros Carvalho, M.D.; Cunha, J.M.; Grespan, R.; Bersani-Amado, C.A.; Cuman, R.K.N. Effects of thymol and carvacrol, constituents of Thymus vulgaris L. essential oil, on the inflammatory response. Evid. Based Complement. Alternat. Med. 2012, 2012, 657026. [Google Scholar] [CrossRef]
- Falcone, P.; Speranza, B.; Del Nobile, M.A.; Corbo, M.R.; Sinigaglia, M.J. A study on the antimicrobial activity of thymol intended as a natural preservative. Food Prot. 2005, 68, 1664–1670. [Google Scholar] [CrossRef]
- Nostro, A.; Papalia, T. Antimicrobial activity of carvacrol: Current progress and future prospectives. Recent Pat. Antiinfect. Drug Discov. 2012, 7, 28–35. [Google Scholar] [CrossRef] [PubMed]
- Yanishlieva, N.V.; Marinova, E.M.; Gordon, M.H.; Raneva, V.G. Antioxidant activity and mechanism of action of thymol and carvacrol in two lipid systems. Food Chem. 1999, 64, 59–66. [Google Scholar] [CrossRef]
- Ziyatdinova, G.; Budnikov, H. Natural phenolic antioxidants in bioanalytical chemistry: State of the art and prospects of development. Russ. Chem. Rev. 2015, 84, 194–224. [Google Scholar] [CrossRef]
- Fadhil, G. Spectrophotometric determination of thymol in pharmaceutical preparations via oxidative coupling reaction with 2,4-dinitrophenylhydrazine in the presence of potassium periodate. Iraqi J. Sci. 2014, 55, 27–34. [Google Scholar]
- Dhahir, S.A. Determination of thymol in pure and pharmaceutical preparation by diazotization—Coupling method with 2,4-dichloroaniline as the coupling agent. J. Kufa Chem. Sci. 2011, 2, 99–108. [Google Scholar]
- Al-Abachi, M.Q.; Al-Ward, H.S. Batch and flow-injection spectrophotometric determination of thymol using procaine hydrochloride as a new chromogenic reagent. Baghdad Sci. J. 2012, 9, 302–310. [Google Scholar]
- Razzaq, Z.L.; Mohammed, H.J. Spectrophotometric determination of thymol in lastarine antiseptic by diazotization of 4-aminoantipyrine in the presence of Triton X-100. Int. J. Eng. Technol. 2014, 14, 104–111. [Google Scholar]
- Backheet, E.Y. Micro determination of eugenol, thymol and vanillin in volatile oils and plants. Phytochem. Anal. 1998, 9, 134–140. [Google Scholar] [CrossRef]
- Mibielli, R.B.I.; Gerber, T.; Mazzarino, L.; Veleirinho, M.B.; Yunes, R.A.; Maraschin, M. Development of a spectrophotometric method for quantification of carvacrol in nanoemulsions. Rev. Bras. Farmacogn. 2021, 31, 116–120. [Google Scholar] [CrossRef]
- Tonello, N.V.; D’Eramo, F.; Marioli, J.M.; Crevillen, A.G.; Escarpa, A. Extraction-free colorimetric determination of thymol and carvacrol isomers in essential oils by pH-dependent formation of gold nanoparticles. Microchim. Acta 2018, 185, 352. [Google Scholar] [CrossRef] [PubMed]
- Kiyanpour, V.; Fakhari, A.R.; Alizadeh, R.; Asghari, B.; Jalali-Heravi, M. Multivariate optimization of hydrodistillation-headspace solvent microextraction of thymol and carvacrol from Thymus transcaspicus. Talanta 2009, 79, 695–699. [Google Scholar] [CrossRef]
- Nozal, M.J.; Bernal, J.L.; Jiménez, J.J.; González, M.J.; Higes, M. Extraction of thymol, eucalyptol, menthol, and camphor residues from honey and beeswax: Determination by gas chromatography with flame ionization detection. J. Chromatogr. A 2002, 954, 207–215. [Google Scholar] [CrossRef]
- Fiori, G.M.L.; Bonato, P.S.; Pereira, M.P.M.; Continia, S.H.T.; Pereira, A.M.S. Determination of thymol and carvacrol in plasma and milk of dairy cows using solid-phase microextraction. J. Braz. Chem. Soc. 2013, 24, 837–846. [Google Scholar] [CrossRef]
- Jiménez-Salcedo, M.; Tena, M.T. Determination of cinnamaldehyde, carvacrol and thymol in feedstuff additives by pressurized liquid extraction followed by gas chromatography-mass spectrometry. J. Chromatogr. A 2017, 1487, 14–21. [Google Scholar] [CrossRef]
- Bernal, J.; Nozal, M.J.; Bernal, J.L.; Ares, A.M. Determination of carvacrol and thymol in honey by using a simple and efficient headspace-gas chromatography-mass spectrometry method. Food Anal. Methods 2020, 13, 2138–2146. [Google Scholar] [CrossRef]
- Ares, A.M.; Nozal, M.J.; Bernal, J.L.; Bernal, J. Simultaneous determination of carvacrol and thymol in bee pollen by using a simple and efficient solvent extraction method and gas chromatography-mass spectrometry. J. Pharm. Biomed. Anal. 2020, 181, 113124. [Google Scholar] [CrossRef]
- Paolini, J.; Costa, J.; Bernardini, A.-F. Analysis of the essential oil from aerial parts of Eupatorium cannabinum subsp. corsicum (L.) by gas chromatography with electron impact and chemical ionization mass spectrometry. J. Chromatogr. A 2005, 1076, 170–178. [Google Scholar] [CrossRef] [PubMed]
- Hajimehdipoor, H.; Shekarchi, M.; Khanavi, M.; Adib, N.; Amri, M. A validated high performance liquid chromatography method for the analysis of thymol and carvacrol in Thymus vulgaris L. volatile oil. Pharmacogn. Mag. 2010, 6, 154–158. [Google Scholar] [CrossRef] [PubMed]
- Kasiri, E.; Haddadi, H.; Javadian, H.; Asfaram, A. Highly effective pre-concentration of thymol and carvacrol using nano-sized magnetic molecularly imprinted polymer based on experimental design optimization and their trace determination in summer savoury, Origanum majorana and Origanum vulgare extracts. J. Chromatogr. B 2021, 1182, 122941. [Google Scholar] [CrossRef]
- Roosta, M.; Ghaedi, M.; Daneshfar, A.; Sahraei, R. Ultrasound assisted microextraction-nanomaterial solid phase dispersion for extraction and determination of thymol and carvacrol in pharmaceutical samples: Experimental design methodology. J. Chromatogr. B 2015, 975, 34–39. [Google Scholar] [CrossRef] [PubMed]
- Ghiasvand, A.; Dowlatshah, S.; Nouraei, N.; Heidari, N.; Yazdankhah, F. A solid-phase microextraction platinized stainless steel fiber coated with a multiwalled carbon nanotube-polyaniline nanocomposite film for the extraction of thymol and carvacrol in medicinal plants and honey. J. Chromatogr. A 2015, 1406, 87–93. [Google Scholar] [CrossRef] [PubMed]
- Ghobadloo, P.A.; Hamidi, S.; Nemati, M.; Jahed, F.S. Ultrasound assisted dispersive solid phase microextraction of thymol and carvacrol in pharmaceutical products using graphene oxide as an adsorbent prior to analysis by high performance chromatography. Curr. Pharm. Anal. 2020, 16, 578–584. [Google Scholar] [CrossRef]
- Ghaedi, M.; Roosta, M.; Khodadoust, S.; Daneshfar, A. Application of optimized vortex-assisted surfactant-enhanced DLLME for preconcentration of thymol and carvacrol, and their determination by HPLC-UV: Response surface methodology. J. Chromatogr. Sci. 2015, 53, 1222–1231. [Google Scholar] [CrossRef]
- Viñas, P.; Soler-Romera, M.J.; Hernández-Córdoba, M. Liquid chromatographic determination of phenol, thymol and carvacrol in honey using fluorimetric detection. Talanta 2006, 69, 1063–1067. [Google Scholar] [CrossRef]
- Chang, X.; Sun, P.; Ma, Y.; Han, D.; Zhao, Y.; Bai, Y.; Zhang, D.; Yang, L. A new method for determination of thymol and carvacrol in Thymi herba by ultraperformance convergence chromatography (UPC2). Molecules 2020, 25, 502. [Google Scholar] [CrossRef] [PubMed]
- Foudah, A.I.; Shakeel, F.; Alqarni, M.H.; Ali, A.; Alshehri, S.; Ghoneim, M.M.; Alam, P. Determination of thymol in commercial formulation, essential oils, traditional, and ultrasound-based extracts of Thymus vulgaris and Origanum vulgare using a greener HPTLC approach. Molecules 2022, 27, 1164. [Google Scholar] [CrossRef]
- Ternes, W.; Gronemeyer, M.; Schwarz, K. Determination of p-cymene-2,3-diol, thymol, and carvacrol in different foodstuffs. Z. Lebensm. Unters. Forsch. 1995, 201, 544–547. [Google Scholar] [CrossRef]
- Cantalapiedra, A.; Gismera, M.J.; Sevilla, M.T.; Procopio, J.R. Sensitive and selective determination of phenolic compounds from aromatic plants using an electrochemical detection coupled with HPLC method. Phytochem. Anal. 2014, 25, 247–254. [Google Scholar] [CrossRef] [PubMed]
- Zima, J.; Cienciala, M.; Barek, J.; Moreira, J.C. Determination of thymol using HPLC-ED with glassy carbon paste electrode. Chem. Anal. 2007, 52, 1049–1057. [Google Scholar]
- Tonello, N.; Moressi, M.B.; Robledo, S.N.; D’Eramo, F.; Marioli, J.M. Square wave voltammetry with multivariate calibration tools for determination of eugenol, carvacrol and thymol in honey. Talanta 2016, 158, 306–314. [Google Scholar] [CrossRef]
- Kowalcze, M.; Jakubowska, M. Multivariate approach in voltammetric identification and simultaneous determination of eugenol, carvacrol, and thymol on boron-doped diamond electrode. Monatsh. Chem. 2019, 150, 991–1002. [Google Scholar] [CrossRef]
- Pierini, G.D.; Bortolato, S.A.; Robledo, S.N.; Alcaraz, M.R.; Fernández, H.; Goicoechea, H.C.; Zon, M.A. Second-order electrochemical data generation to quantify carvacrol in oregano essential oils. Food Chem. 2022, 368, 130840. [Google Scholar] [CrossRef]
- Michelitsch, A.; Rittmannsberger, A.; Hüfner, A.; Rückert, U.; Likussar, W. Determination of isopropylmethylphenols in black seed oil by differential pulse voltammetry. Phytochem. Anal. 2004, 15, 320–324. [Google Scholar] [CrossRef] [PubMed]
- Robledo, S.N.; Pierini, G.D.; Nieto, C.H.D.; Fernández, H.; Zon, M.A. Development of an electrochemical method to determine phenolic monoterpenes in essential oils. Talanta 2019, 196, 362–369. [Google Scholar] [CrossRef]
- Lau, O.-W.; Luk, S.-F.; Wong, W.-C. Simultaneous determination of methyl salicylate and thymol in various pharmaceutical formulations by differential-pulse voltammetry using a glassy carbon electrode. Analyst 1988, 113, 865–868. [Google Scholar] [CrossRef] [PubMed]
- Ziyatdinova, G.K.; Budnikov, H.C. Evaluation of the antioxidant properties of spices by cyclic voltammetry. J. Anal. Chem. 2014, 69, 990–997. [Google Scholar] [CrossRef]
- Kowalcze, M.; Jakubowska, M. Voltammetric determination of carvacrol on boron doped diamond electrode. Anal. Chim. Acta 2019, 1045, 98–107. [Google Scholar] [CrossRef]
- Stanković, D.M. Sensitive voltammetric determination of thymol in essential oil of Carum copticum seeds using boron-doped diamond electrode. Anal. Biochem. 2015, 486, 1–4. [Google Scholar] [CrossRef] [PubMed]
- Jakubczyk, M.; Michalkiewicz, S.; Skorupa, A.; Slefarska, D. Voltammetric Determination of Isopropylmethylphenols in Herbal Spices. Molecules 2021, 26, 6095. [Google Scholar] [CrossRef] [PubMed]
- Piech, R.; Paczosa-Bator, B. Application of glassy carbon electrode modified with Nafion/MWCNTs for sensitive voltammetric determination of thymol. Acta Pol. Pharm. Drug Res. 2015, 72, 1081–1088. [Google Scholar]
- Ziyatdinova, G.K.; Romashkina, S.A.; Ziganshina, E.R.; Budnikov, H.C. Voltammetric determination of thymol on an electrode modified by coimmobilized carboxylated multiwalled carbon nanotubes and surfactants. J. Anal. Chem. 2018, 73, 63–70. [Google Scholar] [CrossRef]
- Ziyatdinova, G.; Budnikov, H. MWNT-based electrode for the voltammetric quantification of carvacrol. Food Anal. Methods 2021, 14, 401–410. [Google Scholar] [CrossRef]
- Fuentes, F.G.; Gil, M.Á.L.; Mendoza, S.; Escarpa, A. Electrochemical screening of biomarkers in chemotype Mexican oregano oils on single-walled carbon nanotubes screen-printed electrodes. Electroanalysis 2011, 23, 2212–2216. [Google Scholar] [CrossRef]
- Behpour, M.; Masoum, S.; Meshki, M. Determination of trace amounts of thymol and caffeic acid in real samples using a graphene oxide nanosheet modified electrode application of experimental design in voltammetric studies. RSC Adv. 2014, 4, 14270–14280. [Google Scholar] [CrossRef]
- Zhao, X.; Du, Y.; Ye, W.; Lu, D.; Xia, X.; Wang, C. Sensitive determination of thymol based on CeO2 nanoparticle-decorated graphene hybrid film. New J. Chem. 2013, 37, 4045–4051. [Google Scholar] [CrossRef]
- Ziyatdinova, G.; Ziganshina, E.; Cong, P.N.; Budnikov, H. Voltammetric determination of thymol in oregano using CeO2-modified electrode in Brij® 35 micellar medium. Food Anal. Methods 2017, 10, 129–136. [Google Scholar] [CrossRef]
- Mohammadi, S.Z.; Beitollahi, H.; Rohani, T.; Allahabadi, H. Carvacrol electrochemical reaction characteristics on screen printed electrode modified with La2O3/Co3O4 nanocomposite. J. Electrochem. Sci. Eng. 2019, 9, 113–123. [Google Scholar] [CrossRef]
- Gan, T.; Lv, Z.; Deng, Y.; Sun, J.; Shi, Z.; Liu, Y. Facile synthesis of monodisperse Ag@C@Ag core-double shell spheres for application in the simultaneous sensing of thymol and phenol. New J. Chem. 2015, 39, 6244–6252. [Google Scholar] [CrossRef]
- Aghamohseni, B.; Hassaninejad-Darzi, S.K.; Asadollahi-Baboli, M. A new sensitive voltammetric determination of thymol based on MnY nanozeolite modified carbon paste electrode using response surface methodology. Microchem. J. 2019, 145, 819–832. [Google Scholar] [CrossRef]
- Ziyatdinova, G.K.; Zhupanova, A.S.; Budnikov, H.C. Electrochemical sensors for the simultaneous detection of phenolic antioxidants. J. Anal. Chem. 2022, 77, 155–172. [Google Scholar] [CrossRef]
- Ziyatdinova, G.; Guss, E.; Yakupova, E. Electrochemical sensors based on the electropolymerized natural phenolic antioxidants and their analytical application. Sensors 2021, 21, 8385. [Google Scholar] [CrossRef] [PubMed]
- Bertuola, M.; Fagali, N.; de Mele, M.A.F.L. Detection of carvacrol in essential oils by electrochemical polymerization. Helyon 2020, 6, e03714. [Google Scholar] [CrossRef] [PubMed]
- Naskar, H.; Biswas, S.; Tudu, B.; Bandyopadhyay, R.; Pramanik, P. Voltammetric detection of thymol (THY) using polyacrylamide embedded graphite molecular imprinted polymer (PAM@G-MIP) Electrode. IEEE Sens. J. 2019, 19, 8583–8589. [Google Scholar] [CrossRef]
- Ziyatdinova, G.K.; Guss, E.V.; Morozova, E.V.; Budnikov, H.C. An electrode based on electropolymerized sunset yellow for the simultaneous voltammetric determination of chlorogenic and ferulic acids. J. Anal. Chem. 2021, 76, 371–380. [Google Scholar] [CrossRef]
- Zhupanova, A.; Guss, E.; Ziyatdinova, G.; Budnikov, H. Simultaneous voltammetric determination of flavanones using an electrode based on functionalized single-walled carbon nanotubes and polyaluminon. Anal. Lett. 2020, 53, 2170–2189. [Google Scholar] [CrossRef]
- Guss, E.V.; Ziyatdinova, G.K.; Zhupanova, A.S.; Budnikov, H.C. Voltammetric determination of quercetin and rutin in their simultaneous presence on an electrode modified with polythymolphthalein. J. Anal. Chem. 2020, 75, 526–535. [Google Scholar] [CrossRef]
- Ziyatdinova, G.; Guss, E.; Morozova, E.; Budnikov, H.; Davletshin, R.; Vorobev, V.; Osin, Y. Simultaneous voltammetric determination of gallic and ellagic acids in cognac and brandy using electrode modified with functionalized SWNT and poly(pyrocatechol violet). Food Anal. Methods 2019, 12, 2250–2261. [Google Scholar] [CrossRef]
- Ziyatdinova, G.; Zhupanova, A.; Davletshin, R. Simultaneous determination of ferulic acid and vanillin in vanilla extracts using voltammetric sensor based on electropolymerized bromocresol purple. Sensors 2022, 22, 288. [Google Scholar] [CrossRef]
- Chandrashekar, B.N.; Swamy, B.E.K.; Mahesh, K.R.V.; Chandra, U.; Sherigara, B.S. Electrochemical studies of bromothymol blue at surfactant modified carbon paste electrode by using cyclic voltammetry. Int. J. Electrochem. Sci. 2009, 4, 471–480. [Google Scholar]
- Sayyah, S.M.; Khaliel, A.B.; Azooz, R.E.; Mohamed, F. Electropolymerization of some ortho-substituted phenol derivatives on Pt-electrode from aqueous acidic solution; kinetics, mechanism, electrochemical studies and characterization of the polymer obtained. In Electropolymerization; Schab-Balcerzak, E., Ed.; TechOpen: London, UK, 2011; pp. 21–52. [Google Scholar] [CrossRef]
- Bard, A.J.; Faulkner, L.R. Electrochemical Methods: Fundamentals and Applications, 2nd ed.; John Wiley & Sons: New York, NY, USA, 2001; 864p. [Google Scholar]
- Mastelić, J.; Jerković, I.; Blazević, I.; Poljak-Blazi, M.; Borović, S.; Ivancić-Baće, I.; Smrecki, V.; Zarković, N.; Brcić-Kostic, K.; Vikić-Topić, D.; et al. Comparative study on the antioxidant and biological activities of carvacrol, thymol, and eugenol derivatives. J. Agric. Food Chem. 2008, 56, 3989–3996. [Google Scholar] [CrossRef] [PubMed]
- Lee, J.H.Q.; Tay, B.K.; Ganguly, R.; Webster, R.D. The electrochemical oxidation of sesamol in acetonitrile containing variable amounts of water. Electrochim. Acta 2015, 184, 392–402. [Google Scholar] [CrossRef]
- Brito, R.E.; Mellado, J.M.R.; Maldonado, P.; Montoya, M.R.; Palma, A.; Morales, E. Elucidation of the electrochemical oxidation mechanism of the antioxidant sesamol on a glassy carbon electrode. J. Electrochem. Soc. 2014, 161, G27–G32. [Google Scholar] [CrossRef]
- Nieto, G. A review on applications and uses of Thymus in the food industry. Plants 2020, 9, 961. [Google Scholar] [CrossRef] [PubMed]














| Electrode | A (mm2) | Rs (Ω) 1 | Ret (kΩ) 2 | Q (µΩ−1) 3 | n | W (µΩ−1) 4 | χ 2,5 |
|---|---|---|---|---|---|---|---|
| GCE | 8.9 ± 0.3 | 245 ± 5 | 72 ± 3 | 3.7 ± 0.2 | 0.789 | – | 0.028 |
| MWCNTs/GCE | 75 ± 2 | 199 ± 3 | 12.1 ± 0.9 | 3.6 ± 0.1 | 0.775 | 230 ± 5 | 0.015 |
| Polythymolphthalein/MWCNTs/GCE | 88 ± 5 | 112±5 | 7.3±0.1 | 0.704±0.09 | 0.889 | 225±10 | 0.021 |
| Analyte | Linear Dynamic Range (µM) | I = a + bc | ||
|---|---|---|---|---|
| a ± SD (µA) | (b ± SD) × 10−3 (µA M−1) | R2 | ||
| Thymol | 0.050–25 | 0.045 ± 0.001 | 80.3 ± 0.1 | 0.9999 |
| 25–100 | 0.45 ± 0.07 | 64 ± 1 | 0.9992 | |
| Carvacrol | 0.10–10 | 0.030 ± 0.002 | 94.8 ± 0.3 | 0.9999 |
| 10–100 | 0.40 ± 0.04 | 59.6 ± 0.7 | 0.9994 | |
| Electrode | Method | Detection Limit (µM) | Linear Dynamic Range (µM) | Ref. |
|---|---|---|---|---|
| Thymol | ||||
| Nafion/MWCNTs/GCE | AdSDPV 1 | 0.05 | 0.5–5.0 | [43] |
| Carboxylated MWCNTs-Sodium dodecyl sulfate/GCE | LSV 2 | 0.14 | 0.500–17.0; 17.0–150 | [44] |
| Single-walled carbon nanotubes/Screen-printed electrode | DPV | 4.0 | 5–90 | [46] |
| Graphene oxide nanosheet/GCE | DPV | 0.065 | 2–200 | [47] |
| CeO2 nanoparticles-Graphene/GCE | DPV | 0.050 | 0.10–18 | [48] |
| CeO2 nanoparticles-Brij® 35/GCE | DPV in Brij® 35 medium | 0.20 | 0.700–10.1; 10.1–606 | [49] |
| Ag@C@Ag core–double shell spheres/GCE | AdDPV 3 | 0.0216 | 0.1–10 | [51] |
| MnY nanozeolite/Carbon paste electrode | DPV | 0.243 | 0.5–28 | [52] |
| Polyacrylamide embedded graphite molecular imprinted polymer based electrode | DPV | 0.043 | 0.5–10; 10–300 | [56] |
| Polythymolphthalein/MWCNTs/GCE | DPV | 0.037 | 0.050–25; 25–100 | This work |
| Carvacrol | ||||
| MWCNTs–Sodium dodecyl sulfate/GCE | DPV | 0.075 | 0.1–25; 25–150 | [45] |
| La2O3/Co3O4 nanocomposite/Screen-printed electrode | DPV | 1.0 | 10–800 | [50] |
| Polythymolphthalein/MWCNTs/GCE | DPV | 0.063 | 0.10–10; 10–100 | This work |
| Isopropylmethylphenol | Added (µg) | Found (µg) | RSD (%) | Recovery (%) |
|---|---|---|---|---|
| Thymol | 0.0376 | 0.0375 ± 0.0001 | 0.40 | 99.9 ± 0.5 |
| 0.376 | 0.37 ± 0.01 | 2.5 | 99 ± 3 | |
| 1.88 | 1.86 ± 0.09 | 3.7 | 99 ± 5 | |
| 5.63 | 5.62 ± 0.05 | 0.72 | 99.7 ± 0.9 | |
| 18.8 | 18.8 ± 0.4 | 1.3 | 100 ± 2 | |
| 75.1 | 75.2 ± 0.7 | 0.62 | 100 ± 1 | |
| Carvacrol | 0.0751 | 0.074 ± 0.004 | 0.47 | 99 ± 4 |
| 0.563 | 0.562 ± 0.006 | 0.91 | 100 ± 1 | |
| 3.76 | 3.74 ± 0.06 | 1.3 | 99 ± 2 | |
| 7.51 | 7.52 ± 0.04 | 3.2 | 100.1 ± 0.5 | |
| 37.6 | 37.5 ± 0.6 | 0.62 | 100 ± 1 | |
| 75.1 | 75 ± 1 | 0.60 | 100 ± 1 |
| Spice | Sample Number | Total Contents of Isopropylmethylphenols (mg g−1) | t-Test 1 | F-Test 2 | |||
|---|---|---|---|---|---|---|---|
| Found by Voltammetry | RSD (%) | Found by Spectrophotometry | RSD (%) | ||||
| Oregano | 1 | 5.4 ± 0.1 | 1.6 | 5.5 ± 0.5 | 3.8 | 1.24 | 6.09 |
| 2 | 1.20 ± 0.02 | 0.62 | 1.21 ± 0.04 | 2.9 | 0.251 | 2.18 | |
| 3 | 6.5 ± 0.5 | 2.8 | 6.4 ± 0.9 | 5.4 | 0.619 | 3.57 | |
| Thyme | 1 | 4.2 ± 0.1 | 1.0 | 4.3 ± 0.1 | 1.4 | 1.60 | 1.75 |
| 2 | 2.9 ± 0.2 | 2.3 | 2.9 ± 0.3 | 4.0 | 0.996 | 3.01 | |
| 3 | 1.9 ± 0.1 | 2.7 | 2.0 ± 0.2 | 5.0 | 2.32 | 4.00 | |
Disclaimer/Publisher’s Note: The statements, opinions and data contained in all publications are solely those of the individual author(s) and contributor(s) and not of MDPI and/or the editor(s). MDPI and/or the editor(s) disclaim responsibility for any injury to people or property resulting from any ideas, methods, instructions or products referred to in the content. |
© 2023 by the authors. Licensee MDPI, Basel, Switzerland. This article is an open access article distributed under the terms and conditions of the Creative Commons Attribution (CC BY) license (https://creativecommons.org/licenses/by/4.0/).
Share and Cite
Chernousova, N.; Ziyatdinova, G. Electrode Based on the MWCNTs and Electropolymerized Thymolphthalein for the Voltammetric Determination of Total Isopropylmethylphenols in Spices. Micromachines 2023, 14, 636. https://doi.org/10.3390/mi14030636
Chernousova N, Ziyatdinova G. Electrode Based on the MWCNTs and Electropolymerized Thymolphthalein for the Voltammetric Determination of Total Isopropylmethylphenols in Spices. Micromachines. 2023; 14(3):636. https://doi.org/10.3390/mi14030636
Chicago/Turabian StyleChernousova, Natalia, and Guzel Ziyatdinova. 2023. "Electrode Based on the MWCNTs and Electropolymerized Thymolphthalein for the Voltammetric Determination of Total Isopropylmethylphenols in Spices" Micromachines 14, no. 3: 636. https://doi.org/10.3390/mi14030636
APA StyleChernousova, N., & Ziyatdinova, G. (2023). Electrode Based on the MWCNTs and Electropolymerized Thymolphthalein for the Voltammetric Determination of Total Isopropylmethylphenols in Spices. Micromachines, 14(3), 636. https://doi.org/10.3390/mi14030636

