Abstract
The physiological systems and biological applications that have arisen during the past 15 years depend heavily on the microscale and nanoscale fluxes. Microchannels have been utilized to develop new diagnostic assays, examine cell adhesion and molecular transport, and replicate the fluid flow microenvironment of the circulatory system. The various uses of MHD boundary flow in engineering and technology are extensive, ranging from MHD power generators and the polymer industry to MHD flow meters and pumps and the spinning of filaments. In this investigation, the (Magnetohydrodynamic) MHD flow of Prandtl nanofluid is investigated along with mixed convection, energy activation, microorganism, and chemical reaction. The flow model is considered through partial differential equations in dimensionless form which is then integrated numerically via considering the Bvp4c technique. The outcome is numerous emerging physical parameters over velocity profile, temperature, mass concentration, and microorganism with the separate pertinent quantities such as the Prandtl fluid parameter, elastic fluid parameter, magnetic field, mixed convection parameter, activation energy, chemical reaction, Brownian motion, thermophoretic force, Prandtl number, and Schmidt number. The friction factor, rate of heat transfer and Sherwood number, and density of microbes are revealed numerically and graphically. The outcomes indicate that the Prandtl fluid parameter and elastic fluid parameter tend to enhance the velocity profile. It is also noted that the Prandtl fluid parameter depreciates the thermal rate with the addition of the concentration profile while the opposite trend is recorded for activation energy. Obtained numerical outcomes are correspondingly compared with the current statistics in limiting cases and a close match is obtained.
1. Introduction
The term nanofluid has been of great interest to many engineers, modelers, and researchers due to its vast practical applications in solar systems, micromachine, automobiles, aerospace, electronics, and pharmaceuticals. Nanofluids are a mixture of nanoparticles and base fluids. Nanofluids are developed by suspending solid nanoparticles (having sizes between 1–100 nm) into the conventional base fluids (such as ethylene glycol, oil, and water). By adding nanoparticles to base fluids, the thermal characteristics of the fluid are enhanced. In 1995, Choi [1] experimented with the enhancement of the thermal properties by adding nanoparticles to base fluid. For convective transport, Buongiorno [2] established a mathematical model utilizing different physical constraints of nanofluid. For mass and heat transmission in a channel flow for nanoliquid, Shehzad et al. [3] presented Buongiorno’s model using (Homotopy analysis method) HAM. The mixed convective nanofluid flow past a vertical path, using a similar mathematical technique, was carried out by Xu et al. [4]. Khan and Pop [5] analyzed the flow of nanofluid over a stretchable plane and concluded that thermal conductivity is increased by Brownian movement and thermophoretic effects. Practically beneficial convective-type conditions over a vertical plane to evaluate the buoyancy-induced flow of nanoliquid were explained by Aziz and Khan [6]. In a spinning system with MHD and two-phase modeling of nanofluid, Sheikholeslami and Ganji [7] detected that convection boosts with an upsurge in Reynolds number whereas it has a reverse connection with Brownian and thermophoretic constraints. Afify and Bazid [8] explored the effects of thermophoresis diffusion and Brownian motion bounded by a vertical surface with characteristics of variable nanofluid. With the application of five different categories of nanomaterials with Marangoni convection, Lin et al. [9] observed the pseudo-plastic flow of non-Newtonian nanofluid. MHD flow of nanofluid through a stretched plane was inspected by Rashidi et al. [10]. The magnetic effect in 3D of a second-grade nanofluid past a stretched plane was probed by Hayat et al. [11]. Muhammad et al. [12,13] studied heat transfer using nanoparticles in the Ferromagnetic nanofluid. Chu et al. [14] conducted the natural convective flow of Maxwell nanofluid with influence of the Cattaneo–Christov dual theory over a stretching surface. Xiong et al. [15] reported the investigation of multiple solutions of Cross nanoliquid past a vertical thin needle. Soomro et al. [16] probed the double solution of water nanofluid using a porous cylinder. Reddy et al. [17] showed the Cross nanoliquid with a magnetic field. Ali and Zaib [18] studied Powell Eyirg nanofluid near the stagnation point. Ahmed et al. [19] conducted the Eyring Powell nanofluid due to a moving wedge. Loganathan et al. [20] carried out the Re-Eyring nanofluid. Akbar et al. [21] looked into the thermal conductivity of temperature-dependent viscosity. Akram et al. [22] scrutinized the MoS2 Rabinowitsch nanofluid inside the peristaltic flow. Ahmed et al. [23] studied the entropy production of Sutterby nanofluid. Khaled et al. [24] explained the Baffle length cavity of convection nanofluid.
Convection is a process of heat transfer in which the fluid (gas or liquid) travels away from the hot body along with the thermal energy when the temperature increases. There exist two kinds of convection, natural convection and forced convection. The combination of both types of convections is called mixed convection. It is a situation where buoyancy and pressure forces interrelate. Mixed convection has numerous applications in several industrial fields, engineering, and scientific fields, for example, chemical processes, biology, physics, geology, and many more. For fourth-grade peristaltic flow, Mustafa et al. [25] explored the solution numerically with mixed convection. Mahmood and Merkin [26] analyzed the fluid flow with mixed convection on a vertical spherical cylinder. In an absorbent surface covered with nanofluids, Ahmad and Pop [27] scrutinized the stable mixed convective flow over a smooth plane. Imtiaz et al. [28] studied the flow of mixed convective Casson fluid on the stretched cylinder using convective boundary conditions and evaluated that the percentage of mass and heat transfer increases as the thermophoretic constraint upsurges.
Non-Newtonian fluids have a vast application in industries and our daily life. A few daily life products that do not follow Newtonian law are honey, paints, toothpaste, syrup, and so on. Researchers used different models to describe the properties of non-Newtonian nanofluids; the Prandtl fluid model is one of these models. Many of the researchers discussed numerous non-Newtonian fluid models with different geometries and shapes [29,30,31,32,33]. Inside an irregular channel, Akbar [34] investigated the Prandtl fluid flow. For peristaltic mixed convective Prandtl flow of nanofluid, Hayat et al. [35] scrutinized the significance of hall current and chemical reaction. For radiation parameters, Soomro [36] analyzed the behavior of streamlines with convection at the boundary of the Prandtl flow of nanofluid through a stretching plane. With the impacts of Soret and Dufour, Hayat [37] numerically evaluated the peristalsis flow of Prandtl fluid for an endoscope. With 3D MHD flow Prandtl liquid past a horizontal surface, Kumar [38] examined the properties of mass transmission and chemical reaction. Sajid et al. [39] used the consequence of the effect of thermal radiation using Prandtl fluid flow through a variable species diffusivity with convective boundary conditions. Khan et al. [40] revealed the combined effect of stratification with heat generation of MHD Prandtl fluid.
In 1889, Svante Arrhenius (a Swedish scientist) named the minimum energy to activate a chemical reaction as Arrhenius activation energy. This energy is being used in chemical processing and engineering, lowering the temperature of nuclear reactors and recovery of thermal oil. Free convective mass transmission in a perpendicular pipe was first examined by Bestman [41] along with Arrhenius energy and chemical reaction. Through second law analysis, Zaib [42] numerically considered the MHD Casson nanomaterial flow over a wedge with Arrhenius energy and chemical process.
Nowadays, the flow of microorganisms in nanofluids attained lots of interest among scientists because of its various applications in problems regarding fluid flow. Microorganisms portray a vital role in decreasing greenhouse impact. It also has a broad variety of features in industrial and chemical processes such as preparing biofertilizers, biofuel, alcohol, and so on. Algae are rapidly growing biomass and can be transformed into biofuel or biodiesel fuel [43]. The presence of gyrotactic microorganisms in nanofluids boosts mass transfer and improves the stability of nanofluids [44] and microscale mixing. Chamkha [45] explored MHD impacts on solutal and thermal transmission across a stretched sheet. The microorganism is also effective for the optimization of the production of fibers and to evaluate the poisonousness of nanoparticles [46,47]. Khan et al. [48] studied macroscopical modeling for heat transfer of hybrid nanoliquid with MHD.
When particles in a fluid travel along a straight line, we say that the fluid is flowing laminarly. Laminar flow is a type of fluid motion in which the fluid moves in parallel layers with no lateral mixing and no disturbance between the layers. We refer to the laminar flow as a streamlined or a viscous flow. A similar idea underlies the concept of dynamic lift in aerodynamics. Wings of an airplane can rise because of a pressure difference carried by an airfoil, even when the flow around it remains laminar. Therefore, one of the uses in air mechanics is laminar flow.
A turbulent flow is a type of irregular flow that contains eddies, swirls, and flow instabilities, all of which are key concepts in the field of fluid dynamics. It is controlled by low-velocity diffusion and high-velocity convection. In contrast, the laminar regime describes the situation where fluid flows in perfectly parallel layers with no separation between them. Muhmmad et al. [49] computed the turbulence flow in FOAM.
Heat can be transmitted in three fundamental ways. Convection is a common method of heat transport in fluid mechanics, where the fluid’s motion moves the heat from one location to another. Ahmed et al. [50] conducted a numerical study of heat transfer in a rectangle. Heat transfer in the square cavities has been discussed by Mehmood et al. [51]. Some other important and valuable research on different methodologies and material analysis is listed in Refs. [52,53,54,55,56,57,58,59,60,61,62,63,64].
The core idea of this above-mentioned literature is to observe the MHD flow of mixed convective Prandtl nanofluid with activation energy in the presence of the microorganism. Activation energy has also been accounted for in the concentration equation. The flow model of ODEs is considered numerically via Bvp4c Matlab technique. The physical interpretation is graphically configured to explore the interesting features of various constraints over associated profiles. For shear force, rate of heat transfer, mass transfer, and density of microorganism, numerical results are obtained against the different values of flow constraints.
2. Mathematical Modeling
We considered an incompressible flow of mixed convective Prandtl flow of a nanofluid in the influence of activation-energy-containing microorganisms past a stretching sheet. The velocity component was described by and in the direction of the x and y-axis, where the x-axis and y-axis were taken along the surface. Moreover, a magnetic field was implemented on the stretching sheet, as seen in Figure 1.
Figure 1.
Geometry of problem.
The extra stress tensor for the current model flow was defined as [38]
where and are the material variable of the Prandtl fluid model. The constitutive expressions of the MHD Prandtl nanoliquid were considered as [38]:
Here, is the kinematic viscosity of the liquid, is the electrical conductivity of the liquid, is the thermal diffusivity of the fluid, is the heat capacity of the particle to the heat capacity of the fluid, is the activation energy, and is the thermophoretic and Brownian motion, and is the microorganism coefficient. The term considers the Arrhenius expression that shows reaction rate, is the activation energy, and is the fitted rate constant which generally lies in the range
The boundary conditions were:
considering the transformations [15]:
With the above transformations, the continuity equation was verified and Equations (3)–(6) yielded the form:
The transformed boundary conditions were [15]
Here, primes express the differentiation w.r.t in the above terms, whereas is the elastic parameter, is the Prandtl fluid parameter, is the Grashof number, is the dimensionless mixed convective parameter, is the buoyancy ratio parameter, is the bioconvection Rayleigh number, is the magnetic parameter, is the parameter of Brownian motion, is the Prandtl number, is the thermophoretic parameter, is the Schmidt number, is the dimensionless chemical reaction constant, is the temperature relative parameter, is the dimensionless energy activation, is the motile microbes parameter, is the bioconvection Lewis number, and is the Peclet number.
3. Quantities of Interest
The equation for surface shear stress and the skin friction coefficient is [58]:
The expression for surface heat flux and the local Nusselt number is [58]:
The equation for mass flux and Sherwood number is [58]:
The equation for surface microorganism flux and local density number of motile microbes is:
Physical quantities in the dimensionless form are [58]:
4. Computational Solution
The Equations (9)–(12) including boundary conditions (13) were numerically integrated via the shooting method. First, we transformed the above system of equations into first order (initial value problem) IVP and then solved via the shooting method. Suppose
Boundary conditions were transformed as
Now, to solve Equations (19)–(21) using the shooting technique with boundary conditions (34), we set , and . Then, by utilizing the Bvp4c integration algorithm, the above system of ODEs was solved. The calculated solution will be convergent if absolute differences between the given and computed values of and are less than .
5. Results
This article is devoted to expressing the impacts of Arrhenius energy over MHD microorganisms of Prandtl nanoliquid with mixed convective flow. The leading expressions were integrated numerically using the (boundary value problem) BVP4c technique. The physical behavior of various variables over are exhibited in Figure 2, Figure 3, Figure 4, Figure 5, Figure 6, Figure 7, Figure 8, Figure 9 and Figure 10. Moreover, the numerical fluctuation in friction factor, Nusselt, Sherwood number, and microorganisms are explored through tables and graphs. Table 1 enlightens the characteristics of the drag coefficient, heat, mass, and density of microorganisms versus the parameter of fluid against the mixed convection parameter . Here, the fraction factor and mass transfer are augmented with various values of and while heat transfer rate and motile density are decayed with greater values of and . Table 2 and Table 3 reveal the validation of the in the previously published literature and found an outstanding achievement for the examination of the values of , and .
Figure 2.
(a–c) Influence of over Prandtl fluid parameter .
Figure 3.
(a–c) Influence of velocity over elastic parameter .
Figure 4.
(a–c) Influence of over magnetic parameter .
Figure 5.
(a,b) Influence of over mixed convective parameter .
Figure 6.
(a,b) Influence of over activation energy and chemical reaction constant .
Figure 7.
(a,b) Influence of temperature over Brownian parameter .
Figure 8.
(a,b) Influence of over thermophoretic parameter .
Figure 9.
(a,b) Influence of over Prandtl number and over Schmidt number .
Figure 10.
(a–c) Influence of over bioconvection parameter , Lewis number Lb, and Peclet number .
Table 1.
Values of friction factor, Nusselt, Sherwood number, and density of microorganism versus for diverse values of when and .
Table 2.
Comparison of numerical values for for dissimilar values of when and .
Table 3.
Comparison of numerical values for for dissimilar values of when and .
Figure 2a–c express an outcome of the Prandtl variable over and , respectively. The Prandtl fluid parameters were studied for the shear-thinning nature of the fluid. Figure 2a explains the enhancing performance of fluid parameters on velocity . Physically, the fluid turns less viscous when Prandtl fluid parameter upsurges. Thus, the velocity increases for a less-viscous fluid. Figure 2b,c reveal the impact of on and profiles, respectively. The thermal layer and concentration of nanoparticles show the reducing behavior as bigger values of . An impact of elastic parameter over velocity , temperature and concentration are seen in Figure 3a–c, respectively. Figure 3a exhibits that the velocity field enhances with the enhancing values of . Physically, the augment of elastic dynamic viscosity results tends to resist the motion. Figure 3b,c disclose the diminishing of temperature and concentration for the greater values of . Figure 4a–c view the impact of the magnetic parameter on and . Figure 4a reveals that the enhancing value of reduces the velocity profile. Physically, a higher Lorentz force (resistive force) is produced when increases. This resistant force converts some thermal energy into heat energy. Figure 4b,c notice that the temperature profile and concentration tend to increase for the greater values of . Figure 5a,b manifest the influence of on and . From the figure, it can be seen that the improved magnitude of accelerates the velocity distribution. In fact, an increase in produces a larger buoyancy force due to this augmentation in the velocity of the fluid. However, the opposite trend was noted for the temperatre profile in Figure 5b. Figure 6a,b present the influence of and chemical reaction constant over . Figure 6a presents the increasing effect of activation energy on the concentration of the nanoparticle. Physically, the binary chemical reaction slows down when it receives greater activation energy and a lesser temperature. Figure 6b indicates the decreasing impact of by growing values of . Physically, the increase in the extermination process helps the liquid species dissolve effortlessly; thus, the concentration of nanoparticles decreases. Figure 7a,b amount the outcomes of over the and . For greater the temperature field escalates whereas the concentration decreases for larger . Physically, the collision between the fluid particles upsurges with the growth in which intensifies the temperature. Nanoparticle concentration is decayed for the greater values of , as seen in Figure 7b. Figure 8a,b exhibits the growing performance of temperature field and concentration . When rises, the particles of fluid transfer from hotter to cooler surfaces more rapidly which results in the rising heat and mass transfer. The influences of the Prandtl number and Schmidt number on and are viewed in Figure 9a,b, respectively. We detected that and boundary layer viscosity dropped for bigger . Physically, thermal diffusivity decreases with higher . Therefore, the temperature of the fluid declines for larger . From Figure 9b, it is clear that an escalation of reduces nanoparticle concentration. This is because mass diffusivity decreases for larger values of . Therefore, nanoparticle concentration declines for bigger . Figure 10a–c reveal a decline in the thickness of the boundary layer of the motile density profile for mounting amounts of motile microorganism parameter , Lewis number and Peclet number
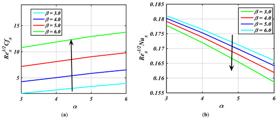
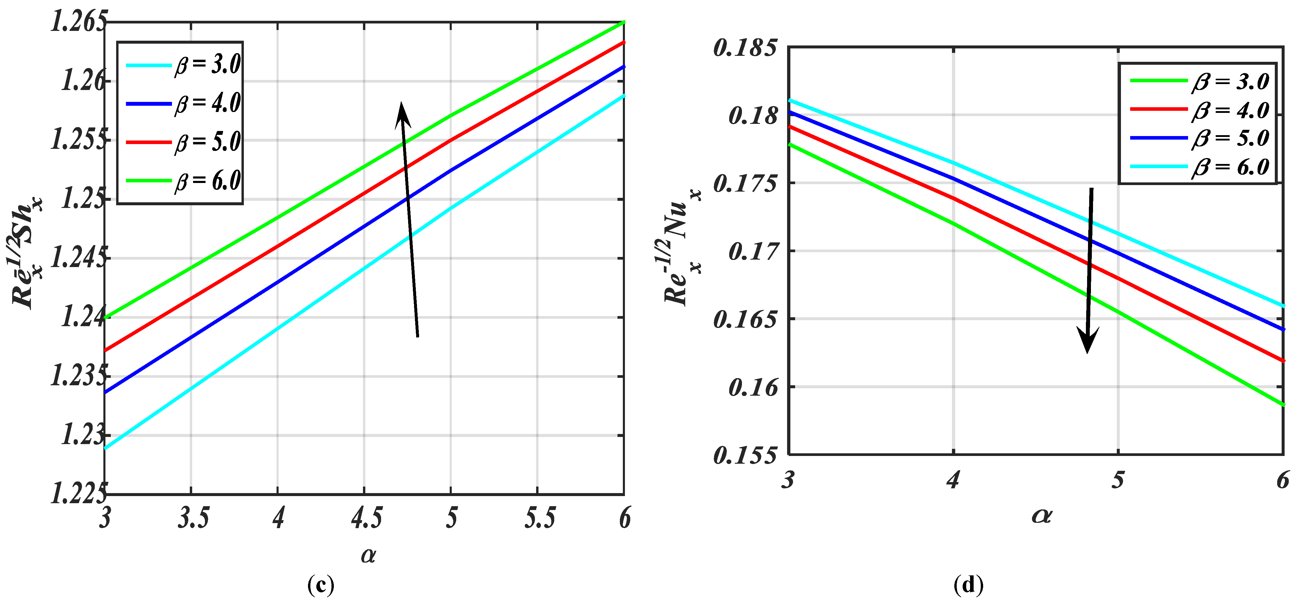
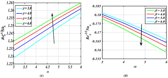
The influence of over and versus fluid parameter is portrayed via Figure 11a–d. Figure 11a,c show the increasing behavior of and with the greater values of . Figure 11b,d depict that and are the reducing function of .

Figure 11.
(a–d) Fluctuation in against for diverse values of .
Figure 12a–d show the influences of drag friction, heat, mass, and motile density with various values of .

Figure 12.
(a–d) Fluctuation in bar graphs for against .
It can be noted from these figures that and are accelerated while and are decelerated with the increasing values of .
In the end, the contour patterns for = 1.5 and are seen in Figure 13a,b. These figures present the stream pattern of the fluid flow at distinct values of parameters and . Figure 14 shows the comparisons of Khan et al. [5] and the current result.
Figure 13.
(a,b) Streamline pattern for the numerous values of (a) = 1.5 and (b) .
Figure 14.
Comparison of Khan and Pop [5] and current result.
6. Conclusions
In this work, we investigated the impact of nanoparticle buoyancy and activation energy on motile micro-organism flux in an MHD Prandtl fluid flow of nanofluid saturated with both small nanoparticles and gyrotactic microorganisms. The thermal conductivity, mass, and mobility microorganisms for Prandtl nanofluid flow were investigated. Nanoparticles and gyrotactic microorganisms were both part of the paradigm under consideration. Nanoparticles and buoyancy forces worked together to create bio-convective flow, which is used by microorganisms to stabilize nanoparticle suspension. We also took into account Brownian motion and thermophoretic mechanisms. The non-linear system of differential problems was obtained by invoking appropriately adapted transformations. A numerical method was employed to handle the resulting system. Below, we have outlined the most important aspects:
- Since the bio-convection slows down with higher Rayleigh numbers, the buoyancy effect of nanofluids is less, and nanoparticles cannot rise. Moreover, greater buoyancy is induced, which unquestionably opposes the fluid flow and impacts concentration. Both metrics indicate a significant decrease in flow activity.
- Prandtl fluid parameters have a noticeable impact on flow direction. Parameters of fluids have opposite effects on their viscosities. When the values of the fluid’s parameters are made greater, the fluid’s viscosity decreases, and the fluid is subsequently subject to less friction and other forms of resistance. Therefore, the fluid increases.
- For escalating values of and the fluid velocity rises while the field of temperature and nanoparticle concentration declines.
- A reduction in fluid velocity occurs in the presence of nanoparticles with an increase in magnetohydrodynamic, which can be useful for medical treatments such as magnetic therapy and surgeries.
- Prandtl number and Schmidt number both are the reducing functions of nanoparticle concentration and temperature profile, respectively.
- For growth in the magnetic parameter, there is much stronger resistive force in the fluid motion that generates more energy dissipation and ultimately enhances the temperature of the fluid.
- For increasing amounts of Brownian diffusion and thermophoretic parameter the field of temperature rises. Meanwhile, nanoparticle concentration rises because of greater and diminishes for greater .
- An increase in , and (bioconvection parameters) declines density profiles and improves the diffusion rate of microbes.
- The bioconvection with nanoparticle interaction can be used in thermal transpiration for engineering and industrial processes.
Author Contributions
Conceptualization, S.S.Z. and A.Z.; methodology, F.A.; software, M.F.; validation, A.A., A.M.A. and S.E.; formal analysis, M.I.K., S.E.; investigation, A.M.A., M.F.; resources, M.I.K.; data curation, S.S.Z., A.A.; writing—original draft preparation, F.A., S.S.Z.; writing—review and editing, A.A., M.I.K., S.E.; visualization, A.Z.; supervision, A.Z., F.A.; project administration, M.I.K.; funding acquisition, M.I.K. All authors have read and agreed to the published version of the manuscript.
Funding
The authors would like to thank the Deanship of Scientific Research at Umm Al-Qura University for supporting this work by Grant Code: 22UQU4400074DSR05. This study is supported via funding from Prince Satam bin Abdulaziz University project number (PSAU/2023/R/1444). Princess Nourah bint Abdulrahman University Researchers Supporting Project number (PNURSP2023R163), Princess Nourah bint Abdulrahman University, Riyadh, Saudi Arabia.
Institutional Review Board Statement
Not applicable.
Informed Consent Statement
Not applicable.
Data Availability Statement
All the data are available in the manuscript.
Conflicts of Interest
The authors declares no conflict of interest.
References
- Choi, S.U.S. Enhancing thermal conductivity of fluids with nanoparticles. ASME Public Fed. 1995, 231, 99–106. [Google Scholar]
- Buongiorno, J. Convective Transport in Nanofluids. J. Heat Transf. 2006, 128, 240–250. [Google Scholar] [CrossRef]
- Shehzad, N.; Zeeshan, A.; Ellahi, R.; Vafai, K. Convective heat transfer of nanofluid ina wavy channel: Buongiorno’s mathematical model. J. Mol. Liq. 2016, 222, 446–455. [Google Scholar] [CrossRef]
- Xu, H.; Fan, T.; Pop, I. Analysis of mixed convection flow of a nanofluid in a verticalchannel with the Buongiorno mathematical model. Int. Commun. Heat Mass Transf. 2013, 44, 15–22. [Google Scholar] [CrossRef]
- Khan, W.A.; Pop, I. Boundary-layer flow of a nanofluid past a stretching sheet. Int. J. Heat Mass Transf. 2010, 53, 2477–2483. [Google Scholar] [CrossRef]
- Aziz, A.; Khan, W.A. Natural convective boundary layer flow of a nanofluid pasta convectively heated vertical plate. Int. J. Therm. Sci. 2012, 52, 83–90. [Google Scholar] [CrossRef]
- Sheikholeslami, M.; Hatami, M.; Ganji, D.D. Nanofluid flow and heat transferin a rotating system in the presence of a magnetic field. J. Mol. Liq. 2014, 190, 112–120. [Google Scholar] [CrossRef]
- Afify, A.A.; Bazid, M.A.A. Effects of variable fluid properties on the natural convectiveboundary layer flow of a nanofluid past a vertical plate: Numerical study. J. Comp. Therm. Nanosci. 2014, 11, 210–218. [Google Scholar] [CrossRef]
- Lin, Y.; Zheng, L.; Zhang, X. Radiation effects on Marangoni convection flow andheat transfer in pseudo-plastic non-Newtonian nanofluids with variable thermal conductivity. Int. J. Heat Mass Transf. 2014, 77, 708–716. [Google Scholar] [CrossRef]
- Rashidi, M.; Ganesh, N.V.; Hakeem, A.A.; Ganga, B. Buoyancy effect on MHD flow of nanofluid over a stretching sheet in the presence of thermal radiation. J. Mol. Liq. 2014, 198, 234–238. [Google Scholar] [CrossRef]
- Hayat, T.; Ullah, I.; Muhammad, T.; Alsaedi, A. Magnetohydrodynamic (MHD) three-dimensional flow of second grade nanofluid by a convectively heated exponentially stretching surface. J. Mol. Liq. 2016, 220, 1004–1012. [Google Scholar] [CrossRef]
- Muhammad, N.; Nadeem, S. Ferrite nanoparticles Ni- ZnFe2O4, Mn- ZnFe2O4 and Fe2O4 in the flow of ferromagnetic nanofluid. Eur. Phys. J. Plus 2017, 132, 377. [Google Scholar] [CrossRef]
- Muhammad, N.; Nadeem, S.; Zaman, F.D. Transmission of thermal energy in a ferromagnetic nanofluid flow. Int. J. Mod. Phys. B 2022, 36, 32. [Google Scholar] [CrossRef]
- Chu, Y.-M.; Shankaralingappa, B.; Gireesha, B.; Alzahrani, F.; Khan, M.I.; Khan, S.U. RETRACTED: Combined impact of Cattaneo-Christov double diffusion and radiative heat flux on bio-convective flow of Maxwell liquid configured by a stretched nano-material surface. Appl. Math. Comput. 2021, 419, 126883. [Google Scholar] [CrossRef]
- Xiong, P.-Y.; Hamid, A.; Chu, Y.-M.; Khan, M.I.; Gowda, R.J.P.; Kumar, R.N.; Prasannakumara, B.C.; Qayyum, S. Dynamics of multiple solutions of Darcy–Forchheimer saturated flow of Cross nanofluid by a vertical thin needle point. Eur. Phys. J. Plus 2021, 136, 1–22. [Google Scholar] [CrossRef]
- Soomro, F.A.; Zaib, A.; Haq, R.U.; Sheikholeslami, M. Dual nature solution of water functionalized copper nanoparticles along a permeable shrinkingcylinder: FDM approach. Int. J. Heat Mass Transf. 2019, 192, 1242–1249. [Google Scholar] [CrossRef]
- Reddy, C.S.; Ali, F.; Ahmed, M.F.A.F. Aspects on unsteady for MHD flow of Cross nanofluid having gyrotactic motile microorganism due to convectively heated sheet. Int. J. Ambient. Energy 2021, 43, 6028–6040. [Google Scholar] [CrossRef]
- Ali, F.; Zaib, A. Unsteady flow of an Eyring-Powell nanofluid near stagnation point past a convectively heated stretching sheet. Arab. J. Basic Appl. Sci. 2019, 26, 215–224. [Google Scholar] [CrossRef]
- Ahmed, M.F.; Zaib, A.; Ali, F.; Bafakeeh, O.T.; Tag-ElDin, E.S.M.; Guedri, K.; Elattar, S.; Khan, M.I. Numerical Computation for Gyrotactic Microorganisms in MHD Radiative Eyring–Powell Nanomaterial Flow by a Static/Moving Wedge with Darcy–Forchheimer Relation. Micromachines 2022, 13, 1768. [Google Scholar] [CrossRef]
- Loganathan, K.; Alessa, N.; Jain, R.; Ali, F.; Zaib, A. Dynamics of Ree-Eyring nanofluid subject to free convection, bio-convection, heat source, and thermal radiation over a convectively heated Riga plate: Attributes of heat and mass transfer. Front. Phys. 2022, 10, 974562. [Google Scholar] [CrossRef]
- Akbar, N.S.; Maraj, E.; Noor, N.; Habib, M.B. Exact solutions of an unsteady thermal conductive pressure driven peristaltic transport with temperature-dependent nanofluid viscosity. Case Stud. Therm. Eng. 2022, 35, 102124. [Google Scholar] [CrossRef]
- Akram, J.; Akbar, N.S.; Tripathi, D. Entropy generation in electroosmotically aided peristaltic pumping of MoS2 Rabinowitsch nanofluid. Fluid Dyn. Res. 2022, 54, 015507. [Google Scholar] [CrossRef]
- Faizan, M.; Ali, F.; Loganathan, K.; Zaib, A.; Reddy, C.A.; Abdelsalam, S.I. Entropy Analysis of Sutterby Nanofluid Flow over a Riga Sheet with Gyrotactic Microorganisms and Cattaneo–Christov Double Diffusion. Mathematics 2022, 10, 3157. [Google Scholar] [CrossRef]
- Al-Farhany, K.; Al-Muhja, B.; Loganathan, K.; Periyasamy, U.; Ali, F.; Sarris, I.E. Analysis of Convection Phenomenon in Enclosure Utilizing Nanofluids with Baffle Effects. Energies 2022, 15, 6615. [Google Scholar] [CrossRef]
- Mustafa, M.; Abbasbandy, S.; Hina, S.; Hayat, T. Numerical investigation on mixed convective peristaltic flow of fourth grade fluid with Dufour and Soret effects. J. Taiwan Inst. Chem. Eng. 2014, 45, 308–316. [Google Scholar] [CrossRef]
- Mahmood, T.; Merkin, J.H. Mixed convection on a vertical circular cylinder. J. Appl. Math. Phys. 1988, 39, 186–203. [Google Scholar] [CrossRef]
- Ahmad, S.; Pop, I. Mixed convection boundary layer flow from a vertical flat plate embedded in a porous medium filled with nanofluids. Int. Commun. Heat Mass Transf. 2010, 37, 987–991. [Google Scholar] [CrossRef]
- Imtiaz, M.; Hayat, T.; Alsaedi, A. Mixed convection flow of Casson nanofluid over a stretching cylinder with convective boundary conditions. Adv. Powder Technol. 2016, 27, 2245–2256. [Google Scholar] [CrossRef]
- Zhao, T.; Khan, M.I.; Chu, Y. Artificial neural networking (ANN) analysis for heat and entropy generation in flow of non-Newtonian fluid between two rotating disks. Math. Methods Appl. Sci. 2021, 46, 3012–3030. [Google Scholar] [CrossRef]
- Nazeer, M.; Hussain, F.; Khan, M.I.; Rehman, A.U.; El-Zahar, E.R.; Chu, Y.-M.; Malik, M. RETRACTED: Theoretical study of MHD electro-osmotically flow of third-grade fluid in micro channel. Appl. Math. Comput. 2022, 420, 126868. [Google Scholar] [CrossRef]
- Nazeer, M.; Hussain, F.; Ahmad, M.O.; Saeed, S.; Khan, M.I.; Kadry, S.; Chu, Y.-M. Multi-phase flow of Jeffrey Fluid bounded within magnetized horizontal surface. Surf. Interfaces 2020, 22, 100846. [Google Scholar] [CrossRef]
- Nazeer, M.; Hussain, F.; Shahzad, Q.; Khan, M.I.; Kadry, S.; Chu, Y.-M. Perturbation solution of the multiphase flows of third grade dispersions suspended with Hafnium and crystal particles. Surf. Interfaces 2020, 22, 100803. [Google Scholar] [CrossRef]
- Akbar, N.S.; Nadeem, S.; Lee, C. Peristaltic flow of a Prandtl fluid model in an asymmetric channel. Int. J. Phys. Sci. 2012, 7, 687–695. [Google Scholar]
- Akbar, N.S.; Khan, Z.H.; Haq, R.U.; Nadeem, S. Dual solutions in MHD stagnation-pointflow of Prandtl fluid impinging on shrinking sheet. Appl. Math. Mech. 2014, 35, 813–820. [Google Scholar] [CrossRef]
- Hayat, T.; Zahir, H.; Tanveer, A.; Alsaedi, A. Influences of Hall current and chemical reaction in mixed convective peristaltic flow of Prandtl fluid. J. Magn. Magn. Mater. 2016, 407, 321–327. [Google Scholar] [CrossRef]
- Soomro, F.A.; Haq, R.U.; Khan, Z.H.; Zhang, Q. Passive control of nanoparticle due toconvective heat transfer of Prandtl fluid model at the stretching surface. Chin. J. Phys. 2017, 000, 1–8. [Google Scholar]
- Hayat, T.; Aslam, N.; Alsaedi, A.; Rafiq, M. Numerical analysis for endoscope and Soret and Dufour effects on peristalsis of Prandtl fluid. Results Phys. 2017, 7, 2855–2864. [Google Scholar] [CrossRef]
- Kumar, K.G.; Haq, R.U.; Rudraswamy, N.; Gireesha, B. Effects of mass transfer on MHD three dimensional flow of a Prandtl liquid over a flat plate in the presence of chemical reaction. Results Phys. 2017, 7, 3465–3471. [Google Scholar] [CrossRef]
- Sajid, T.; Sabir, Z.; Tanveer, S.; Arbi, A.; Altamirano, G.C. Upshot of radiative rotating Prandtl fluid flow over a slippery surface embedded with variable species diffusivity and multiple convective boundary conditions. Heat Transf. 2020, 50, 2874–2894. [Google Scholar] [CrossRef]
- Khan, I.; Hussain, A.; Malik, M.; Mukhtar, S. On magnetohydrodynamics Prandtl fluid flow in the presence of stratification and heat generation. Phys. A Stat. Mech. Its Appl. 2020, 540, 123008. [Google Scholar] [CrossRef]
- Bestman, Natural convection boundary layer with suction and mass transfer in a porous medium. Int. J. Eng. Res. 1990, 14, 389–396.
- Zaib, A.; Rashidi, M.M.; Chamkha, A.; Bhattacharyya, K. Numerical solution of second law analysis for MHD Casson nanofluid past a wedge with activation energy and binary chemical reaction. Int. J. Numer. Methods Heat Fluid Flow 2017, 27, 2816–2834. [Google Scholar] [CrossRef]
- Maleque, K.A. Effects of Binary Chemical Reaction and Activation Energy on MHD Boundary Layer Heat and Mass Transfer Flow with Viscous Dissipation and Heat Generation/Absorption. ISRN Thermodyn. 2013, 2013, 284637. [Google Scholar] [CrossRef]
- Maleque, K.A. Effects of exothermic/endothermic chemical reactions with Arrhenius activation energy on MHD free convection and mass transfer flow inpresence of thermal radiation. J. Thermodyn. 2013, 2013, 692516. [Google Scholar] [CrossRef]
- Chamkha, A.J.; Khaled, A.R.A. Hydromagnetic combinedheat and mass transfer by natural convection from a permeable surface embedded in a fluid satural porous medium. Int. J. Numer. Methods 2000, 10, 455–476. [Google Scholar]
- Waqas, H.; Khan, S.U.; Hassan, M.; Bhatti, M.; Imran, M. Analysis on the bioconvection flow of modified second-grade nanofluid containing gyrotactic microorganisms and nanoparticles. J. Mol. Liq. 2019, 291, 111231. [Google Scholar] [CrossRef]
- Shafique, Z.; Mustafa, M.; Mushtaq, A. Boundary layer flow of Maxwell fluid inrotating frame with binary chemical reaction and activation energy. Res. Phys. 2016, 6, 627–633. [Google Scholar]
- Khan, M.I.; Alzahrani, F.; Hobiny, A.; Ali, Z. Estimation of entropy generation in Carreau-Yasuda fluid flow using chemical reaction with activation energy. J. Mater. Res. Technol. 2020, 9, 9951–9964. [Google Scholar] [CrossRef]
- Muhammad, N.; Lashin, M.M.A.; Alkhatib, S. Simulation of turbulence flow in OpenFOAM using the large eddy simulation model. Proc. Inst. Mech. Eng. Part E J. Process. Mech. Eng. 2022, 236, 2252–2265. [Google Scholar] [CrossRef]
- Ahmed, N.; Muhammad, N.; Zaman, F.D. CFD-based simulation of heat transfer in a rectangular channel. Int. J. Mod. Phys. B 2022, 2350133. [Google Scholar] [CrossRef]
- Mahmood, T.; Zaman, F.D.; Muhammad, N. Mathematical analysis of heat and fluid flow in a square cavity. Int. J. Mod. Phys. B 2022, 37, 2350023. [Google Scholar] [CrossRef]
- Chu, Y.-M.; Khan, M.I.; Abbas, T.; Sidi, M.O.; Alharbi, K.A.M.; Alqsair, U.F.; Khan, S.U.; Malik, M. Radiative thermal analysis for four types of hybrid nanoparticles subject to non-uniform heat source: Keller box numerical approach. Case Stud. Therm. Eng. 2022, 40, 102474. [Google Scholar] [CrossRef]
- Liu, C.; Ying, P. Theoretical study of novel B–C–O compounds with non-diamond isoelectronic. Chin. Phys. B 2022, 31, 26201. [Google Scholar] [CrossRef]
- Bafakeeh, O.T.; Raza, A.; Khan, S.U.; Khan, M.I.; Nasr, A.; Ben Khedher, N.; Tag-Eldin, E.S.M. Physical Interpretation of Nanofluid (Copper Oxide and Silver) with Slip and Mixed Convection Effects: Applications of Fractional Derivatives. Appl. Sci. 2022, 12, 10860. [Google Scholar] [CrossRef]
- Zhang, C.; Khorshidi, H.; Najafi, E.; Ghasemi, M. Fresh, mechanical and microstructural properties of alkali-activated composites incorporating nanomaterials: A comprehensive review. J. Clean. Prod. 2023, 384, 135390. [Google Scholar] [CrossRef]
- Jahanshahi, H.; Yao, Q.; Khan, M.I.; Moroz, I. Unified neural output-constrained control for space manipulator using tan-type barrier Lyapunov function. Adv. Space Res. 2022, in press. [CrossRef]
- Fu, Q.; Luo, K.; Song, Y.; Zhang, M.; Zhang, S.; Zhan, J.; Duan, J.; Li, Y. Study of Sea Fog Environment Polarization Transmission Characteristics. Appl. Sci. 2022, 12, 8892. [Google Scholar] [CrossRef]
- Bafakeeh, O.T.; Raghunath, K.; Ali, F.; Khalid, M.; Tag-ElDin, E.S.M.; Oreijah, M.; Guedri, K.; Ben Khedher, N.; Khan, M.I. Hall Current and Soret Effects on Unsteady MHD Rotating Flow of Second-Grade Fluid through Porous Media under the Influences of Thermal Radiation and Chemical Reactions. Catalysts 2022, 12, 1233. [Google Scholar] [CrossRef]
- Zhao, G.; Shi, L.; Yang, G.; Zhuang, X.; Cheng, B. 3D fibrous aerogels from 1D polymer nanofibers for energy and environmental applications. J. Mater. Chem. A 2022, 11, 512–547. [Google Scholar] [CrossRef]
- Li, S.; Khan, M.I.; Alzahrani, F.; Eldin, S.M. Heat and mass transport analysis in radiative time dependent flow in the presence of Ohmic heating and chemical reaction, viscous dissipation: An entropy modeling. Case Stud. Therm. Eng. 2023, 42, 102722. [Google Scholar] [CrossRef]
- Liu, Y.; Xu, K.-D.; Li, J.; Guo, Y.-J.; Zhang, A.; Chen, Q. Millimeter-Wave E-Plane Waveguide Bandpass Filters Based on Spoof Surface Plasmon Polaritons. IEEE Trans. Microw. Theory Tech. 2022, 70, 4399–4409. [Google Scholar] [CrossRef]
- Li, S.; Puneeth, V.; Saeed, A.M.; Singhal, A.; Al-Yarimi, F.A.M.; Khan, M.I.; Eldin, S.M. Analysis of the Thomson and Troian velocity slip for the flow of ternary nanofluid past a stretching sheet. Sci. Rep. 2023, 13, 2340. [Google Scholar] [CrossRef] [PubMed]
- Xu, K.-D.; Guo, Y.-J.; Liu, Y.; Deng, X.; Chen, Q.; Ma, Z. 60-GHz Compact Dual-Mode On-Chip Bandpass Filter Using GaAs Technology. IEEE Electron. Device Lett. 2021, 42, 1120–1123. [Google Scholar] [CrossRef]
- Abbasi, A.; Farooq, W.; Tag-ElDin, E.S.M.; Khan, S.U.; Khan, M.I.; Guedri, K.; Elattar, S.; Waqas, M.; Galal, A.M. Heat Transport Exploration for Hybrid Nanoparticle (Cu, Fe3O4)-Based Blood Flow via Tapered Complex Wavy Curved Channel with Slip Features. Micromachines 2022, 13, 1415. [Google Scholar] [CrossRef]
Disclaimer/Publisher’s Note: The statements, opinions and data contained in all publications are solely those of the individual author(s) and contributor(s) and not of MDPI and/or the editor(s). MDPI and/or the editor(s) disclaim responsibility for any injury to people or property resulting from any ideas, methods, instructions or products referred to in the content. |
© 2023 by the authors. Licensee MDPI, Basel, Switzerland. This article is an open access article distributed under the terms and conditions of the Creative Commons Attribution (CC BY) license (https://creativecommons.org/licenses/by/4.0/).