Effects of Electronic Irradiation on the Characteristics of the Silicon Magnetic Sensitive Transistor
Abstract
:1. Introduction
2. Device and Experiment
2.1. Basic Structure
2.2. Working Principle of the SMST
2.3. Experiment Method
3. Results and Discussion
3.1. IC-VCE Characteristics of the SMST
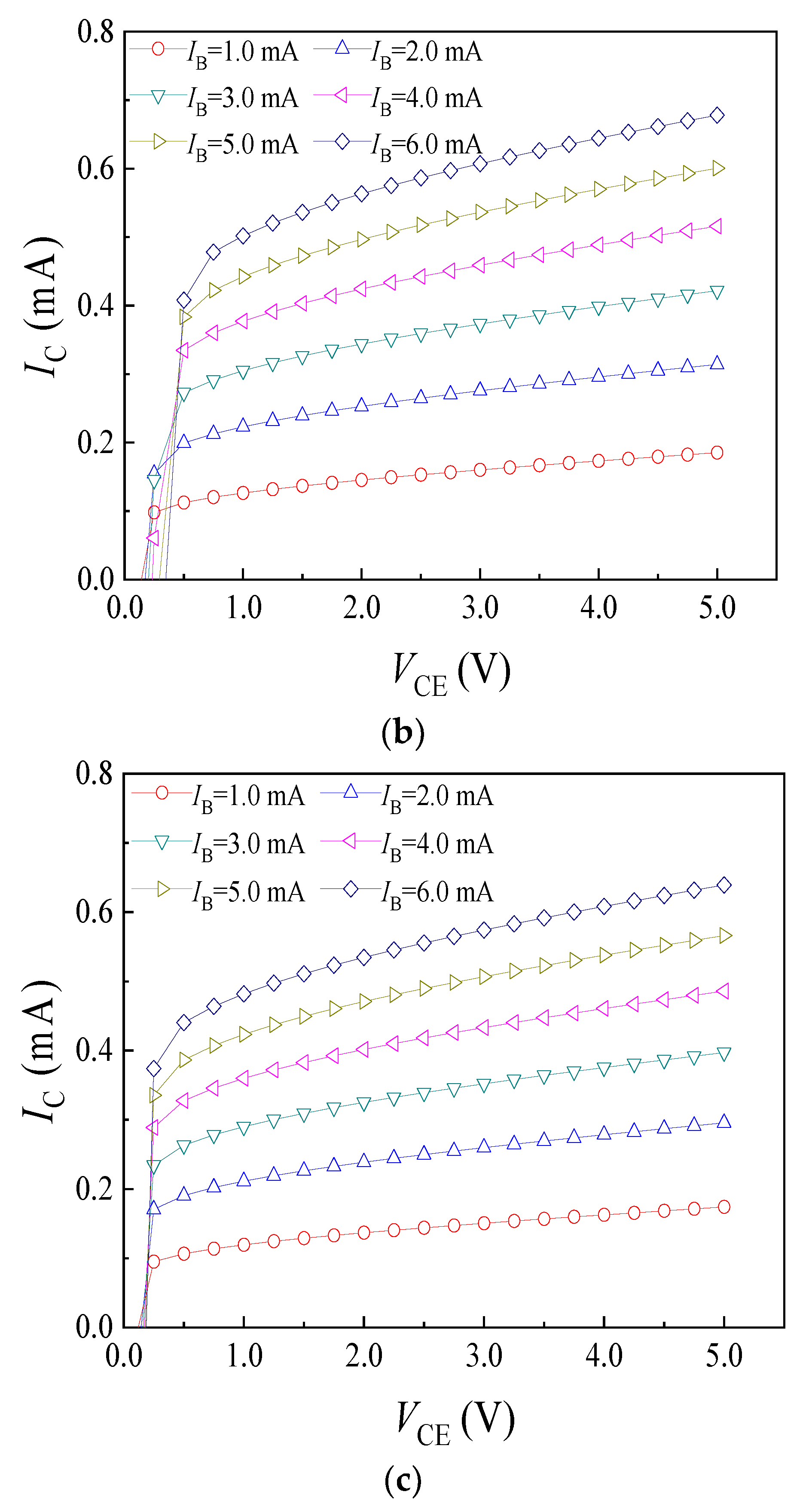
3.2. Effect of Electron Irradiation on IC-VCE Characteristics of the SMST
3.3. Effect of Electron Irradiation on Voltage Magnetic Sensitivity of the SMST
3.4. Discussion on Damage Mechanism
4. Conclusions
Author Contributions
Funding
Institutional Review Board Statement
Informed Consent Statement
Data Availability Statement
Acknowledgments
Conflicts of Interest
References
- Strangeway, R.J. Space Environment and Scientific Missions: Magnetic Fields in Space. IEEE Trans. Magn. 2009, 45, 4486–4492. [Google Scholar] [CrossRef]
- Acuna, M.H. Space-based magnetometers. Rev. Sci. Instrum. 2002, 73, 3717–3736. [Google Scholar] [CrossRef]
- Miles, D.M.; Bennest, J.R.; Mann, I.R.; Millling, D.K. A Radiation Hardened Digital Fluxgate Magnetometer for Space Applications. Geosci. Instrum. Methods Data Syst. 2013, 2, 213–224. [Google Scholar] [CrossRef]
- Persson, A.; Thornell, G.; Nguyen, H. Radiation Tolerance of a Spin-dependent Tunnelling Magnetometer for Space Applications. Meas. Sci. Technol. 2011, 22, 045204. [Google Scholar] [CrossRef]
- Grebenkina, A.V.; Boychenko, D.V.; Nikiforov, A.Y.; Telets, V.A.; Amelichev, V.V.; Kharitonov, V.A. Investigation of Dose Rate and TID Effects in Anisotropic Magneto Resistive Sensor. In Proceedings of the 2014 29th International Conference on Microelectronics—MIEL 2014, Belgrade, Serbia, 12–14 May 2014; pp. 133–135. [Google Scholar]
- Michelena, M.D.; Oelschlägel, W.; Arruego, I.; del Real, R.P.; Mateos, J.A.D.; Merayo, J.M. Magnetic Giant Magnetoresistance Commercial off the Shelf for Space Applications. J. Appl. Phys. 2008, 103, 07E912. [Google Scholar] [CrossRef]
- Abderrahmane, A.; Ko, P.J.; Okada, H.; Sato, S.-I.; Ohshima, T.; Shibasaki, I.; Sandhu, A. High Proton Radiation Tolerance of InAsSb Quantum-Well-Based micro-Hall Sensors. IEEE Electron Device Lett. 2014, 35, 1305–1307. [Google Scholar] [CrossRef]
- Fan, L.; Bi, J.; Xi, K.; Yan, G. Investigation of Radiation Effects on FD-SOI Hall Sensors by TCAD Simulations. Sensors 2020, 20, 3946. [Google Scholar] [CrossRef]
- Abderrahmane, A.; Koide, S.; Sato, S.-I.; Ohshima, T.; Sandhu, A.; Okada, H. Robust Hall Effect Magnetic Field Sensors for Operation at High Temperatures and in Harsh Radiation Environments. IEEE Trans. Magn. 2012, 48, 4421–4423. [Google Scholar] [CrossRef]
- Piet, A.; Bourdarie, S.; Boscher, D.; Friedel, R. A Model for the Geostationary Electron Environment: POLE, From 30 keV to 5.2 MeV. IEEE Trans. Nucl. Sci. 2006, 53, 1844–1850. [Google Scholar] [CrossRef]
- Campajola, L.; Di Capua, F. Applications of Accelerators and Radiation Sources in the Field of Space Research and Industry. Top. Curr. Chem. 2016, 374, 84. [Google Scholar] [CrossRef]
- Lawal, O.M.; Liu, S.; Li, Z.; Yang, J.; Hussain, A. Experimental Studies of Collector-emitter Voltage Bias Influence on the Total ionization Dose effects in NPN Si BJTs. Superlattices Microstruct. 2018, 122, 194–202. [Google Scholar] [CrossRef]
- Daly, E.; Lemaire, J.; Heynderickx, D.; Rodgers, D. Problems with Models of the Radiation Belts. IEEE Trans. Nucl. Sci. 1996, 43, 403–415. [Google Scholar] [CrossRef]
- Sanz, R.; Fernández, A.B.; Dominguez, J.A.; Martín, B.; Michelena, M.D. Gamma Irradiation of Magnetoresistive Sensors for Planetary Exploration. Sensors 2012, 12, 4447–4465. [Google Scholar] [CrossRef] [PubMed]
- Abderrahmane, A.; Koide, S.; Okada, H.; Takahashi, H.; Sato, S.; Ohshima, T.; Sandhu, A. Effect of Proton Irradiation on AlGaN/GaN Micro-Hall Sensors. Appl. Phys. Lett. 2013, 102, 193510. [Google Scholar] [CrossRef]
- Zhao, X.; Bai, Y.; Deng, Q.; Ai, C.; Yang, X.; Wen, D. Research of the Monolithic Integrated 3-D Magnetic Field Sensor Based on MEMS Technology. IEEE Sens. J. 2017, 17, 5849–5856. [Google Scholar] [CrossRef]
- Li, X.; Liu, C.; Rui, E.; Geng, H.; Yang, J. Simultaneous and Sequential Radiation Effects on NPN Transistors Induced by Protons and Electrons. IEEE Trans. Nucl. Sci. 2012, 59, 625–633. [Google Scholar] [CrossRef]
- Li, P.; He, C.; Guo, H.; Li, Y.; Wei, J. Synergistic Effects of Ionizing Dose and Displacement Damage on SiGe Heterojunction Bipolar Transistors. IEEE Trans. Nucl. Sci. 2022, 69, 1051–1056. [Google Scholar] [CrossRef]
- Liu, Z.; Sun, Y.; Wang, T.; Li, X.; Shi, Y. Characterizing and Modeling Current Gain Degradation in Bipolar Transistor Exposed to Heavy Ion Radiation. Mater. Sci. Semicond. Process. 2021, 121, 105336. [Google Scholar] [CrossRef]
- Yue, L.; Yang, S.; Liu, Y.; Zhang, Z.; Li, X.; He, Y.; Lei, Z.; Lu, Y.; En, Y. 170 keV Proton Radiation Effects on Low-frequency noise of Bipolar Junction Transistors. Radiat. Eff. Defects Solids 2017, 172, 313–322. [Google Scholar] [CrossRef]
- Danilchenko, B.; Budnyk, A.; Shpinar, L.; Poplavskyy, D.; Zelensky, S.; Barnham, K.; Ekins-Daukes, N. 1 MeV Electron Irradiation Influence on GaAs Solar Cell Performance. Sol. Energy Mater. Sol. Cells 2008, 92, 1336–1340. [Google Scholar] [CrossRef]
- Chandrasekaran, N.; Soga, T.; Inuzuka, Y.; Taguchi, H.; Jimbo, T.; Imaizumi, M. Effects of 1 MeV Electron Irradiation on the Schottky Diode Characteristics of n-GaAs/Si. Jpn. J. Appl. Phys. 2004, 43, 6900–6903. [Google Scholar] [CrossRef]
- Yang, X.; Zhao, X.; Bai, Y.; Lv, M.; Wen, D. Two-Dimensional Magnetic Field Sensor Based on Silicon Magnetic Sensitive Transistors with Differential Structure. Micromachines 2017, 8, 95. [Google Scholar] [CrossRef]
- Wen, D.; Zhao, X. Sensor Principle and Application; Science Press: Beijing, China, 2013. [Google Scholar]
- Early, J.M. Effects of Space-Charge Layer Widening in Junction Transistors. Proc. IRE 1952, 40, 1401–1406. [Google Scholar] [CrossRef]
- Webster, W.M. On the Variation of Junction-Transistor Current-Amplification Factor with Emitter Current. Proc. IRE 1954, 42, 914–920. [Google Scholar] [CrossRef]
- Srour, J.; Marshall, C.; Marshall, P. Review of Displacement Damage Effects in Silicon Devices. IEEE Trans. Nucl. Sci. 2003, 50, 653–670. [Google Scholar] [CrossRef]
- Yang, J.; Li, X.; Liu, C.; Fleetwood, D.M. The Effect of Ionization and Displacement Damage on Minority Carrier Lifetime. Microelectron. Reliab. 2018, 82, 124–129. [Google Scholar] [CrossRef]
- Li, X.; Yang, J.; Liu, C. Introduction to Hardening of Bipolar Devices for Resistance to Space Radiation; Harbin Institute of Technology Press: Harbin, China, 2019; pp. 195–240. [Google Scholar]
- Messenger, G.C. A Summary Review of Displacement Damage from High Energy Radiation in Silicon Semiconductors and Semiconductor Devices. IEEE Trans. Nucl. Sci. 1992, 39, 468–473. [Google Scholar] [CrossRef]






| Sample | Irradiated Fluences (e/cm2) | DIC (IB = 1.0 mA) | DIC (IB = 2.0 mA) | DIC (IB = 3.0 mA) | DIC (IB = 4.0 mA) | DIC (IB = 5.0 mA) | DIC (IB = 6.0 mA) |
|---|---|---|---|---|---|---|---|
| 1# | 1 × 1012 | 18.151% | 18.970% | 19.379% | 19.606% | 19.723% | 19.724% |
| 2# | 1 × 1013 | 70.505% | 71.313% | 71.663% | 71.879% | 72.032% | 72.158% |
| 3# | 1 × 1014 | 83.869% | 85.712% | 86.572% | 87.103% | 87.481% | 87.770% |
| Sample | Irradiated Fluences (e/cm2) | DSV |
|---|---|---|
| 1# | 1 × 1012 | 2.1% |
| 2# | 1 × 1013 | 6.8% |
| 3# | 1 × 1014 | 28.8% |
Disclaimer/Publisher’s Note: The statements, opinions and data contained in all publications are solely those of the individual author(s) and contributor(s) and not of MDPI and/or the editor(s). MDPI and/or the editor(s) disclaim responsibility for any injury to people or property resulting from any ideas, methods, instructions or products referred to in the content. |
© 2023 by the authors. Licensee MDPI, Basel, Switzerland. This article is an open access article distributed under the terms and conditions of the Creative Commons Attribution (CC BY) license (https://creativecommons.org/licenses/by/4.0/).
Share and Cite
Yu, Z.; Zhao, X.; Liu, W.; Li, S.; Yang, Z.; Wen, D.; Zhang, H. Effects of Electronic Irradiation on the Characteristics of the Silicon Magnetic Sensitive Transistor. Micromachines 2023, 14, 430. https://doi.org/10.3390/mi14020430
Yu Z, Zhao X, Liu W, Li S, Yang Z, Wen D, Zhang H. Effects of Electronic Irradiation on the Characteristics of the Silicon Magnetic Sensitive Transistor. Micromachines. 2023; 14(2):430. https://doi.org/10.3390/mi14020430
Chicago/Turabian StyleYu, Zhipeng, Xiaofeng Zhao, Weiwei Liu, Susu Li, Zijiang Yang, Dianzhong Wen, and Hongquan Zhang. 2023. "Effects of Electronic Irradiation on the Characteristics of the Silicon Magnetic Sensitive Transistor" Micromachines 14, no. 2: 430. https://doi.org/10.3390/mi14020430
APA StyleYu, Z., Zhao, X., Liu, W., Li, S., Yang, Z., Wen, D., & Zhang, H. (2023). Effects of Electronic Irradiation on the Characteristics of the Silicon Magnetic Sensitive Transistor. Micromachines, 14(2), 430. https://doi.org/10.3390/mi14020430
