Computational Analysis of Darcy–Forchheimer Flow of Cu/Al–Al2O3 Hybrid Nanofluid in Water over a Heated Stretchable Plate with Nonlinear Radiation
Abstract
1. Introduction
- To deliberate the implications of the model’s design on the HNF flow through the stretchable plate.
- How does the usage of HNF lead to affect the velocity and temperature of the fluid?
- How is the HNF temperature impacted by heat generation/absorption and non- linear radiation?
- How is the heat transfer mechanism improved when convective heating conditions are present?
2. Mathematical Formulation
3. Numerical Solutions
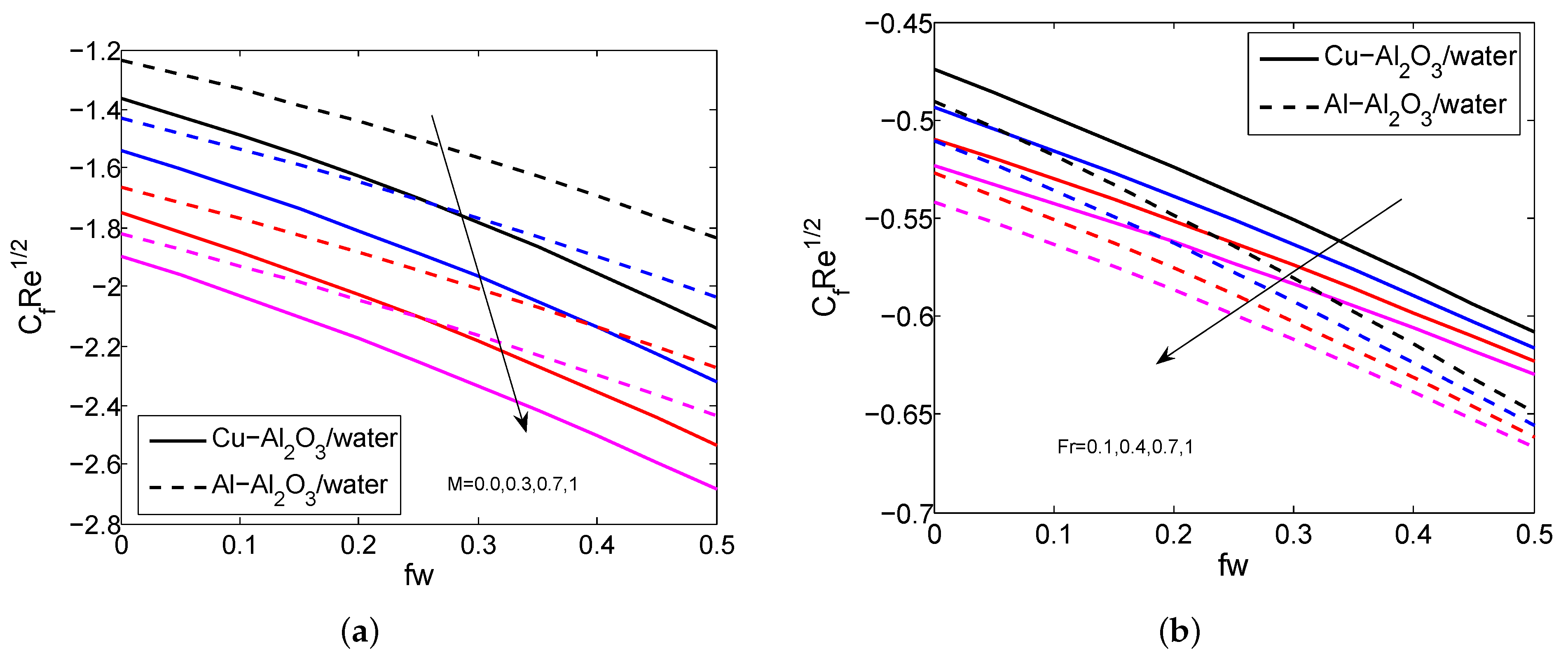
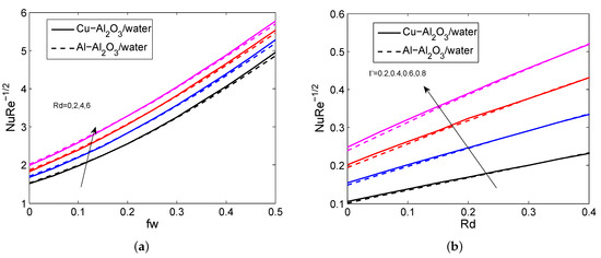
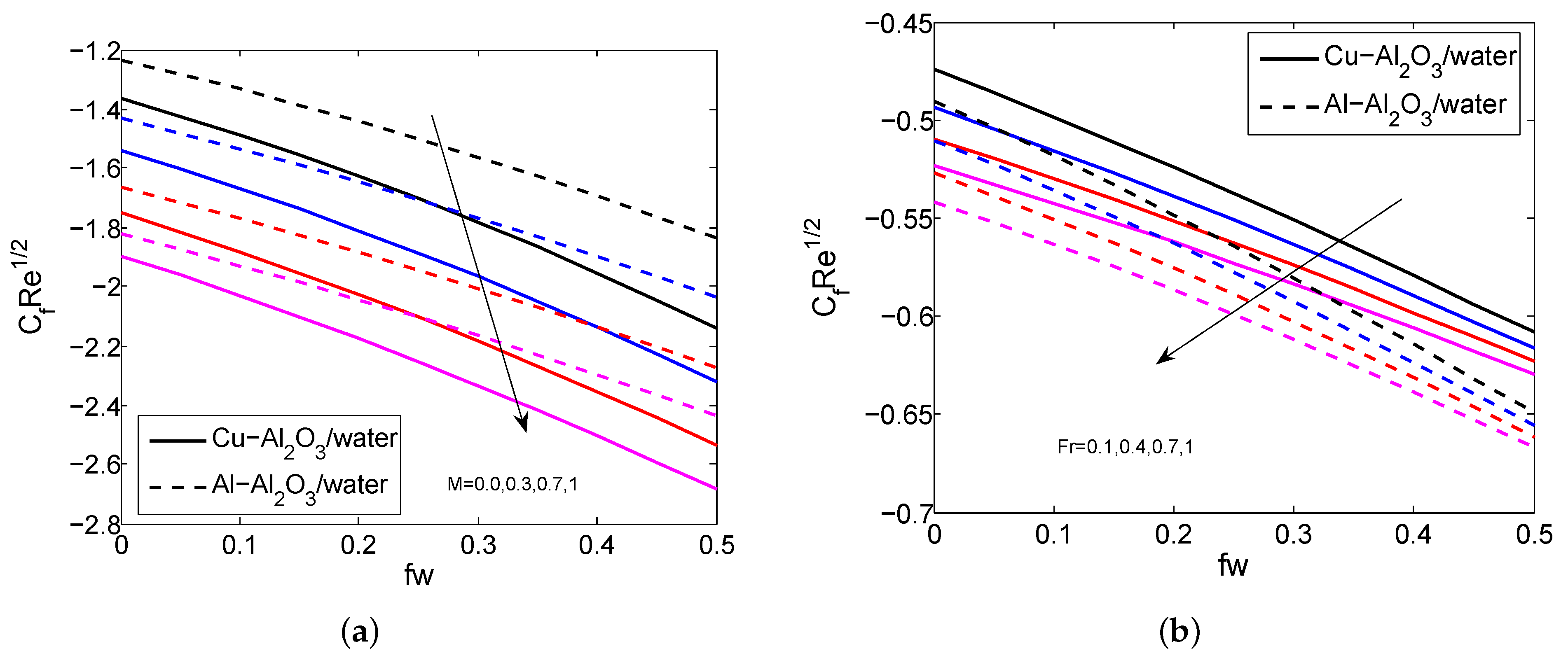
4. Results and Discussion
5. Conclusions
- The hybrid nanofluid velocity profile decrepitude’s for larger quantity of (Forchheirmer), M (magnetic field parameter) and (suction/injection parameter).
- The larger values of (radiation parameter) improve the hybrid nanofluid fluid temperature.
- The hybrid nanofluid has a larger heat transfer rate than the ordinary fluid.
- The more presence (Forchheirmer number), M (magnetic field parameter) and (suction/injection parameter) causes to reduce the skin friction coefficient.
- The (radiation parameter) and (temperature ratio parameter) lead to enriching the heat transfer rate.
- The hybrid nanofluid have higher heat transfer rate than the hybrid nanofluid.
Author Contributions
Funding
Data Availability Statement
Acknowledgments
Conflicts of Interest
Nomenclature
| (m) | |
| (W m K) | |
| (K) | |
| (m s) | |
| T | (K) |
| (K) | |
Abbreviations
References
- Huminic, G.; Huminic, A. Hybrid nanofluids for heat transfer applications-A state-of-the-art review. Int. J. Heat Mass Transf. 2018, 125, 82–103. [Google Scholar] [CrossRef]
- Zhang, L.; Tian, L.; Jing, Y.; Qu, P.; Zhang, A. Molecular dynamics study on the mechanism of nanofluid coolant’s thermal conductivity improvement. J. Mol. Liq. 2022, 345, 118228. [Google Scholar] [CrossRef]
- Zhang, L.; Qu, P.; Jing, Y.; Yao, X.; Wang, W.; Shi, C. Mechanism analysis of the influence of nanoparticles on the convective heat transfer coefficient of traditional fluids. Mater. Today Commun. 2022, 32, 104091. [Google Scholar] [CrossRef]
- Ikram, M.D.; Asjad, M.I.; Akgul, A.; Baleanu, D. Effects of hybrid nanofluid on novel frictional model of heat transfer flow between two parallel plates. Alex. Eng. J. 2021, 60, 3593–3604. [Google Scholar] [CrossRef]
- Jawad, M.; Khan, Z.; Bonyah, E.; Jan, R. Analysis of hybrid nanofluid stagnation point flow over a stretching surface with melting heat transfer. Math. Probl. Eng. 2022, 2022, 12. [Google Scholar] [CrossRef]
- Devi, S.A.; Devi, S.S.U. Numerical investigation of hydromagnetic hybrid Cu-Al2O3/water nanofluid flow over a permeable stretching sheet with suction. Int. J. Nonlinear Sci. Numer. Simul. 2016, 17, 249–257. [Google Scholar] [CrossRef]
- Shanmugapriya, M.; Sundareswaran, R.; Senthil Kumar, P. Heat and mass transfer enhancement of MHD hybrid nanofluid flow in the presence of activation energy. Int. J. Chem. Eng. 2021, 2021, 12. [Google Scholar] [CrossRef]
- Nayak, M.K.; Mahanta, G.; Das, M.; Shaw, S. Entropy analysis of a 3D nonlinear radiative hybrid nanofluid flow between two parallel stretching permeable sheets with slip velocities. Int. J. Ambient. Energy 2022, 43, 8710–8721. [Google Scholar] [CrossRef]
- Wahid, N.S.; Arifin, N.M.; Khashiie, N.S.; Yahaya, R.I.; Pop, I.; Bachok, N.; Hafidzuddin, M.E.H. Three-dimensional radiative flow of hybrid nanofluid past a shrinking plate with suction. J. Adv. Res. Fluid Mech. Therm. Sci. 2021, 85, 54–70. [Google Scholar] [CrossRef]
- Venkateswarlu, B.; Satya Narayana, P.V. Cu-Al2O3/H2O hybrid nanofluid flow past a porous stretching sheet due to temperatue-dependent viscosity and viscous dissipation. J. Heat Transf. 2021, 50, 432–449. [Google Scholar] [CrossRef]
- Forchheimer, P. Wasserbewegung durch boden. Z. Ver. D. Ing. 1901, 45, 1782–1788. [Google Scholar]
- Haider, F.; Hayat, T.; Alsaedi, A. Flow of hybrid nanofluid through Darcy-Forchheirmer porous space with variable characteristics. Alex. Eng. J. 2021, 60, 3047–3056. [Google Scholar] [CrossRef]
- Khan, M.I.; Qayyum, S.; Shah, F.; Kumar, R.N.; Gowda, R.P.; Prasannakumara, B.C.; Chu, Y.M.; Kadry, S. Marangoni convective flow of hybrid nanofluid (MnZnFe2O4-NiZnFe2O4-H2O) with Darcy-Forchheirmer medium. Ain Shams Eng. J. 2021, 12, 3931–3938. [Google Scholar] [CrossRef]
- Gul, T.; Rahman, J.U.; Bilal, M.; Saeed, A.; Alghamdi, W.; Mukhtar, S.; Alrabaiah, H.; Bonyah, E. Viscous dissipated hybrid nanoliquid flow with Darcy-Forchheirmer and forced convection over a moving thin needle. AIP Adv. 2020, 10, 105308. [Google Scholar] [CrossRef]
- Alshehri, A.; Shah, Z. Computational analysis of viscous dissipation and Darcy-Forchhemier porous medium on radioactive hybrid nanofluid. Case Stud. Therm. Eng. 2022, 30, 101728. [Google Scholar] [CrossRef]
- Alzahrani, A.K.; Ullah, M.Z.; Alshomrani, A.S.; Gul, T. Hybrid nanofluid flow in a Darcy-Forchheirmer permeable medium over a flat plate due to solar radiation. Case Stud. Therm. Eng. 2021, 26, 100955. [Google Scholar] [CrossRef]
- Sajid, T.; Sagheer, M.; Hussain, S.; Bilal, M. Darcy-Forchheirmer flow of Maxwell nanofluid flow with nonlinear thermal radiation and activation energy. AIP Adv. 2018, 8, 035102. [Google Scholar] [CrossRef]
- Eswaramoorthi, S.; Loganathan, K.; Faisal, M.; Botmart, T.; Shah, N.A. Analytical and numerical investigation of Darcy-Forchheimer flow of a nonlinear-radiative non-Newtonian fluid over a Riga plate with entropy optimization. Ain Shams Eng. J. 2022, 14, 101887. [Google Scholar] [CrossRef]
- Masood, S.; Farooq, M.; Anjum, A. Influence of heat generation/absorption and stagnation point on polystyrene-TiO2/H2O hybrid nanofluid flow. Sci. Rep. 2021, 11, 1–14. [Google Scholar] [CrossRef]
- Zainal, N.A.; Nazar, R.; Naganthran, K.; Pop, I. Heat generation/absorption effect on MHD flow of hybrid nanofluid over bidirectional exponential stretching/shrinking sheet. Chin. J. Phys. 2021, 69, 118–133. [Google Scholar] [CrossRef]
- Nuwairan, M.A.; Hafeez, A.; Khalid, A.; Aldhafeeri, A. Multiple solutions of melting heat transfer of MHD hybrid based nanofluid flow influenced by heat generation/absorption. Case Stud. Therm. Eng. 2022, 35, 101988. [Google Scholar] [CrossRef]
- Hayat, T.; Nadeem, S.; Khan, A.U. Numerical analysis of Ag-CuO/water rotating hybrid nanofluid with heat generation and absorption. Can. J. Phys. 2019, 97, 644–650. [Google Scholar] [CrossRef]
- Chalavadi, S.; Madde, P.; Naramgari, S.; Gangadhar Poojari, A. Effect of variable heat generation/absorption on magnetohydrodynamic Sakiadis flow of Casson/Carreau hybrid nanoliquid due to a persistently moving needle. J. Heat Transf. 2021, 50, 8354–8377. [Google Scholar] [CrossRef]
- Qayyum, S.; Hayat, T.; Alsaedi, A. Chemical reaction and heat generation/absorption aspects in MHD nonlinear convective flow of third grade nanofluid over a nonlinear stretching sheet with variable thickness. Results Phys. 2017, 7, 2752–2761. [Google Scholar] [CrossRef]
- Yaseen, M.; Rawat, S.K.; Shafiq, A.; Kumar, M.; Nonlaopon, K. Analysis of heat transfer of mono and hybrid nanofluid flow between two parallel plates in a Darcy porous medium with thermal radiation and heat generation/absorption. Symmetry 2022, 14, 1943. [Google Scholar] [CrossRef]
- Zaki, A.M.M.; Mohammad, N.F.; Soid, S.K.; Mohamed, M.K.A.; Jusoh, R. Effects of heat generation/absorption on a stagnation point flow past a stretching sheet carbon nanotube water-based hybrid nanofluid with Newtonian heating. Malays. J. Sci. 2021, 6, 34–47. [Google Scholar]
- Mishra, A.; Pandey, A.K.; Chamkha, A.J.; Kumar, M. Roles of nanoparticles and heat generation/absorption on MHD flow of Ag-H2O nanofluid via porous stretching/shrinking convergent/divergent channel. J. Egypt. Math. Soc. 2020, 28, 1–18. [Google Scholar] [CrossRef]
- Zainal, N.A.; Naganthran, K.; Nazar, R. Unsteady MHD rear stagnation-point flow of a hybrid nanofluid with heat generation/absorption Effect. J. Adv. Res. Fluid Mech. Therm. Sci. 2021, 87, 41–51. [Google Scholar] [CrossRef]
- Prabakaran, R.; Eswaramoorthi, S.; Loganathan, K.; Sarris, I.E. Investigation on thermally radiative mixed convective flow of Carbon nanotubes/Al2O3 nanofluid in water past a stretching plate with Joule heating and viscous dissipation. Micromachines 2022, 13, 1424. [Google Scholar] [CrossRef] [PubMed]
- Yusuf, T.A.; Mabood, F.; Khan, W.A.; Gbadeyan, J.A. Irreversibility analysis of Cu-TiO2-H2O hybrid-nanofluid impinging on a 3D stretching sheet in a porous medium with nonlinear radiation: Darcy-Forchhiemer’s model. Alex. Eng. J. 2020, 59, 5247–5261. [Google Scholar] [CrossRef]
- Mustafa, M.; Mushtaq, A.; Hayat, T.; Ahmad, B. Nonlinear radiation heat transfer effects in the natural convective boundary layer flow of nanofluid past a vertical plate: A numerical study. PLoS ONE 2014, 9, 103946. [Google Scholar] [CrossRef] [PubMed]
- Mabood, F.; Ashwinkumar, G.P.; Sandeep, N. Effect of nonlinear radiation on 3D unsteady MHD stagnancy flow of Fe3O4/graphene-water hybrid nanofluid. Int. J. Ambient Energy 2022, 43, 3385–3395. [Google Scholar] [CrossRef]
- Kumar, K.G.; Rudraswamy, N.G.; Gireesha, B.J.; Manjunatha, S. Non linear thermal radiation effect on Williamson fluid with particle-liquid suspension past a stretching surface. Results Phys. 2017, 7, 3196–3202. [Google Scholar] [CrossRef]
- Qayyum, S.; Khan, M.I.; Hayat, T.; Alsaedi, A. A framework for nonlinear thermal radiation and homogeneous-heterogeneous reactions flow based on silver-water and copper-water nanoparticles: A numerical model for probable error. Results Phys. 2017, 7, 1907–1914. [Google Scholar] [CrossRef]
- Patel, H.R.; Singh, R. Thermophoresis Brownian motion and non-linear thermal radiation effects on mixed convection MHD micropolar fluid flow due to nonlinear stretched sheet in porous medium with viscous dissipation, joule heating and convective boundary condition. Int. Commun. Heat Mass Transf. 2019, 107, 68–92. [Google Scholar] [CrossRef]
- Lu, D.; Ramzan, M.; Chung, J.D.; Farooq, U. Nonlinear radiation effect on MHD Carreau nanofluid flow over a radially stretching surface with zero mass flux at the surface. Sci. Rep. 2018, 8, 1–17. [Google Scholar] [CrossRef]
- Danish, G.A.; Imran, M.; Tahir, M.; Waqas, H.; Asjad, M.I.; Akgul, A.; Baleanu, D. Effects of non-linear thermal radiation and chemical reaction on time-dependent flow of Williamson nanofluid with combine electrical MHD and activation energy. J. Appl. Comput. Mech. 2021, 7, 546–558. [Google Scholar]
- Abbas, N.; Shatanawi, W.; Abodayeh, K. Computational analysis of MHD nonlinear radiation casson hybrid nanofluid flow at vertical stretching sheet. Symmetry 2022, 14, 1494. [Google Scholar] [CrossRef]
- Eswaramoorthi, S.; Loganathan, K.; Jain, R.; Gyeltshen, S. Darcy-Forchheimer 3D flow of glycerin-based carbon nanotubes on a Riga plate with nonlinear thermal radiation and Cattaneo-Christov heat flux. J. Nanomater. 2022, 2022, 5286921. [Google Scholar] [CrossRef]
- Prabakaran, R.; Eswaramoorthi, S.; Loganathan, K.; Sonam Gyeltshen. Thermal radiation and viscous dissipation impacts of water and kerosene-based carbon nanotubes over a heated Riga sheet. J. Nanomater. 2022, 2022, 1865763. [Google Scholar] [CrossRef]








| Physical Properties | Fluid Phase | Copper | Aluminum | Aluminum Oxide |
|---|---|---|---|---|
| (kg/m) | 997.1 | 8933 | 2719 | 3970 |
| (J/kgK) | 4179 | 385 | 903 | 765 |
| k (W/mk) | 0.613 | 400 | 237 | 40 |
| Properties | Hybrid Nanofuid |
|---|---|
| SFC | |||||||
|---|---|---|---|---|---|---|---|
| 0 | |||||||
| 0 | |||||||
| 1 | |||||||
| 2 | |||||||
| 0 | |||||||
| LNN | |||||||
|---|---|---|---|---|---|---|---|
| 1 | |||||||
| 0 | |||||||
| 2 | |||||||
| 4 | |||||||
| 6 | |||||||
| 8 | |||||||
| 0 | |||||||
| 0 | |||||||
| 1 | |||||||
| 2 | |||||||
| 0 | |||||||
Disclaimer/Publisher’s Note: The statements, opinions and data contained in all publications are solely those of the individual author(s) and contributor(s) and not of MDPI and/or the editor(s). MDPI and/or the editor(s) disclaim responsibility for any injury to people or property resulting from any ideas, methods, instructions or products referred to in the content. |
© 2023 by the authors. Licensee MDPI, Basel, Switzerland. This article is an open access article distributed under the terms and conditions of the Creative Commons Attribution (CC BY) license (https://creativecommons.org/licenses/by/4.0/).
Share and Cite
Alessa, N.; Sindhu, R.; Divya, S.; Eswaramoorthi, S.; Loganathan, K.; Prasad, K.S. Computational Analysis of Darcy–Forchheimer Flow of Cu/Al–Al2O3 Hybrid Nanofluid in Water over a Heated Stretchable Plate with Nonlinear Radiation. Micromachines 2023, 14, 338. https://doi.org/10.3390/mi14020338
Alessa N, Sindhu R, Divya S, Eswaramoorthi S, Loganathan K, Prasad KS. Computational Analysis of Darcy–Forchheimer Flow of Cu/Al–Al2O3 Hybrid Nanofluid in Water over a Heated Stretchable Plate with Nonlinear Radiation. Micromachines. 2023; 14(2):338. https://doi.org/10.3390/mi14020338
Chicago/Turabian StyleAlessa, Nazek, R. Sindhu, S. Divya, S. Eswaramoorthi, Karuppusamy Loganathan, and Kashi Sai Prasad. 2023. "Computational Analysis of Darcy–Forchheimer Flow of Cu/Al–Al2O3 Hybrid Nanofluid in Water over a Heated Stretchable Plate with Nonlinear Radiation" Micromachines 14, no. 2: 338. https://doi.org/10.3390/mi14020338
APA StyleAlessa, N., Sindhu, R., Divya, S., Eswaramoorthi, S., Loganathan, K., & Prasad, K. S. (2023). Computational Analysis of Darcy–Forchheimer Flow of Cu/Al–Al2O3 Hybrid Nanofluid in Water over a Heated Stretchable Plate with Nonlinear Radiation. Micromachines, 14(2), 338. https://doi.org/10.3390/mi14020338

