Comprehensive Comparison of MOCVD- and LPCVD-SiNx Surface Passivation for AlGaN/GaN HEMTs for 5G RF Applications
Abstract
:1. Introduction
2. Device Structure and Fabrication
3. Results and Discussion
- A.
- The Epitaxial Growth of Device
- B.
- Formation Mechanism of Ohmic Contact
- C.
- Ohmic Contact Resistance and DC I-V Characteristics
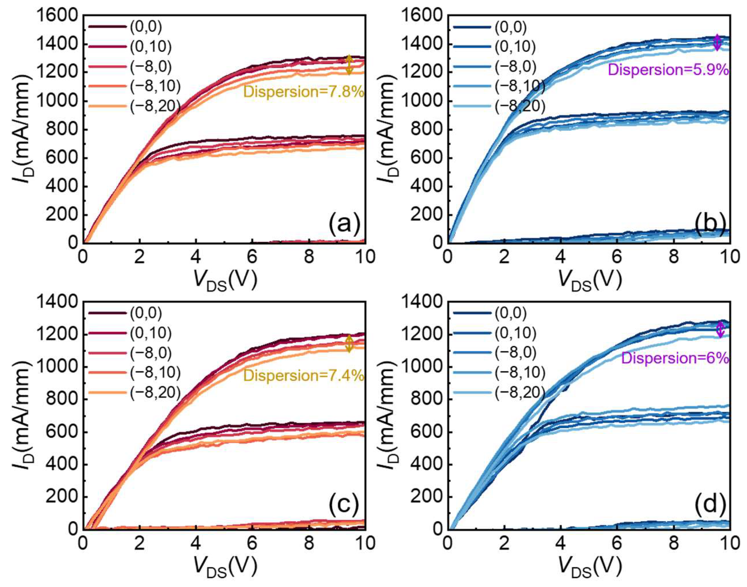
- D.
- Pulsed I-V Characteristics
- E.
- Small- and Large Signal Power Characteristic
4. Conclusions
Author Contributions
Funding
Conflicts of Interest
References
- Hao, Y.; Ma, X.; Mi, M.; Yang, L. Research on GaN-Based RF Devices: High-Frequency Gate Structure Design, Submicrometer-Length Gate Fabrication, Suppressed SCE, Low Parasitic Resistance, Minimized Current Collapse, and Lower Gate Leakage. IEEE Microw. Mag. 2021, 22, 34. [Google Scholar] [CrossRef]
- Mishra, U.K.; Parikh, P.; Wu, Y.F. AlGaN/GaN HEMTs—An Overview of Device Operation and Applications. Proc. IEEE 2002, 90, 1022. [Google Scholar] [CrossRef]
- Lu, H.; Hou, B.; Yang, L.; Zhang, M.; Deng, L.; Wu, M.; Si, Z.; Hunag, S.; Ma, X.; Hao, Y. High RF performance GaN-on-Si HEMTs with passivation implanted termination. IEEE Electron Device Lett. 2022, 43, 188. [Google Scholar] [CrossRef]
- Wu, M.; Zhang, M.; Yang, L.; Hou, B.; Yu, Q.; Li, S.; Shi, C.; Zhao, W.; Lu, H.; Chen, W.; et al. First Demonstration of State-of-the-art GaN HEMTs for Power and RF Applications on A Unified Platform with Free-standing GaN Substrate and Fe/C Co-doped Buffer. In Proceedings of the 2022 International Electron Devices Meeting (IEDM), San Francisco, CA, USA, 3–7 December 2022; pp. 11.3.1–11.3.4. [Google Scholar]
- Wang, Z.; Zhang, Z.; Wang, S.; Chen, C.; Wang, Z.; Yao, Y. Design and optimization on a novel high-performance ultra-thin barrier AlGaN/GaN power HEMT with local charge compensation trench. Appl. Sci. 2019, 9, 3054. [Google Scholar] [CrossRef]
- Wang, Z.; Yang, D.; Cao, J.; Wang, F.; Yao, Y. A novel technology for turn-on voltage reduction of high-performance lateral heterojunction diode with source-gate shorted anode. Superlattices Microstruct. 2019, 125, 144. [Google Scholar] [CrossRef]
- Chen, K.J.; Häberlen, O.; Lidow, A.; lin Tsai, C.; Ueda, T.; Uemoto, Y.; Wu, Y. GaN-on-Si power technology: Devices and applications. IEEE Trans. Electron Devices 2017, 64, 779–795. [Google Scholar] [CrossRef]
- Mitrofanov, O.; Manfra, M. Mechanisms of gate lag in GaN/AlGaN/GaN high electron mobility transistors. Superlattices Microstruct. 2003, 34, 33. [Google Scholar] [CrossRef]
- Makiyama, K.; Ohki, T.; Okamoto, N.; Kanamura, M.; Masuda, S.; Nakasha, Y.; Joshin, K.; Imanishi, K.; Hara, N.; Ozaki, S.; et al. High-power GaN-HEMT with low current collapse for millimeter-wave amplifier. Phys. Status Solidi C 2011, 8, 2442. [Google Scholar] [CrossRef]
- Huang, S.; Jiang, Q.; Yang, S.; Zhou, C.; Chen, K.J. Effective passivation of AlGaN/GaN HEMTs by ALD-grown AlN thin film. IEEE Electron Device Lett. 2012, 33, 516. [Google Scholar] [CrossRef]
- Hashizume, T.; Hasegawa, H. Effects of nitrogen deficiency on electronic properties of AlGaN surfaces subjected to thermal and plasma processes. Appl. Surf. Sci. 2004, 234, 387. [Google Scholar] [CrossRef]
- Chen, J.; Qin, J.; Xiao, W.; Wang, H. Effective Suppression of Current Collapse in AlGaN/GaN HEMT With N2O Plasma Treatment Followed by High Temperature Annealing in N 2 Ambience. IEEE J. Electron Devices Soc. 2022, 10, 356. [Google Scholar] [CrossRef]
- Weimann, N.G.; Manfra, M.J.; Wachtler, T. Unpassivated AlGaN-GaN HEMTs with minimal RF dispersion grown by plasma-assisted MBE on semi-insulating 6H-SiC substrates. IEEE Electron Device Lett. 2003, 24, 57. [Google Scholar] [CrossRef]
- Ohno, Y.; Nakao, T.; Kishimoto, S.; Maezawa, K.; Mizutani, T. Effects of surface passivation on breakdown of AlGaN/GaN high-electron-mobility transistors. Appl. Phys. Lett. 2004, 84, 2184. [Google Scholar] [CrossRef]
- Zhang, Y.; Huang, S.; Wei, K.; Zhang, S.; Wang, X.; Zheng, Y.; Liu, G.; Chen, X.; Li, Y.; Liu, X. Millimeter-wave AlGaN/GaN HEMTs with 43.6% power-added-efficiency at 40 GHz fabricated by atomic layer etching gate recess. IEEE Electron Device Lett. 2020, 41, 701. [Google Scholar] [CrossRef]
- Pei, Y.; Rajan, S.; Higashiwaki, M.; Chen, Z.; DenBaars, S.P.; Mishra, U.K. Effect of dielectric thickness on power performance of AlGaN/GaN HEMTs. IEEE Electron Device Lett. 2009, 30, 313. [Google Scholar] [CrossRef]
- Moon, S.W.; Lee, J.; Seo, D.; Jung, S.; Choi, H.G.; Shim, H.; Yim, J.S.; Twynam, J.; Roh, S.D. High-voltage GaN-on-Si hetero-junction FETs with reduced leakage and current collapse effects using SiNx surface passivation layer deposited by low pressure CVD. Jpn. J. Appl. Phys. 2014, 53, 08NH02. [Google Scholar] [CrossRef]
- Wang, X.; Huang, S.; Zheng, Y.; Wei, K.; Chen, X.; Liu, G.; Yuan, T.; Luo, W.; Pang, L.; Jiang, H. Robust SiN x/AlGaN interface in GaN HEMTs passivated by thick LPCVD-grown SiN x layer. IEEE Electron Device Lett. 2015, 36, 666. [Google Scholar] [CrossRef]
- Siddique, A.; Ahmed, R.; Anderson, J.; Nazari, M.; Yates, L.; Graham, S.; Holtz, M.; Piner, E.L. Structure and interface analysis of diamond on an AlGaN/GaN HEMT utilizing an in situ SiN x interlayer grown by MOCVD. ACS Appl. Electron. Mater. 2019, 1, 1387. [Google Scholar] [CrossRef]
- Zhang, S.; Wei, K.; Ma, X.H.; Hou, B.; Liu, G.G.; Zhang, Y.C.; Wang, X.-H.; Zheng, Y.-K.; Huang, S.; Li, Y.-K.; et al. Reduced reverse gate leakage current for GaN HEMTs with 3 nm Al/40 nm SiN passivation layer. Appl. Phys. Lett. 2019, 114, 013503. [Google Scholar] [CrossRef]
- Lu, X.; Ma, J.; Jiang, H.; Liu, C.; Lau, K.M. Low trap states in in situ SiNx/AlN/GaN metal-insulator-semiconductor structures grown by metal-organic chemical vapor deposition. Appl. Phys. Lett. 2014, 105, 102911. [Google Scholar] [CrossRef]
- Lu, H.; Hou, B.; Yang, L.; Niu, X.; Si, Z.; Zhang, M.; Wu, M.; Mi, M.; Zhu, Q.; Cheng, K.; et al. Aln/GaN/InGaN coupling-channel HEMTs for improved g m and gain linearity. IEEE Trans. Electron Devices 2021, 68, 3308. [Google Scholar] [CrossRef]
- Hua, M.; Liu, C.; Yang, S.; Liu, S.; Fu, K.; Dong, Z.; Cai, Y.; Zhang, B.; Chen, K.J. GaN-based metal-insulator-semiconductor high-electron-mobility transistors using low-pressure chemical vapor deposition SiN x as gate dielectric. IEEE Electron Device Lett. 2015, 36, 448. [Google Scholar] [CrossRef]
- Jiang, H.; Liu, C.; Chen, Y.; Lu, X.; Tang, C.W.; Lau, K.M. Investigation of in situ SiN as gate dielectric and surface passivation for GaN MISHEMTs. IEEE Trans. Electron Devices 2017, 64, 832. [Google Scholar] [CrossRef]
- Huang, T.; Malmros, A.; Bergsten, J.; Gustafsson, S.; Axelsson, O.; Thorsell, M.; Rorsman, N. Suppression of dispersive effects in AlGaN/GaN high-electron-mobility transistors using bilayer SiN x grown by low pressure chemical vapor deposition. IEEE Electron Device Lett. 2015, 36, 537. [Google Scholar] [CrossRef]
- Zhu, L.; Zhou, Q.; Chen, K.; Gao, W.; Cai, Y.; Cheng, K.; Li, Z.; Zhang, B. The Modulation Effect of LPCVD-Si x N y Stoichiometry on 2-DEG Characteristic of UTB AlGaN/GaN Heterostructure. IEEE Trans. Electron Devices 2022, 69, 4828. [Google Scholar] [CrossRef]
- Song, L.; Fu, K.; Zhang, Z.; Sun, S.; Li, W.; Yu, G.; Hao, R.; Fan, Y.; Shi, W.; Cai, Y.; et al. Interface Si donor control to improve dynamic performance of AlGaN/GaN MIS-HEMTs. AIP Adv. 2017, 7, 125023. [Google Scholar] [CrossRef]
- Douglas, E.A.; Reza, S.; Sanchez, C.; Koleske, D.; Allerman, A.; Klein, B.; Armstrong, A.M.; Kaplar, R.J.; Baca, A.G. Ohmic contacts to Al-rich AlGaN heterostructures. Phys. Status Solidi (A) 2017, 214, 1600842. [Google Scholar] [CrossRef]
- Wang, L.; Kim, D.H.; Adesida, I. Direct contact mechanism of Ohmic metallization to AlGaN/GaN heterostructures via Ohmic area recess etching. Appl. Phys. Lett. 2009, 95, 172107. [Google Scholar] [CrossRef]
- Lu, H.; Hou, B.; Yang, L.; Song, F.; Zhang, M.; Wu, M.; Ma, X.; Hao, Y. Low-resistance Ta/Al/Ni/Au ohmic contact and formation mechanism on AlN/GaN HEMT. IEEE Trans. Electron Devices 2022, 69, 6023. [Google Scholar] [CrossRef]
- Yang, L.; Lu, H.; Niu, X.; Zhang, M.; Shi, C.; Deng, L.; Hou, B.; Mi, M.; Wu, M.; Cheng, K.; et al. Investigation of contact mechanism and gate electrostatic control in multi-channel AlGaN/GaN high electron mobility transistors with deep recessed ohmic contact. J. Appl. Phys. 2022, 132, 165703. [Google Scholar] [CrossRef]
- Guo, H.; Shao, P.; Zeng, C.; Bai, H.; Wang, R.; Pan, D.; Chen, P.; Chen, D.; Lu, H.; Zhang, R.; et al. Improved LPCVD-SiNx/AlGaN/GaN MIS-HEMTs by using in-situ MOCVD-SiNx as an interface sacrificial layer. Appl. Surf. Sci. 2022, 590, 153086. [Google Scholar] [CrossRef]
- Liu, X.; Wang, X.; Zhang, Y.; Wei, K.; Zheng, Y.; Kang, X.; Jiang, H.; Li, J.; Wang, W.; Wu, X.; et al. Insight into the near-conduction band states at the crystallized interface between GaN and SiN x grown by low-pressure chemical vapor deposition. ACS Appl. Mater. Interfaces 2018, 10, 21721. [Google Scholar] [CrossRef] [PubMed]
- Lu, H.; Ma, X.; Hou, B.; Yang, L.; Zhang, M.; Wu, M.; Si, Z.; Zhang, X.; Niu, X.; Hao, Y. Improved RF power performance of AlGaN/GaN HEMT using by Ti/Au/Al/Ni/Au shallow trench etching ohmic contact. IEEE Trans. Electron Devices 2021, 68, 4842. [Google Scholar] [CrossRef]
- Jimenez, J.L.; Chowdhury, U. X-Band GaN FET reliability. In Proceedings of the 2008 IEEE International Reliability Physics Symposium, 2008, Phoenix, AZ, USA, 27 April–1 May 2008, (unpublished). [Google Scholar]
- Chen, D.Y.; Persson, A.R.; Wen, K.H.; Sommer, D.; Grünenpütt, J.; Blanck, H.; Thorsell, M.; Kordina, O.; Darakchieva, V.; Rorsman, N. Impact of in situ NH3 pre-treatment of LPCVD SiN passivation on GaN HEMT performance. Semicond. Sci. Technol. 2022, 37, 035011. [Google Scholar] [CrossRef]
- Huang, T.; Bergsten, J.; Thorsell, M.; Rorsman, N. Small-and large-signal analyses of different low-pressure-chemical-vapor-deposition SiN x passivations for microwave GaN HEMTs. IEEE Trans. Electron Devices 2018, 65, 908. [Google Scholar] [CrossRef]
- Jing, G.; Wang, X.; Huang, S.; Jiang, Q.; Deng, K.; Wang, Y.; Li, Y.; Fan, J.; Wei, K.; Liu, X. Mechanism of Linearity Improvement in GaN HEMTs by Low Pressure Chemical Vapor Deposition-SiN x Passivation. IEEE Trans. Electron Devices 2022, 69, 6610. [Google Scholar] [CrossRef]







Disclaimer/Publisher’s Note: The statements, opinions and data contained in all publications are solely those of the individual author(s) and contributor(s) and not of MDPI and/or the editor(s). MDPI and/or the editor(s) disclaim responsibility for any injury to people or property resulting from any ideas, methods, instructions or products referred to in the content. |
© 2023 by the authors. Licensee MDPI, Basel, Switzerland. This article is an open access article distributed under the terms and conditions of the Creative Commons Attribution (CC BY) license (https://creativecommons.org/licenses/by/4.0/).
Share and Cite
Deng, L.; Zhou, L.; Lu, H.; Yang, L.; Yu, Q.; Zhang, M.; Wu, M.; Hou, B.; Ma, X.; Hao, Y. Comprehensive Comparison of MOCVD- and LPCVD-SiNx Surface Passivation for AlGaN/GaN HEMTs for 5G RF Applications. Micromachines 2023, 14, 2104. https://doi.org/10.3390/mi14112104
Deng L, Zhou L, Lu H, Yang L, Yu Q, Zhang M, Wu M, Hou B, Ma X, Hao Y. Comprehensive Comparison of MOCVD- and LPCVD-SiNx Surface Passivation for AlGaN/GaN HEMTs for 5G RF Applications. Micromachines. 2023; 14(11):2104. https://doi.org/10.3390/mi14112104
Chicago/Turabian StyleDeng, Longge, Likun Zhou, Hao Lu, Ling Yang, Qian Yu, Meng Zhang, Mei Wu, Bin Hou, Xiaohua Ma, and Yue Hao. 2023. "Comprehensive Comparison of MOCVD- and LPCVD-SiNx Surface Passivation for AlGaN/GaN HEMTs for 5G RF Applications" Micromachines 14, no. 11: 2104. https://doi.org/10.3390/mi14112104
APA StyleDeng, L., Zhou, L., Lu, H., Yang, L., Yu, Q., Zhang, M., Wu, M., Hou, B., Ma, X., & Hao, Y. (2023). Comprehensive Comparison of MOCVD- and LPCVD-SiNx Surface Passivation for AlGaN/GaN HEMTs for 5G RF Applications. Micromachines, 14(11), 2104. https://doi.org/10.3390/mi14112104

