Compact Modeling of Advanced Gate-All-Around Nanosheet FETs Using Artificial Neural Network
Abstract
1. Introduction
2. Device Structure, TCAD Simulation Calibration, and Dataset Generation
2.1. Device Structure
2.2. TCAD Simulation Calibration
2.3. Dataset Generation
3. Development and Optimization of ANN Model
3.1. Development of ANN Model
3.2. Optimization of ANN Model
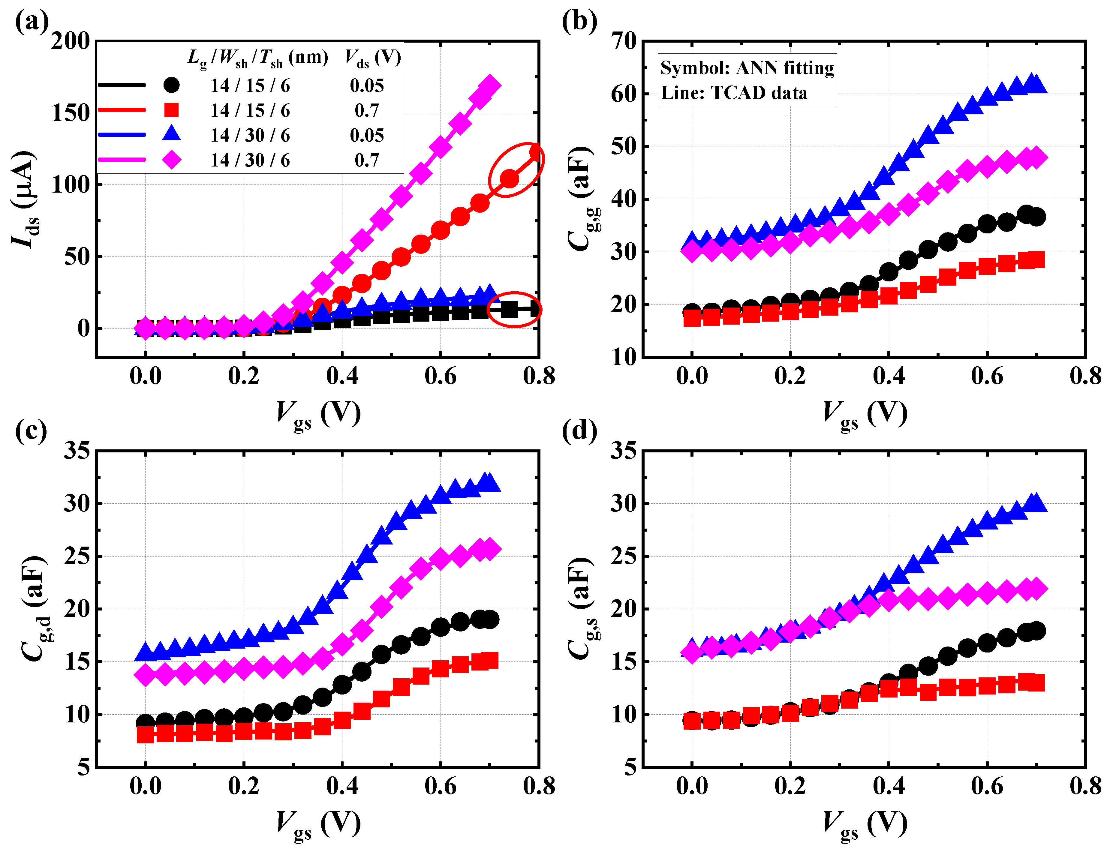
4. Results and Discussion
5. Conclusions
Author Contributions
Funding
Data Availability Statement
Conflicts of Interest
References
- Hisamoto, D.; Lee, W.C.; Kedzierski, J.; Takeuchi, H.; Asano, K.; Kuo, C.; Anderson, E.; King, T.J.; Bokor, J.; Hu, C. FinFET-a self-aligned double-gate MOSFET scalable to 20 nm. IEEE Trans. Electron Devices 2000, 47, 2320–2325. [Google Scholar] [CrossRef]
- Jan, C.H.; Bhattacharya, U.; Brain, R.; Choi, S.J.; Curello, G.; Gupta, G.; Hafez, W.; Jang, M.; Kang, M.; Komeyli, K.; et al. A 22 nm SoC platform technology featuring 3-D tri-gate and high-k/metal gate, optimized for ultra low power, high performance and high density SoC applications. In Proceedings of the 2012 International Electron Devices Meeting (IEDM), San Francisco, CA, USA, 10–13 December 2012; pp. 3.1.1–3.1.4. [Google Scholar]
- Sell, B.; Bigwood, B.; Cha, S.; Chen, Z.; Dhage, P.; Fan, P.; Giraud-Carrier, M.; Kar, A.; Karl, E.; Ku, C.J.; et al. 22FFL: A high performance and ultra low power FinFET technology for mobile and RF applications. In Proceedings of the 2017 IEEE International Electron Devices Meeting (IEDM), San Francisco, CA, USA, 2–6 December 2017; pp. 29.24.21–29.24.24. [Google Scholar]
- Yeap, G.; Lin, S.S.; Chen, Y.M.; Shang, H.L.; Wang, P.W.; Lin, H.C.; Peng, Y.C.; Sheu, J.Y.; Wang, M.; Chen, X.; et al. 5 nm CMOS Production Technology Platform featuring full-fledged EUV, and High Mobility Channel FinFETs with densest 0.021 µm2 SRAM cells for Mobile SoC and High Performance Computing Applications. In Proceedings of the 2019 IEEE International Electron Devices Meeting (IEDM), San Francisco, CA, USA, 7–11 December 2019; pp. 36.37.31–36.37.34. [Google Scholar]
- Liu, J.C.; Mukhopadhyay, S.; Kundu, A.; Chen, S.H.; Wang, H.C.; Huang, D.S.; Lee, J.H.; Wang, M.I.; Lu, R.; Lin, S.S.; et al. A Reliability Enhanced 5nm CMOS Technology Featuring 5th Generation FinFET with Fully-Developed EUV and High Mobility Channel for Mobile SoC and High Performance Computing Application. In Proceedings of the 2020 IEEE International Electron Devices Meeting (IEDM), San Francisco, CA, USA, 12–18 December 2020; pp. 9.2.1–9.2.4. [Google Scholar]
- Ding, Y.; Luo, X.; Shang, E.; Hu, S.; Chen, S.; Zhao, Y. A Device Design for 5 nm Logic FinFET Technology. In Proceedings of the 2020 China Semiconductor Technology International Conference (CSTIC), Shanghai, China, 26 June–17 July 2020; pp. 1–5. [Google Scholar]
- Chang, C.H.; Chang, V.S.; Pan, K.H.; Lai, K.T.; Lu, J.H.; Ng, J.A.; Chen, C.Y.; Wu, B.F.; Lin, C.J.; Liang, C.S.; et al. Critical Process Features Enabling Aggressive Contacted Gate Pitch Scaling for 3 nm CMOS Technology and Beyond. In Proceedings of the 2022 International Electron Devices Meeting (IEDM), San Francisco, CA, USA, 3–7 December 2022; pp. 27.21.21–27.21.24. [Google Scholar]
- Chung, S.S.; Chiang, C.K.; Pai, H.; Hsieh, E.R.; Guo, J.C. The Extension of the FinFET Generation Towards Sub-3 nm: The Strategy and Guidelines. In Proceedings of the 2022 6th IEEE Electron Devices Technology & Manufacturing Conference (EDTM), Oita, Japan, 6–9 March 2022; pp. 15–17. [Google Scholar]
- Feng, P.; Song, S.; Nallapati, G.; Zhu, J.; Bao, J.; Moroz, V.; Choi, M.; Lin, X.; Lu, Q.; Colombeau, B.; et al. Comparative Analysis of Semiconductor Device Architectures for 5-nm Node and beyond. IEEE Electron Device Lett. 2017, 38, 1657–1660. [Google Scholar] [CrossRef]
- Loubet, N.; Hook, T.; Montanini, P.; Yeung, C.W.; Kanakasabapathy, S.; Guillom, M.; Yamashita, T.; Zhang, J.; Miao, X.; Wang, J.; et al. Stacked nanosheet gate-all-around transistor to enable scaling beyond FinFET. In Proceedings of the 2017 Symposium on VLSI Technology, Kyoto, Japan, 5–8 June 2017; pp. T230–T231. [Google Scholar]
- Das, U.K.; Bhattacharyya, T.K. Opportunities in Device Scaling for 3-nm Node and Beyond: FinFET versus GAA-FET versus UFET. IEEE Trans. Electron Devices 2020, 67, 2633–2638. [Google Scholar] [CrossRef]
- Ritzenthaler, R.; Mertens, H.; Eneman, G.; Simoen, E.; Bury, E.; Eyben, P.; Bufler, F.M.; Oniki, Y.; Briggs, B.; Chan, B.T.; et al. Comparison of Electrical Performance of Co-Integrated Forksheets and Nanosheets Transistors for the 2nm Technological Node and Beyond. In Proceedings of the 2021 IEEE International Electron Devices Meeting (IEDM), San Francisco, CA, USA, 11–16 December 2021; pp. 26.22.21–26.22.24. [Google Scholar]
- Strohbehn, K.; Martin, M.N. SPICE macro models for annular MOSFETs. In Proceedings of the 2004 IEEE Aerospace Conference Proceedings (IEEE Cat. No.04TH8720), Big Sky, MT, USA, 6–13 March 2004; pp. 2370–2377. [Google Scholar]
- Oh, J.H.; Yu, Y.S. Macro-Modeling for N-Type Feedback Field-Effect Transistor for Circuit Simulation. Micromachines 2021, 12, 1174. [Google Scholar] [CrossRef] [PubMed]
- Song, J.; Yuan, Y.; Yu, B.; Xiong, W.; Taur, Y. Compact Modeling of Experimental n- and p-Channel FinFETs. IEEE Trans. Electron Devices 2010, 57, 1369–1374. [Google Scholar] [CrossRef]
- Ding, J.; Asenov, A. Reliability-Aware Statistical BSIM Compact Model Parameter Generation Methodology. IEEE Trans. Electron Devices 2020, 67, 4777–4783. [Google Scholar] [CrossRef]
- Wu, T.; Luo, H.; Wang, X.; Asenov, A.; Miao, X. A Predictive 3-D Source/Drain Resistance Compact Model and the Impact on 7 nm and Scaled FinFETs. IEEE Trans. Electron Devices 2020, 67, 2255–2262. [Google Scholar] [CrossRef]
- Jung, S.G.; Kim, J.K.; Yu, H.Y. Analytical Model of Contact Resistance in Vertically Stacked Nanosheet FETs for Sub-3-nm Technology Node. IEEE Trans. Electron Devices 2022, 69, 930–935. [Google Scholar] [CrossRef]
- Wang, J.; Xu, N.; Woosung, C.; Keun-Ho, L.; Youngkwan, P. A generic approach for capturing process variations in lookup-table-based FET models. In Proceedings of the 2015 International Conference on Simulation of Semiconductor Processes and Devices (SISPAD), Washington, DC, USA, 9–11 September 2015; pp. 309–312. [Google Scholar]
- Thakker, R.A.; Sathe, C.; Sachid, A.B.; Baghini, M.S.; Rao, V.R.; Patil, M.B. A Novel Table-Based Approach for Design of FinFET Circuits. IEEE Trans. Comput.—Aided Des. Integr. Circuits Syst. 2009, 28, 1061–1070. [Google Scholar] [CrossRef]
- Sheu, B.; Scharfetter, D.; Hu, C.; Pederson, D. A compact IGFET charge model. IEEE Trans. Circuits Syst. 1984, 31, 745–748. [Google Scholar] [CrossRef]
- Duarte, J.P.; Khandelwal, S.; Medury, A.; Hu, C.; Kushwaha, P.; Agarwal, H.; Dasgupta, A.; Chauhan, Y.S. BSIM-CMG: Standard FinFET compact model for advanced circuit design. In Proceedings of the ESSCIRC Conference 2015-41st European Solid-State Circuits Conference (ESSCIRC), Graz, Austria, 14–18 September 2015; pp. 196–201. [Google Scholar]
- Singh, S.K.; Gupta, S.; Vega, R.A.; Dixit, A. Accurate Modeling of Cryogenic Temperature Effects in 10-nm Bulk CMOS FinFETs Using the BSIM-CMG Model. IEEE Electron Device Lett. 2022, 43, 689–692. [Google Scholar] [CrossRef]
- Litovski, V.B.; Radjenovié, J.I.; Mrčarica, Ž.M.; Milenkovié, S.L. MOS transistor modelling using neural network. Electron. Lett. 1992, 28, 1766–1768. [Google Scholar] [CrossRef]
- Jain, A.K.; Jianchang, M.; Mohiuddin, K.M. Artificial neural networks: A tutorial. Computer 1996, 29, 31–44. [Google Scholar] [CrossRef]
- Saha, N.; Swetapadma, A.; Mondal, M. A Brief Review on Artificial Neural Network: Network Structures and Applications. In Proceedings of the 2023 9th International Conference on Advanced Computing and Communication Systems (ICACCS), Coimbatore, India, 17–18 March 2023; pp. 1974–1979. [Google Scholar]
- Ryckaert, J.; Schuddinck, P.; Weckx, P.; Bouche, G.; Vincent, B.; Smith, J.; Sherazi, Y.; Mallik, A.; Mertens, H.; Demuynck, S.; et al. The Complementary FET (CFET) for CMOS scaling beyond N3. In Proceedings of the 2018 IEEE Symposium on VLSI Technology, Honolulu, HI, USA, 18–22 June 2018; pp. 141–142. [Google Scholar]
- Subramanian, S.; Hosseini, M.; Chiarella, T.; Sarkar, S.; Schuddinck, P.; Chan, B.T.; Radisic, D.; Mannaert, G.; Hikavyy, A.; Rosseel, E.; et al. First Monolithic Integration of 3D Complementary FET (CFET) on 300 mm Wafers. In Proceedings of the 2020 IEEE Symposium on VLSI Technology, Honolulu, HI, USA, 16–19 June 2020; pp. 1–2. [Google Scholar]
- Ko, K.; Lee, J.K.; Kang, M.; Jeon, J.; Shin, H. Prediction of Process Variation Effect for Ultrascaled GAA Vertical FET Devices Using a Machine Learning Approach. IEEE Trans. Electron Devices 2019, 66, 4474–4477. [Google Scholar] [CrossRef]
- Butola, R.; Li, Y.; Kola, S.R.; Chen, C.Y.; Chuang, M.H. Artificial Neural Network-Based Modeling for Estimating the Effects of Various Random Fluctuations on DC/Analog/RF Characteristics of GAA Si Nanosheet FETs. IEEE Trans. Microw. Theory Tech. 2022, 70, 4835–4848. [Google Scholar] [CrossRef]
- Qi, G.; Chen, X.; Hu, G.; Zhou, P.; Bao, W.; Lu, Y. Knowledge-based neural network SPICE modeling for MOSFETs and its application on 2D material field-effect transistors. Sci. China Inf. Sci. 2023, 66, 122405. [Google Scholar] [CrossRef]
- Wei, J.; Wang, H.; Zhao, T.; Jiang, Y.L.; Wan, J. A New Compact MOSFET Model Based on Artificial Neural Network with Unique Data Preprocessing and Sampling Techniques. IEEE Trans. Comput.-Aided Des. Integr. Circuits Syst. 2023, 42, 1250–1254. [Google Scholar] [CrossRef]
- IRDS. International Roadmap for Devices and Systems 2022 (IRDS 2022). Available online: https://irds.ieee.org/ (accessed on 31 July 2022).
- Synopsys, Inc. Sentaurus TCAD User’s Manual; Synopsys Inc.: Mountain View, CA, USA, 2019. [Google Scholar]
- Arimura, H.; Ragnarsson, L.Å.; Oniki, Y.; Franco, J.; Vandooren, A.; Brus, S.; Leonhardt, A.; Sippola, P.; Ivanova, T.; Verni, G.A.; et al. Dipole-First Gate Stack as a Scalable and Thermal Budget Flexible Multi-Vt Solution for Nanosheet/CFET Devices. In Proceedings of the 2021 IEEE International Electron Devices Meeting (IEDM), San Francisco, CA, USA, 11–16 December 2021; pp. 13.15.11–13.15.14. [Google Scholar]
- Zamanlooy, B.; Mirhassani, M. Efficient VLSI Implementation of Neural Networks With Hyperbolic Tangent Activation Function. IEEE Trans. Very Large Scale Integr. (VLSI) Syst. 2014, 22, 39–48. [Google Scholar] [CrossRef]
- Lau, M.M.; Lim, K.H. Investigation of activation functions in deep belief network. In Proceedings of the 2017 2nd International Conference on Control and Robotics Engineering (ICCRE), Bangkok, Thailand, 1–3 April 2017; pp. 201–206. [Google Scholar]
- Ruder, S. An overview of gradient descent optimization algorithms. arXiv 2016, arXiv:1609.04747. [Google Scholar]
- Gupta, S.; Gupta, R.; Ojha, M.; Singh, K.P. A Comparative Analysis of Various Regularization Techniques to Solve Overfitting Problem in Artificial Neural Network. In Proceedings of the Data Science and Analytics, Singapore, 8 March 2018; pp. 363–371. [Google Scholar]








| Parameters | Value |
|---|---|
| Physical gate length (Lg) | 14 nm |
| Source/drain length (Lsd) | 12 nm |
| Spacer length (Lsp) | 6 nm |
| Nanosheet width (Wsh) | 15 nm |
| Nanosheet thickness (Tsh) | 6 nm |
| Sheet-to-sheet spacing (Tsp) | 10 nm |
| Equivalent oxide thickness (EOT) | 1.35 nm |
| Source/drain doping concentration (Nsd) | 5 × 1020 cm−3 |
| Channel doping concentration (Nch) | 1 × 1010 cm−3 |
| Metal gate work-function (WF) | 4.4 eV |
| Parameters | Features |
|---|---|
| Network size | 5-10-5-4 |
| Activation function | Hyperbolic tangent function |
| Learning rate | 0.02 |
| Epoch | 5000 |
| #Training samples | 3200 |
| #Test samples | 800 |
| Task | Regression |
| MSE | 0.01 |
| Regularization | L2 Regularization |
Disclaimer/Publisher’s Note: The statements, opinions and data contained in all publications are solely those of the individual author(s) and contributor(s) and not of MDPI and/or the editor(s). MDPI and/or the editor(s) disclaim responsibility for any injury to people or property resulting from any ideas, methods, instructions or products referred to in the content. |
© 2024 by the authors. Licensee MDPI, Basel, Switzerland. This article is an open access article distributed under the terms and conditions of the Creative Commons Attribution (CC BY) license (https://creativecommons.org/licenses/by/4.0/).
Share and Cite
Zhao, Y.; Xu, Z.; Tang, H.; Zhao, Y.; Tang, P.; Ding, R.; Zhu, X.; Zhang, D.W.; Yu, S. Compact Modeling of Advanced Gate-All-Around Nanosheet FETs Using Artificial Neural Network. Micromachines 2024, 15, 218. https://doi.org/10.3390/mi15020218
Zhao Y, Xu Z, Tang H, Zhao Y, Tang P, Ding R, Zhu X, Zhang DW, Yu S. Compact Modeling of Advanced Gate-All-Around Nanosheet FETs Using Artificial Neural Network. Micromachines. 2024; 15(2):218. https://doi.org/10.3390/mi15020218
Chicago/Turabian StyleZhao, Yage, Zhongshan Xu, Huawei Tang, Yusi Zhao, Peishun Tang, Rongzheng Ding, Xiaona Zhu, David Wei Zhang, and Shaofeng Yu. 2024. "Compact Modeling of Advanced Gate-All-Around Nanosheet FETs Using Artificial Neural Network" Micromachines 15, no. 2: 218. https://doi.org/10.3390/mi15020218
APA StyleZhao, Y., Xu, Z., Tang, H., Zhao, Y., Tang, P., Ding, R., Zhu, X., Zhang, D. W., & Yu, S. (2024). Compact Modeling of Advanced Gate-All-Around Nanosheet FETs Using Artificial Neural Network. Micromachines, 15(2), 218. https://doi.org/10.3390/mi15020218

