Characteristics and Degradation Mechanisms under High Reverse Base–Collector Bias Stress in InGaAs/InP Double HBTs
Abstract
:1. Introduction
2. Description of Devices and Tests
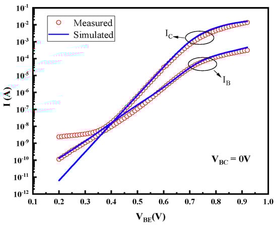
2.1. Device Description and Experimental Conditions
2.2. Stress Conditions and Experiments
3. Effect of Stress on Device Characteristics
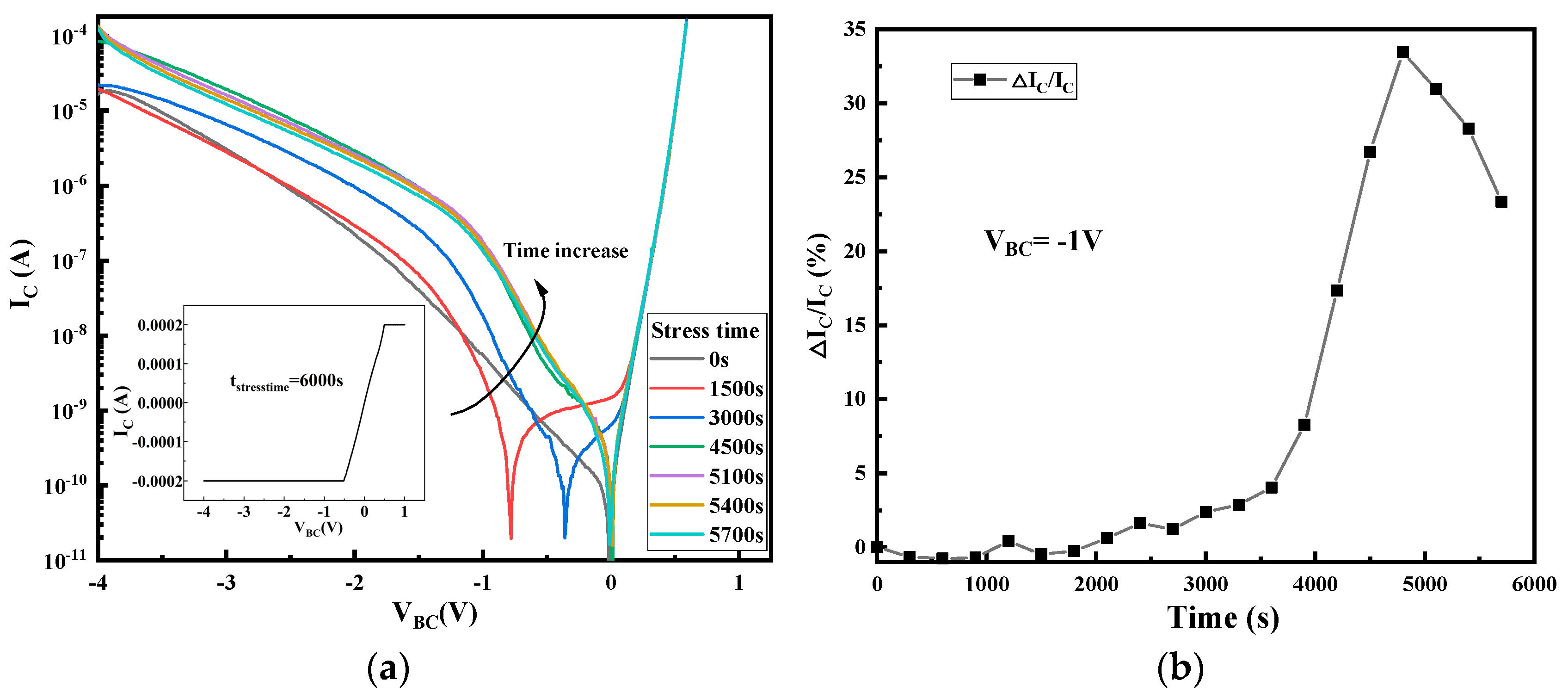
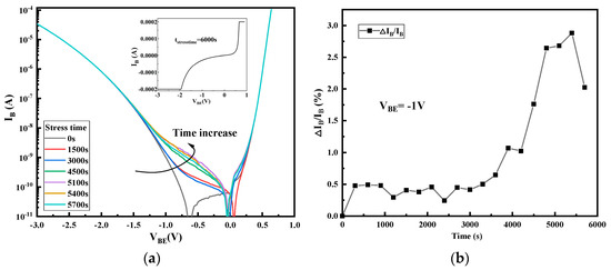
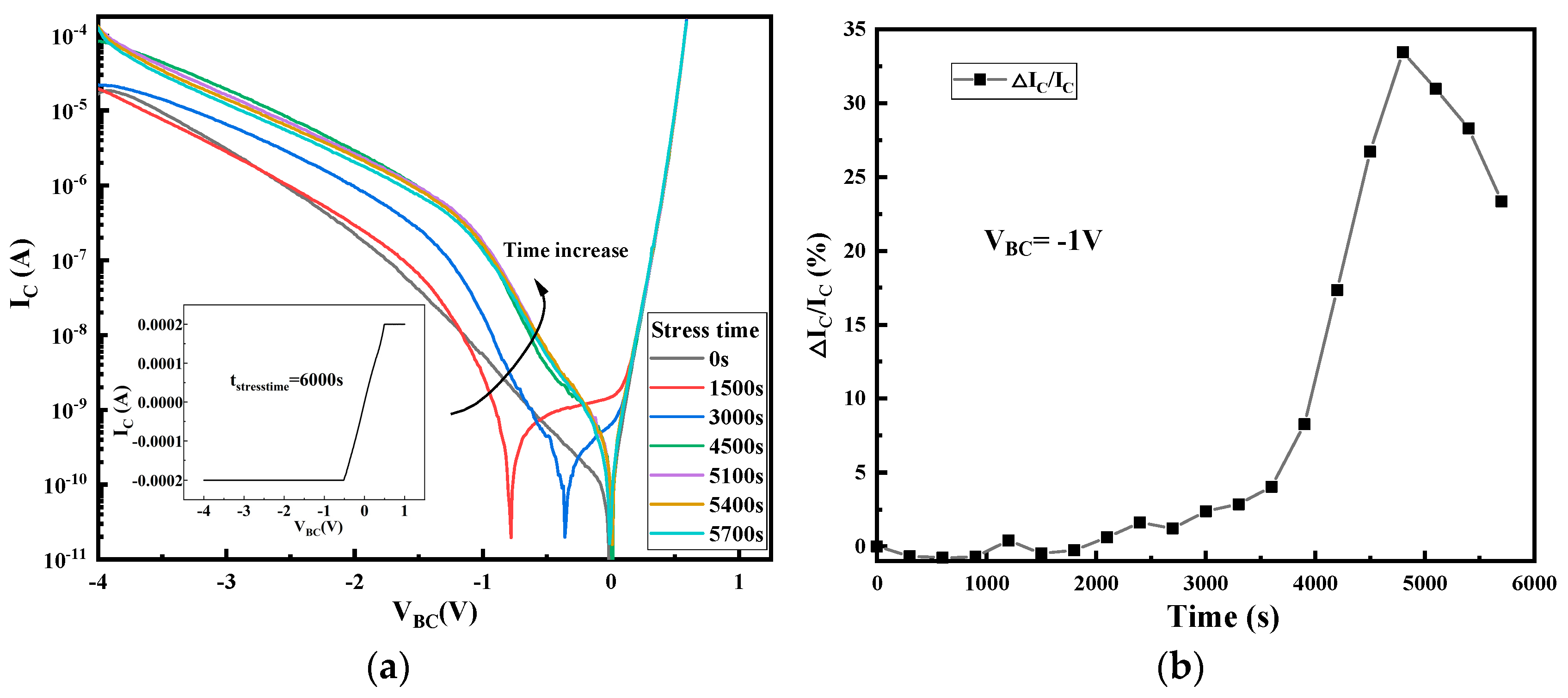
3.1. Stress-Induced Leakage Current in the B–C Junction and B–E Junction
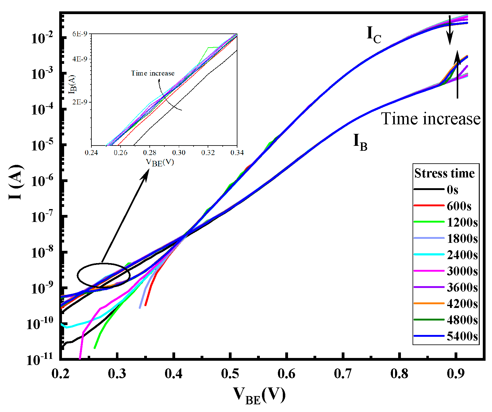
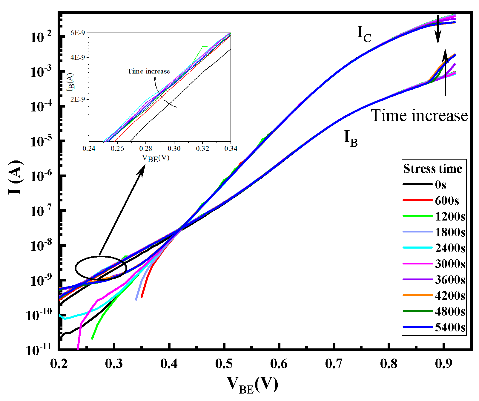
3.2. Effect of Stress on Device DC Characteristics
3.3. Effect of Stress on Device AC Small Signal Characteristics
4. Degradation Mechanism Analysis with TCAD Device Simulation
4.1. Degradation Process: Device Degradation versus Stress Time
4.2. The Stress-Induced Degradation and Physical Model
5. Conclusions
Author Contributions
Funding
Data Availability Statement
Conflicts of Interest
References
- Nagatani, M.; Wakita, H.; Nosaka, H.; Kurishima, K.; Ida, M.; Sano, A.; Miyamoto, Y. 75 GBd InP-HBT MUX-DAC module for high-symbol-rate optical transmission. Electron. Lett. 2015, 51, 710–712. [Google Scholar] [CrossRef]
- Li, S.; Su, Y.; Lv, H.; Zhou, L.; Zhang, Y.; Zhang, Y.; Hu, J.; Yang, F.; Jin, Z. A broadband InP track-and-hold amplifier using emitter capacitive/resistive degeneration. IEEE Microw. Wirel. Compon. Lett. 2020, 30, 391–394. [Google Scholar] [CrossRef]
- Zhen, W.; Xiao, L.; Cao, S.; Su, Y.; Jin, Z. A 35-GHz Bandwidth 30 GSa/s InP Track-and-Hold Amplifier Using Enhanced fT-Doubler Technique. IEEE Trans. Circuits Syst. II Express Briefs 2022, 69, 4243–4247. [Google Scholar]
- Xu, X.; Guo, R.; Zhou, G.; Zhang, B.; Tao, H. K-Band Digital Power Amplifier Based on InP DHBT. J. Phys. Conf. Ser. 2022, 2343, 012013. [Google Scholar] [CrossRef]
- Radisic, V.; Scott, D.W.; Cavus, A.; Monier, C. 220-GHz high-efficiency InP HBT power amplifiers. IEEE Trans. Microw. Theory Tech. 2014, 62, 3001–3005. [Google Scholar] [CrossRef]
- Chauhan, V.; Collaert, N.; Wambacq, P. A 120–140-GHz LNA in 250-nm InP HBT. IEEE Microw. Wirel. Compon. Lett. 2022, 32, 1315–1318. [Google Scholar] [CrossRef]
- Fischer, G.; Sasso, G. Ageing and thermal recovery of advanced SiGe heterojunction bipolar transistors under long-term mixed-mode and reverse stress conditions. Microelectron. Reliab. 2015, 55, 498–507. [Google Scholar] [CrossRef]
- Puglisi, F.M.; Larcher, L.; Pavan, P. Mixed-mode stress in silicon–germanium heterostructure bipolar transistors: Insights from experiments and simulations. IEEE Trans. Device Mater. Reliab. 2019, 19, 275–282. [Google Scholar] [CrossRef]
- Zagni, N.; Puglisi, F.M.; Verzellesi, G.; Pavan, P. Characterization and TCAD Modeling of Mixed-Mode Stress Induced by Impact Ionization in Scaled SiGe HBTs. IEEE Trans. Electron Devices 2020, 67, 4597–4601. [Google Scholar] [CrossRef]
- Koné, G.; Grandchamp, B.; Hainaut, C.; Marc, F.; Maneux, C.; Labat, N.; Zimmer, T.; Nodjiadjim, V.; Riet, M.; Godin, J. Reliability of submicron InGaAs/InP DHBT under thermal and electrical stresses. Microelectron. Reliab. 2011, 51, 1730–1735. [Google Scholar] [CrossRef]
- Kone, G.A.; Grandchamp, B.; Hainaut, C.; Marc, F.; Labat, N.; Zimmer, T.; Nodjiadjim, V.; Riet, M.; Dupuy, J.-Y.; Godin, J.; et al. Submicrometer InP/InGaAs DHBT architecture enhancements targeting reliability improvements. IEEE Trans. Electron Devices 2013, 60, 1068–1074. [Google Scholar] [CrossRef]
- Fukai, Y.K.; Kurishima, K.; Kashio, N.; Yamahata, S. Reliability study on InP/InGaAs emitter-base junction for high-speed and low-power InP HBT. In Proceedings of the 2010 International Conference on Indium Phosphide and Related Materials, Takamatsu, Japan, 31 May–4 June 2010; IEEE: New York, NY, USA, 2010; pp. 119–122. [Google Scholar]
- Wang, H.; Ng, G.I. Investigation of the degradation of InGaAs/InP double HBTs under reverse base-collector bias stress. IEEE Trans. Electron Devices 2001, 48, 2647–2654. [Google Scholar] [CrossRef]
- Wang, H.; Ng, C.W. Degradation of RF and noise characteristics of InP/InGaAs double heterojunction bipolar transistors under high reverse base-collector voltage. In Proceedings of the IEEE International Symposium on Physical & Failure Analysis of Integrated Circuits, Suzhou, China, 6–10 July 2009; IEEE: New York, NY, USA, 2009. [Google Scholar]
- Gao, J. Heterojunction Bipolar Transistors for Circuit Design: Microwave Modeling and Parameter Extraction; John Wiley & Sons: Hoboken, NJ, USA, 2015. [Google Scholar]
- Chitrashekaraiah, S.; Dharmasiri, C.N.; Rezazadeh, A.A. An automated small-signal parameter extraction technique for HBTs using ICCAP. In Proceedings of the High Frequency Postgraduate Student Colloquium, Manchester, UK, 6–7 September 2004; IEEE: New York, NY, USA, 2004; pp. 151–156. [Google Scholar]
- Tao, N.G.; Liu, H.G.; Bolognesi, C.R. Impact of surface state modeling on the characteristics of InP/GaAsSb/InP DHBTs. Solid-State Electron. 2007, 51, 995–1001. [Google Scholar] [CrossRef]
- Ghosh, S.; Grandchamp, B.; Koné, G.; Marc, F.; Maneux, C.; Zimmer, T.; Nodjiadjim, V.; Riet, M.; Dupuy, J.-Y.; Godin, J. Investigation of the degradation mechanisms of InP/InGaAs DHBT under bias stress conditions to achieve electrical aging model for circuit design. Microelectron. Reliab. 2011, 51, 1736–1741. [Google Scholar] [CrossRef]
- Ruiz-Palmero, J.M.; Hammer, U.; Jäckel, H. A physical hydrodynamic 2D model for simulation and scaling of InP/InGaAs (P) DHBTs and circuits with limited complexity. Solid-State Electron. 2006, 50, 1595–1611. [Google Scholar] [CrossRef]
- Vendrame, L.; Pavan, P.; Corva, G.; Nardi, A.; Neviani, A.; Zanoni, E. Degradation mechanisms in polysilicon emitter bipolar junction transistors for digital applications. Microelectron. Reliab. 2000, 40, 207–230. [Google Scholar] [CrossRef]



















| Location | Type | ET-EV (eV) |
|---|---|---|
| B–E junction | Acceptor | 0.4 |
| B–C junction | Acceptor | 0.4 |
| Emitter sidewall | Donor | 0.83 1.3 |
Disclaimer/Publisher’s Note: The statements, opinions and data contained in all publications are solely those of the individual author(s) and contributor(s) and not of MDPI and/or the editor(s). MDPI and/or the editor(s) disclaim responsibility for any injury to people or property resulting from any ideas, methods, instructions or products referred to in the content. |
© 2023 by the authors. Licensee MDPI, Basel, Switzerland. This article is an open access article distributed under the terms and conditions of the Creative Commons Attribution (CC BY) license (https://creativecommons.org/licenses/by/4.0/).
Share and Cite
Yan, S.; Lu, H.; Cheng, L.; Qiao, J.; Cheng, W.; Zhang, Y. Characteristics and Degradation Mechanisms under High Reverse Base–Collector Bias Stress in InGaAs/InP Double HBTs. Micromachines 2023, 14, 2073. https://doi.org/10.3390/mi14112073
Yan S, Lu H, Cheng L, Qiao J, Cheng W, Zhang Y. Characteristics and Degradation Mechanisms under High Reverse Base–Collector Bias Stress in InGaAs/InP Double HBTs. Micromachines. 2023; 14(11):2073. https://doi.org/10.3390/mi14112073
Chicago/Turabian StyleYan, Silu, Hongliang Lu, Lin Cheng, Jiantao Qiao, Wei Cheng, and Yuming Zhang. 2023. "Characteristics and Degradation Mechanisms under High Reverse Base–Collector Bias Stress in InGaAs/InP Double HBTs" Micromachines 14, no. 11: 2073. https://doi.org/10.3390/mi14112073
APA StyleYan, S., Lu, H., Cheng, L., Qiao, J., Cheng, W., & Zhang, Y. (2023). Characteristics and Degradation Mechanisms under High Reverse Base–Collector Bias Stress in InGaAs/InP Double HBTs. Micromachines, 14(11), 2073. https://doi.org/10.3390/mi14112073

