Two-Dimensional Copper/Nickel Metal–Organic Framework Nanosheets for Non-Enzymatic Electrochemical Glucose Detection
Abstract
:1. Introduction
2. Experimental Section
2.1. Materials
2.2. Synthesis Process of CuNi-MOFNs
2.3. Fabrication of CuNi-MOFNs/GCE
2.4. Characterization
3. Results and Discussion
3.1. Morphology and Structures of CuNi-MOFNs
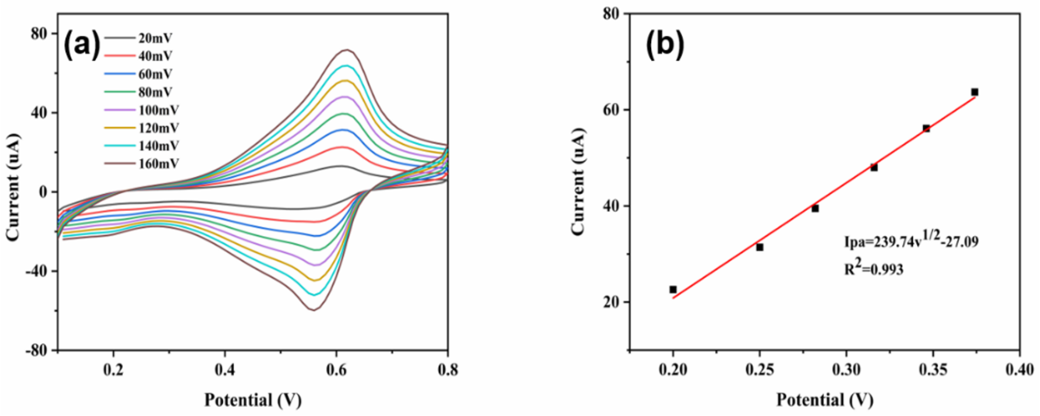
3.2. Electrochemical Characterizations of CuNi-MOFNs
4. Conclusions
Author Contributions
Funding
Data Availability Statement
Conflicts of Interest
References
- Liu, L.; Wang, M.D.; Wang, C.Y. In-situ synthesis of graphitic carbon nitride/iron oxide copper composites and their application in the electrochemical detection of glucose. Electrochim. Acta 2018, 265, 275–283. [Google Scholar] [CrossRef]
- Kezerle, L.; Tsadok, M.A.; Akriv, A.; Senderey, A.B.; Bachrach, A.; Leventer-Roberts, M.; Haim, M. Pre-diabetes increases stroke risk in patients with nonvalvular atrial fibrillation. J. Am. Coll. Cardiol. 2021, 77, 875–884. [Google Scholar] [CrossRef]
- Ng, A.C.T.; Delgado, V.; Borlaug, B.A.; Bax, J.J. Diabesity: The combined burden of obesity and diabetes on heart disease and the role of imaging. Nat. Rev. Cardiol. 2021, 18, 291–304. [Google Scholar] [CrossRef] [PubMed]
- Lee, H.; Hong, Y.J.; Baik, S.; Hyeon, T.; Kim, D.H. Enzyme-based glucose sensor: From invasive to wearable device. Adv. Healthc. Mater. 2018, 7, 1701150. [Google Scholar] [CrossRef]
- Yang, P.; Wang, X.; Ge, C.Y.; Fu, X.; Liu, X.Y.; Chai, H.X.; Guo, X.L.; Yao, H.C.; Zhang, Y.X.; Chen, K. Fabrication of CuO nanosheets-built microtubes via Kirkendall effect for non-enzymatic glucose sensor. Appl. Surf. Sci. 2019, 494, 484–491. [Google Scholar] [CrossRef]
- Ren, Z.D.; Mao, H.C.; Luo, H.W.; Liu, Y. Glucose sensor based on porous Ni by using a graphene bottom layer combined with a Ni middle layer. Carbon 2019, 149, 609–617. [Google Scholar] [CrossRef]
- Sivakumar, M.; Madhu, R.; Chen, S.M.; Veeramani, V.; Manikandan, A.; Hung, W.H.; Miyamoto, N.; Chueh, Y.L. Low-temperature chemical synthesis of CoWO4 nanospheres for sensitive nonenzymatic glucose sensor. J. Phys. Chem. C 2016, 120, 17024–17028. [Google Scholar] [CrossRef]
- Hwang, D.W.; Lee, S.; Seo, M.; Chung, T.D. Recent advances in electrochemical non-enzymatic glucose sensors—A review. Anal. Chim. Acta 2018, 1033, 1–34. [Google Scholar] [CrossRef]
- Yu, Y.Y.; Zhou, M.; Zhang, W.; Huang, L.; Miao, D.D.; Zhu, H.Y.; Su, G.X. Rattle-type gold nanorods/porous-SiO2 nanocomposites as near-infrared light-activated drug delivery systems for cancer combined chemo-photothermal therapy. Mol. Pharm. 2019, 16, 1929–1938. [Google Scholar] [CrossRef]
- Shabbir, S.A.; Tariq, S.; Ashiq, M.G.B.; Khan, W.A. Non-enzymatic glucose sensor with electrodeposited silver/carbon nanotubes composite electrode. Biosci. Rep. 2019, 39, BSR20181983. [Google Scholar] [CrossRef]
- Su, C.; Zhang, C.; Lu, G.Q.; Ma, C.N. Nonenzymatic electrochemical glucose sensor based on Pt nanoparticles/mesoporous carbon matrix. Electroanalysis 2010, 22, 1901–1905. [Google Scholar] [CrossRef]
- Shim, K.; Lee, W.C.; Heo, Y.U.; Shahabuddin, M.; Park, M.S.; Hossain, M.S.A.; Kim, J.H. Rationally designed bimetallic Au@ Pt nanoparticles for glucose oxidation. Sci. Rep. 2019, 9, 894. [Google Scholar] [CrossRef]
- Liu, T.J.; Guo, Y.Q.; Zhang, Z.F.; Miao, Z.C.; Zhang, X.Y.; Su, Z.Q. Fabrication of hollow CuO/PANI hybrid nanofibers for non-enzymatic electrochemical detection of H2O2 and glucose. Sens. Actuators B Chem. 2019, 286, 370–376. [Google Scholar] [CrossRef]
- Ding, R.M.; Liu, J.P.; Jiang, J.; Zhu, J.H.; Huang, X.T. Mixed Ni-Cu-oxide nanowire array on conductive substrate and its application as enzyme-free glucose sensor. Anal. Methods 2012, 4, 4003. [Google Scholar] [CrossRef]
- Ghanbari, K.H.; Babaei, Z. Fabrication and characterization of non-enzymatic glucose sensor based on ternary NiO/CuO/polyaniline nanocomposite. Anal. Biochem. 2016, 498, 37–46. [Google Scholar] [CrossRef]
- Jiang, J.Y.; Zhang, P.; Liu, Y.; Luo, H.X. A novel non-enzymatic glucose sensor based on Cu nanoparticles modified graphene edge nanoelectrode. Anal. Methods 2017, 9, 2205–2210. [Google Scholar] [CrossRef]
- Jiang, D.F.; Zhang, Q.W.; Xu, C.S.; Ge, Y.C.; Huang, L.P.; Ren, X.Q.; Wang, Y. Facile preparation of a hollow core-shell nanocomposite for the ultrasensitive sensing of glucose. Sens. Actuators B Chem. 2020, 321, 128500. [Google Scholar] [CrossRef]
- Chen, J.L.; Yin, H.Y.; Zhou, J.L.; Gong, J.Y.; Wang, L.; Zheng, Y.F.; Nie, Q.L. Non-enzymatic glucose sensor based on nickel nitride decorated nitrogen doped carbon spheres (Ni3N/NCS) via facile one pot nitridation process. J. Alloys Compd. 2019, 797, 922–930. [Google Scholar] [CrossRef]
- Chi, L.L.; Zhang, C.M.; Wu, X.Y.; Qian, X.H.; Sun, H.; He, M.R.; Guo, C.X. Research Progress on Biomimetic Nanomaterials for Electrochemical Glucose Sensors. Biomimetics 2023, 8, 167. [Google Scholar] [CrossRef]
- Bilal, S.; Ullah, W.; Shah, A.U.A. Polyaniline@CuNi nanocomposite: A highly selective, stable and efficient electrode material for binder free non-enzymatic glucose sensor. Electrochim. Acta 2018, 284, 382–391. [Google Scholar] [CrossRef]
- Wang, L.L.; Miao, X.L.; Qu, Y.N.; Duan, C.P.; Wang, B.; Yu, Q.L.; Gao, J.; Song, D.D.; Li, Y.T.; Yin, Z. Rattle-type Au@NiCo LDH hollow core-shell nanostructures for nonenzymatic glucose sensing. J. Electroanal. Chem. 2020, 858, 113810. [Google Scholar] [CrossRef]
- Liu, L.T.; Zhou, Y.L.; Liu, S.; Xu, M.T. The Applications of Metal−Organic Frameworks in Electrochemical Sensors. ChemElectroChem 2018, 5, 6–19. [Google Scholar] [CrossRef]
- Ahmed, I.; Mondol, M.M.H.; Jung, M.J.; Lee, G.H.; Jhung, S.H. MOFs with bridging or terminal hydroxo ligands: Applications in adsorption, catalysis, and functionalization. Coord. Chem. Rev. 2023, 475, 214912. [Google Scholar] [CrossRef]
- Gittins, J.W.; Balhatchet, C.J.; Fairclough, S.M.; Forse, A.C. Enhancing the energy storage performances of metal-organic frameworks by controlling microstructure. Chem. Sci. 2022, 13, 9210–9219. [Google Scholar] [CrossRef]
- Kalmutzki, M.J.; Hanikel, N.; Yaghi, O.M. Secondary building units as the turning point in the development of the reticular chemistry of MOFs. Sci. Adv. 2018, 4, eaat9180. [Google Scholar] [CrossRef]
- Xu, Y.X.; Li, Q.; Xue, H.G.; Pang, H. Metal-organic frameworks for direct electrochemical applications. Coord. Chem. Rev. 2018, 376, 292–318. [Google Scholar] [CrossRef]
- Wei, X.F.; Guo, J.L.; Lian, H.T.; Sun, X.Y.; Liu, B. Cobalt metal-organic framework modified carbon cloth/paper hybrid electrochemical button-sensor for nonenzymatic glucose diagnostics. Sens. Actuators B Chem. 2021, 329, 129205. [Google Scholar] [CrossRef]
- Saedi, Z.; Tangestaninejad, S.; Moghadam, M.; Mirkhani, V.; Mohammadpoor-Baltork, I. MIL-101 metal–organic framework: A highly efficient heterogeneous catalyst for oxidative cleavage of alkenes with H2O2. Catal. Commun. 2012, 17, 18–22. [Google Scholar] [CrossRef]
- Liu, J.Y.; Yu, H.J.; Wang, L.; Deng, Z.; Naveed, K.U.R.; Nazir, A.; Haq, F. Two-dimensional metal-organic frameworks nanosheets: Synthesis strategies and applications. Inorganica Chim. Acta 2018, 483, 550–564. [Google Scholar] [CrossRef]
- Ahmad, N.; Younus, H.A.; Chughtai, A.H.; Van Hecke, K.; Khattak, Z.A.K.; Zhang, G.K.; Danish, M.; Verpoort, F. Synthesis of 2D MOF having potential for efficient dye adsorption and catalytic applications. Catal. Sci. Technol. 2018, 8, 4010–4017. [Google Scholar] [CrossRef]
- Zhao, M.T.; Huang, Y.; Peng, Y.W.; Huang, Z.Q.; Ma, Q.L.; Zhang, H. Two-dimensional metal–organic framework nanosheets: Synthesis and applications. Chem. Soc. Rev. 2018, 47, 6267–6295. [Google Scholar] [CrossRef]
- Xu, W.J.; Liu, M.; Wang, S.F.; Peng, Z.K.; Shen, R.F.; Li, B.J. Interfacial ensemble effect of copper nanoparticles and nickel metal-organic framework on promoting hydrogen generation. Int. J. Hydrogen Energy 2022, 47, 23213–23220. [Google Scholar] [CrossRef]
- Tian, Y.S.; Cao, L.J.; Qin, P.P. Bimetal-organic framework derived high-valence-state Cu doped Co3O4 porous nanosheet arrays for efficient oxygen evolution and water splitting. ChemCatChem 2019, 11, 4420–4426. [Google Scholar] [CrossRef]
- Tan, C.L.; Cao, X.H.; Wu, X.J.; Wu, X.J.; He, Q.Y.; Yang, J.; Zhang, X.; Chen, J.Z.; Zhao, W.; Han, S.K.; et al. Recent advances in ultrathin two-dimensional nanomaterials. Chem. Rev. 2017, 117, 6225–6331. [Google Scholar] [CrossRef]
- Zhan, G.W.; Fan, L.L.; Zhao, F.G.; Huang, Z.L.; Chen, B.; Yang, X.; Zhou, S.F. Fabrication of ultrathin 2D Cu-BDC nanosheets and the derived integrated MOF nanocomposites. Adv. Funct. Mater. 2019, 29, 1806720. [Google Scholar] [CrossRef]
- Asadian, E.; Shahrokhian, S.; Zad, A. Highly sensitive nonenzymetic glucose sensing platform based on MOF-derived NiCo LDH nanosheets/graphene nanoribbons composite. J. Electroanal. Chem. 2018, 808, 114–123. [Google Scholar] [CrossRef]
- Wen, P.; Gong, P.W.; Sun, J.F.; Wang, J.Q.; Yang, S.R. Design and synthesis of Ni-MOF/CNT composites and rGO/carbon nitride composites for an asymmetric supercapacitor with high energy and power density. J. Mater. Chem. A 2015, 3, 13874–13883. [Google Scholar] [CrossRef]
- Zheng, X.J.; Song, X.Y.; Wang, X.M.; Zhang, Z.H.; Sun, Z.M.; Guo, Y.S. Nickel-copper bimetal organic framework nanosheets as a highly efficient catalyst for oxygen evolution reaction in alkaline media. New J. Chem. 2018, 42, 8346–8350. [Google Scholar] [CrossRef]
- Balamurugan, J.; Thanh, T.D.; Heo, S.B.; Kim, N.H.; Lee, J.H. Novel route to synthesis of N-doped graphene/Cu-Ni oxide composite for high electrochemical performance. Carbon 2015, 94, 962–970. [Google Scholar] [CrossRef]
- Dubal, D.P.; Gund, G.S.; Holze, R.; Jadhav, H.S.; Lokhande, C.D.; Park, C.J. Surfactant-assisted morphological tuning of hierarchical CuO thin films for electrochemical supercapacitors. Dalton Trans. 2013, 42, 6459–6467. [Google Scholar] [CrossRef]
- Yi, W.; Liu, J.; Chen, H.B.; Gao, Y.; Li, H.M. Copper/nickel nanoparticle decorated carbon nanotubes for nonenzymatic glucose biosensor. J. Solid State Electrochem. 2015, 19, 1511–1521. [Google Scholar] [CrossRef]
- Huang, B.; Wang, Y.; Lu, Z.W.; Du, H.J.; Ye, J.S. One pot synthesis of palladium-cobalt nanoparticles over carbon nanotubes as a sensitive non-enzymatic sensor for glucose and hydrogen peroxide detection. Sens. Actuators B Chem. 2017, 252, 1016–1025. [Google Scholar] [CrossRef]
- Archana, V.; Xia, Y.; Fang, R.Y.; Kumar, G.G. Hierarchical CuO/NiO-carbon nanocomposite derived from metal organic framework on cello tape for the flexible and high performance nonenzymatic electrochemical glucose sensors. ACS Sustain. Chem. Eng. 2019, 7, 6707–6719. [Google Scholar] [CrossRef]
- Li, X.L.; Yao, J.Y.; Liu, F.L.; He, H.C.; Zhou, M.; Mao, N.; Xiao, P.; Zhang, Y.H. Nickel/Copper nanoparticles modified TiO2 nanotubes for non-enzymatic glucose biosensors. Sens. Actuators B Chem. 2013, 181, 501–508. [Google Scholar] [CrossRef]
- Niu, Q.Q.; Lu, W.B.; Bao, C.C.; Wei, M.; Chen, Z.A.; Jia, J.F. Glucose-sensing abilities of mixed-metal (Ni-Co) Prussian blue analogs hollow nanocubes. J. Electroanal. Chem. 2020, 874, 114507. [Google Scholar] [CrossRef]
- Vilana, J.; Lorenzo, M.; Gomez, E.; Valles, E. Electrochemical deposition of CoNi micro/nanostructures as new materials for electrochemical sensing of glucose. Mater. Lett. 2015, 159, 154–158. [Google Scholar] [CrossRef]
- Sun, Q.Q.; Zhang, Y.Y.; Gao, P.P.; Pu, H.C.; Yin, M.; Liang, X.L.; Yin, W.; Fa, H.B. Three-dimensional NiO/Co3O4@C composite for high-performance non-enzymatic glucose sensor. Anal. Sci. 2023, 39, 33–42. [Google Scholar] [CrossRef] [PubMed]
- Li, X.; Dong, H.; Fan, Q.L.; Chen, K.; Sun, D.K.; Hu, T.; Ni, Z.H. One-pot, rapid microwave-assisted synthesis of bimetallic meta-organic framework for efficient enzyme-free glucose detection. Microchem. J. 2022, 179, 107468. [Google Scholar] [CrossRef]














| Electrode | Sensitivity (μA mM−1 cm−2) | Linear Range (mM) | Detection Limit (μM) | References |
|---|---|---|---|---|
| CuNi-MOFNs | 702 | 0.01–4 | 3.33 | This work |
| CuO/NiO-C/CT | 586.7 | 0.0001–4.5 | 0.037 | [43] |
| Ni-Cu/TiO2 NTs | 1590.9 | 0.01–3.2 | 5 | [44] |
| Ni-Co PBA HNCs | 149 | 0.002–3.79 | 1.2 | [45] |
| Co-Ni nanorods | 544 | 0.1–1 | ~ | [46] |
| NiO/Co3O4@C | 690 | 0.005–4 | 2.28 | [47] |
| Co/Zn-MOF | 833.6 | up to 5 | 6.5 | [48] |
Disclaimer/Publisher’s Note: The statements, opinions and data contained in all publications are solely those of the individual author(s) and contributor(s) and not of MDPI and/or the editor(s). MDPI and/or the editor(s) disclaim responsibility for any injury to people or property resulting from any ideas, methods, instructions or products referred to in the content. |
© 2023 by the authors. Licensee MDPI, Basel, Switzerland. This article is an open access article distributed under the terms and conditions of the Creative Commons Attribution (CC BY) license (https://creativecommons.org/licenses/by/4.0/).
Share and Cite
Yao, Z.; Zhang, L.; Wu, T.; Song, H.; Tang, C. Two-Dimensional Copper/Nickel Metal–Organic Framework Nanosheets for Non-Enzymatic Electrochemical Glucose Detection. Micromachines 2023, 14, 1896. https://doi.org/10.3390/mi14101896
Yao Z, Zhang L, Wu T, Song H, Tang C. Two-Dimensional Copper/Nickel Metal–Organic Framework Nanosheets for Non-Enzymatic Electrochemical Glucose Detection. Micromachines. 2023; 14(10):1896. https://doi.org/10.3390/mi14101896
Chicago/Turabian StyleYao, Zhou, Libing Zhang, Ting Wu, Haijun Song, and Chengli Tang. 2023. "Two-Dimensional Copper/Nickel Metal–Organic Framework Nanosheets for Non-Enzymatic Electrochemical Glucose Detection" Micromachines 14, no. 10: 1896. https://doi.org/10.3390/mi14101896
APA StyleYao, Z., Zhang, L., Wu, T., Song, H., & Tang, C. (2023). Two-Dimensional Copper/Nickel Metal–Organic Framework Nanosheets for Non-Enzymatic Electrochemical Glucose Detection. Micromachines, 14(10), 1896. https://doi.org/10.3390/mi14101896

