Numerical Model Validation of the Blood Flow through a Microchannel Hyperbolic Contraction
Abstract
:1. Introduction
2. Materials and Methods
2.1. Experimental Setup
2.2. Numerical Setup
3. Results and Discussion
3.1. Fluid Flow within the Hyperbolic Contraction
3.2. Fluid Flow at the End and Downstream of the Hyperbolic Contraction
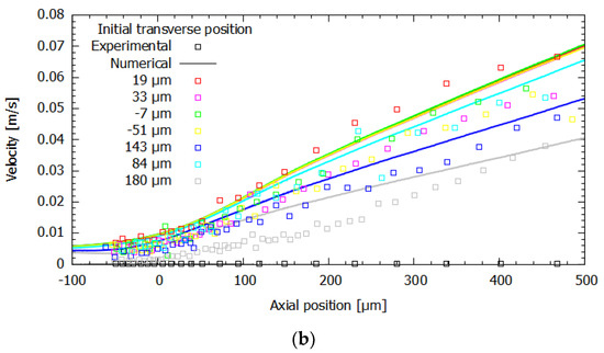
3.3. Tranverse Velocity Profiles within the Hyperbolic Contraction
4. Conclusions
Author Contributions
Funding
Acknowledgments
Conflicts of Interest
References
- Tomaiuolo, G.; Guido, S. Start-up shape dynamics of red blood cells in microcapillary flow. Microvasc. Res. 2011, 82, 35–41. [Google Scholar] [CrossRef] [PubMed]
- Lima, R.; Ishikawa, T.; Imai, Y.; Yamaguchi, T. Blood Flow Behavior in Microchannels: Past, Current and Future Trends. In Single and two-Phase Flows on Chemical and Biomedical Engineering; Bentham Science: Sharjah, United Arab Emirates, 2012; pp. 513–547. [Google Scholar]
- Henon, Y.; Sheard, G.J.; Fouras, A. Erythrocyte deformation in a microfluidic cross-slot channel. RSC Adv. 2014, 4, 36079–36088. [Google Scholar] [CrossRef]
- Lee, S.S.; Yim, Y.; Ahn, K.H.; Lee, S.J. Extensional flow-based assessment of red blood cell deformability using hyperbolic converging microchannel. Biomed. Microdevices 2009, 11, 1021–1027. [Google Scholar] [CrossRef] [PubMed]
- Kim, Y.; Kim, K.; Park, Y. Measurement Techniques for Red Blood Cell Deformability: Recent Advances. In Blood Cell—An Overview of Studies in Hematology; InTech: Orlando, FL, USA, 2012. [Google Scholar] [CrossRef]
- Shevkoplyas, S.S.; Yoshida, T.; Gifford, S.C.; Bitensky, M.W. Direct measurement of the impact of impaired erythrocyte deformability on microvascular network perfusion in a microfluidic device. Lab a Chip 2006, 6, 914–920. [Google Scholar] [CrossRef]
- Quinn, D.J.; Pivkin, I.; Wong, S.Y.; Chiam, K.-H.; Dao, M.; Karniadakis, G.E.; Suresh, S. Combined Simulation and Experimental Study of Large Deformation of Red Blood Cells in Microfluidic Systems. Ann. Biomed. Eng. 2011, 39, 1041–1050. [Google Scholar] [CrossRef] [PubMed]
- Fujiwara, H.; Ishikawa, T.; Lima, R.; Matsuki, N.; Imai, Y.; Kaji, H.; Nishizawa, M.; Yamaguchi, T. Red blood cell motions in high-hematocrit blood flowing through a stenosed microchannel. J. Biomech. 2009, 42, 838–843. [Google Scholar] [CrossRef] [PubMed]
- Kriebel, J.; Gonçalves, I.M.; Baptista, V.; Veiga, M.I.; Minas, G.; Lima, R.; Catarino, S.O. Extensional flow for assessing the effect of nanocarriers on the mechanical deformability of red blood cells. Exp. Therm. Fluid Sci. 2023, 146, 110931. [Google Scholar] [CrossRef]
- Pinho, D.; Faustino, V.; Catarino, S.O.; Pereira, A.I.; Minas, G.; Pinho, F.T.; Lima, R. Label-free multi-step microfluidic device for mechanical characterization of blood cells: Diabetes type II. Micro Nano Eng. 2022, 16, 100149. [Google Scholar] [CrossRef]
- Bento, D.; Rodrigues, R.O.; Faustino, V.; Pinho, D.; Fernandes, C.S.; Pereira, A.I.; Garcia, V.; Miranda, J.M.; Lima, R. Deformation of Red Blood Cells, Air Bubbles, and Droplets in Microfluidic Devices: Flow Visualizations and Measurements. Micromachines 2018, 9, 151. [Google Scholar] [CrossRef]
- Kucukal, E.; Man, Y.; Hill, A.; Liu, S.; Bode, A.; An, R.; Kadambi, J.; Little, J.A.; Gurkan, U.A. Whole blood viscosity and red blood cell adhesion: Potential biomarkers for targeted and curative therapies in sickle cell disease. Am. J. Hematol. 2020, 95, 1246–1256. [Google Scholar] [CrossRef]
- Faustino, V.; Rodrigues, R.O.; Pinho, D.; Costa, E.; Santos-Silva, A.; Miranda, V.; Amaral, J.S.; Lima, R. A Microfluidic Deformability Assessment of Pathological Red Blood Cells Flowing in a Hyperbolic Converging Microchannel. Micromachines 2019, 10, 645. [Google Scholar] [CrossRef] [PubMed]
- Shelby, J.P.; White, J.; Ganesan, K.; Rathod, P.K.; Chiu, D.T. A microfluidic model for single-cell capillary obstruction by Plasmodium falciparum -infected erythrocytes. Proc. Natl. Acad. Sci. 2003, 100, 14618–14622. [Google Scholar] [CrossRef] [PubMed]
- Boas, L.V.; Faustino, V.; Lima, R.; Miranda, J.M.; Minas, G.; Fernandes, C.S.V.; Catarino, S.O. Assessment of the Deformability and Velocity of Healthy and Artificially Impaired Red Blood Cells in Narrow Polydimethylsiloxane (PDMS) Microchannels. Micromachines 2018, 9, 384. [Google Scholar] [CrossRef] [PubMed]
- Forsyth, A.M.; Wan, J.; Ristenpart, W.D.; Stone, H.A. The dynamic behavior of chemically “stiffened” red blood cells in microchannel flows. Microvasc. Res. 2010, 80, 37–43. [Google Scholar] [CrossRef]
- Sosa, J.M.; Nielsen, N.D.; Vignes, S.M.; Chen, T.G.; Shevkoplyas, S.S. The relationship between red blood cell deformability metrics and perfusion of an artificial microvascular network. Clin. Hemorheol. Microcirc. 2014, 57, 275–289. [Google Scholar] [CrossRef]
- Bow, H.; Pivkin, I.V.; Diez-Silva, M.; Goldfless, S.J.; Dao, M.; Niles, J.C.; Suresh, S.; Han, J. A microfabricated deformability-based flow cytometer with application to malaria. Lab a Chip 2011, 11, 1065–1073. [Google Scholar] [CrossRef]
- Mishra, P.; Hill, M.; Glynne-Jones, P. Deformation of red blood cells using acoustic radiation forces. Biomicrofluidics 2014, 8, 034109. [Google Scholar] [CrossRef]
- Rodrigues, R.O.; Lopes, R.; Pinho, D.; Pereira, A.I.; Garcia, V.; Gassmann, S.; Sousa, P.C.; Lima, R. In vitro blood flow and cell-free layer in hyperbolic microchannels: Visualizations and measurements. BioChip J. 2016, 10, 9–15. [Google Scholar] [CrossRef]
- Imai, Y.; Omori, T.; Shimogonya, Y.; Yamaguchi, T.; Ishikawa, T. Numerical methods for simulating blood flow at macro, micro, and multi scales. J. Biomech. 2016, 49, 2221–2228. [Google Scholar] [CrossRef]
- Zeng, N.F.; Ristenpart, W.D. Mechanical response of red blood cells entering a constriction. Biomicrofluidics 2014, 8, 064123. [Google Scholar] [CrossRef]
- Lima, R.; Wada, S.; Tanaka, S.; Takeda, M.; Ishikawa, T.; Tsubota, K.-I.; Imai, Y.; Yamaguchi, T. In vitro blood flow in a rectangular PDMS microchannel: Experimental observations using a confocal micro-PIV system. Biomed. Microdevices 2008, 10, 153–167. [Google Scholar] [CrossRef] [PubMed]
- Laudon, M.B.; Romanowicz, F.; Nano Science and Technology Institute. Red Blood Cell Deformation in flows through a PDMS Hyperbolic Microchannel. In Proceedings of the TechConnect World 2011, Boston, MA, USA, 2011; NSTI-Nanotech. Volume 2. [Google Scholar]
- Yaginuma, T.; Oliveira, M.S.N.; Lima, R.; Ishikawa, T.; Yamaguchi, T. Human red blood cell behavior under homogeneous extensional flow in a hyperbolic-shaped microchannel. Biomicrofluidics 2013, 7, 54110. [Google Scholar] [CrossRef] [PubMed]
- Gossett, D.R.; Tse, H.T.K.; Lee, S.A.; Ying, Y.; Lindgren, A.G.; Yang, O.O.; Rao, J.; Clark, A.T.; Di Carlo, D. Hydrodynamic stretching of single cells for large population mechanical phenotyping. Proc. Natl. Acad. Sci. USA 2012, 109, 7630–7635. [Google Scholar] [CrossRef] [PubMed]
- Piergiovanni, M.; Galli, V.; Holzner, G.; Stavrakis, S.; DeMello, A.; Dubini, G. Deformation of leukaemia cell lines in hyperbolic microchannels: Investigating the role of shear and extensional components. Lab a Chip 2020, 20, 2539–2548. [Google Scholar] [CrossRef]
- Foster, K.M.; Papavassiliou, D.V.; O’rear, E.A. Elongational Stresses and Cells. Cells 2021, 10, 2352. [Google Scholar] [CrossRef]
- Gracka, M.; Lima, R.; Miranda, J.M.; Student, S.; Melka, B.; Ostrowski, Z. Red blood cells tracking and cell-free layer formation in a microchannel with hyperbolic contraction: A CFD model validation. Comput. Methods Programs Biomed. 2022, 226, 107117. [Google Scholar] [CrossRef]
- Faustino, V.; Pinho, D.; Catarino, S.O.; Minas, G.; Lima, R.A. Geometry effect in multi-step crossflow microfluidic devices for red blood cells separation and deformability assessment. Biomed. Microdevices 2022, 24, 20. [Google Scholar] [CrossRef]
- Calejo, J.; Pinho, D.; Galindo-Rosales, F.J.; Lima, R.; Campo-Deaño, L. Particulate Blood Analogues Reproducing the Erythrocytes Cell-Free Layer in a Microfluidic Device Containing a Hyperbolic Contraction. Micromachines 2015, 7, 4. [Google Scholar] [CrossRef]
- Pinho, D.; Campo-Deaño, L.; Lima, R.; Pinho, F.T. In vitro particulate analogue fluids for experimental studies of rheological and hemorheological behavior of glucose-rich RBC suspensions. Biomicrofluidics 2017, 11, 054105. [Google Scholar] [CrossRef]
- Gonçalves, I.M.; Castro, I.; Barbosa, F.; Faustino, V.; Catarino, S.O.; Moita, A.; Miranda, J.M.; Minas, G.; Sousa, P.C.; Lima, R. Experimental Characterization of a Microfluidic Device Based on Passive Crossflow Filters for Blood Fractionation. Processes 2022, 10, 2698. [Google Scholar] [CrossRef]
- Oliveira, M.S.N.; Alves, M.A.; Pinho, F.T.; McKinley, G.H. Viscous flow through microfabricated hyperbolic contractions. Exp. Fluids 2007, 43, 437–451. [Google Scholar] [CrossRef]
- Miranda, I.; Souza, A.; Sousa, P.; Ribeiro, J.; Castanheira, E.M.S.; Lima, R.; Minas, G. Properties and Applications of PDMS for Biomedical Engineering: A Review. J. Funct. Biomater. 2021, 13, 2. [Google Scholar] [CrossRef] [PubMed]
- ANSYS. Ansys Fluent Workbench Tutorial Guide; ANSYS: Canonsburg, PA, USA, 2021; Volume R2. [Google Scholar]
- Tripathi, S.; Kumar, A.; Kumar, Y.V.B.V.; Agrawal, A. Three-dimensional hydrodynamic flow focusing of dye, particles and cells in a microfluidic device by employing two bends of opposite curvature. Microfluid. Nanofluidics 2016, 20, 34. [Google Scholar] [CrossRef]
- Zielińska, M.; Sitko, A. Unsteady Disposable Flow Tracking Using Discrete Phase Model. Heat Transf. Eng. 2021, 43, 397–409. [Google Scholar] [CrossRef]











| Channel | Pros | Cons |
|---|---|---|
| Cross-shaped Channel | Bounded flow enhances flow stability | Trajectory focusing is required |
| Stagnation point-trapped cells are ideal for observation | Only one cell is present at a time within the stagnation zone | |
| The extensional rate magnitude can be easily regulated | There exists a restricted area of purely extensional flow | |
| Sudden/smooth Constriction | Easily producible | There exists a restricted area of purely extensional flow |
| High-throughput approach | Trajectory focusing is required | |
| The magnitude of the extensional rate can be easily controlled | At high flow rates and pressures, it is difficult to perform flow measurements and leakage is likely to happen | |
| Hyperbolic Constriction | The magnitude of the extensional rate can be easily controlled and manipulated | There exists a restricted area of purely extensional flow |
| Nearly constant strain rate | Trajectory focusing is required | |
| High-throughput approach | At high flow rates and pressures, is difficult to perform flow measurements and leakage is likely to happen |
| Parameter | Symbol | Dimensions |
|---|---|---|
| Upstream and downstream widths | wu | 406 µm |
| Minimum width of contraction | wc | 17 µm |
| Length of contraction | Lc | 780 µm |
| Microchannel depth | h | 60 µm |
| Inlet and outlet lengths | L | 500 µm |
| Flow rate | Q | (7.9 × 10−3, 0.035, 0.265) mL/h |
| Mean diameter of human RBC at rest | dp | 8 µm |
| Dx40 shear viscosity | 4.5 × 10−3 Pa s | |
| Dx40 density | 1046 kg/m3 | |
| Hematocrit of the working fluid | 1% | |
| Temperature | 37 °C | |
| Camera frame rate | 4800–13,000 fps | |
| Frame interval | 77–208 µs |
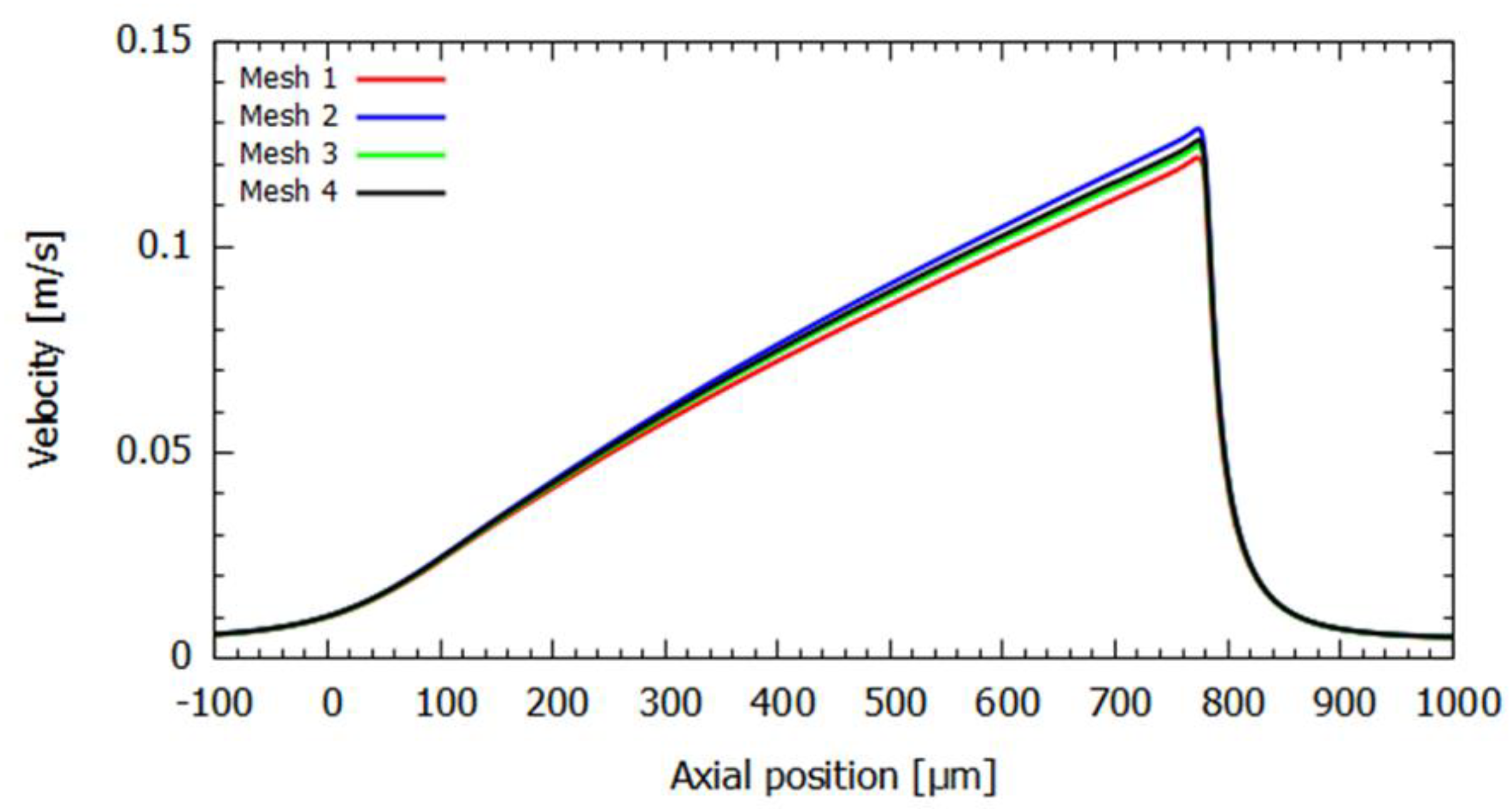
| Characteristics | Mesh | Advised Value | |||
|---|---|---|---|---|---|
| 1 | 2 | 3 | 4 | ||
| Nodes | 97,125 | 524,271 | 1,948,023 | 2,524,802 | --- |
| Elements | 80,520 | 468,000 | 1,832,000 | 2,386,560 | --- |
| Aspect Ratio | 6.022 | 6.180 | 4.327 | 4.671 | <100 |
| Skewness | 3.398 × 10−2 | 2.537 × 10−2 | 1.980 × 10−2 | 2.347 × 10−2 | <0.75 |
| Orthogonal Quality | 0.982 | 0.988 | 0.992 | 0.989 | >0.70 |
| Parameter | Mesh Used (3) | Mesh 1 | Mesh 2 | Mesh 4 |
|---|---|---|---|---|
| Strain Rate | 149.74 | 145.51 | 153.61 | 151.01 |
| Error | --- | 2.82 | 2.58 | 0.85 |
| Flow Rate [ml/h] | Experimental | Numerical | Error (%) | ||
|---|---|---|---|---|---|
| Strain Rate | R2 | Mean Strain Rate | Strain Rate | ||
| 0.0079 | 3.970 | 0.971 | 4.116 | 4.402 | 6.950 |
| 4.633 | 0.986 | ||||
| 3.744 | 0.971 | ||||
| 0.035 | 18.528 | 0.993 | 18.000 | 18.762 | 4.233 |
| 17.806 | 0.994 | ||||
| 17.666 | 0.996 | ||||
| 0.265 | 127.537 | 0.997 | 120.824 | 121.296 | 0.390 |
| 110.152 | 0.996 | ||||
| 124.784 | 0.997 | ||||
Disclaimer/Publisher’s Note: The statements, opinions and data contained in all publications are solely those of the individual author(s) and contributor(s) and not of MDPI and/or the editor(s). MDPI and/or the editor(s) disclaim responsibility for any injury to people or property resulting from any ideas, methods, instructions or products referred to in the content. |
© 2023 by the authors. Licensee MDPI, Basel, Switzerland. This article is an open access article distributed under the terms and conditions of the Creative Commons Attribution (CC BY) license (https://creativecommons.org/licenses/by/4.0/).
Share and Cite
Barbosa, F.; Dueñas-Pamplona, J.; Abreu, C.S.; Oliveira, M.S.N.; Lima, R.A. Numerical Model Validation of the Blood Flow through a Microchannel Hyperbolic Contraction. Micromachines 2023, 14, 1886. https://doi.org/10.3390/mi14101886
Barbosa F, Dueñas-Pamplona J, Abreu CS, Oliveira MSN, Lima RA. Numerical Model Validation of the Blood Flow through a Microchannel Hyperbolic Contraction. Micromachines. 2023; 14(10):1886. https://doi.org/10.3390/mi14101886
Chicago/Turabian StyleBarbosa, Filipe, Jorge Dueñas-Pamplona, Cristiano S. Abreu, Mónica S. N. Oliveira, and Rui A. Lima. 2023. "Numerical Model Validation of the Blood Flow through a Microchannel Hyperbolic Contraction" Micromachines 14, no. 10: 1886. https://doi.org/10.3390/mi14101886
APA StyleBarbosa, F., Dueñas-Pamplona, J., Abreu, C. S., Oliveira, M. S. N., & Lima, R. A. (2023). Numerical Model Validation of the Blood Flow through a Microchannel Hyperbolic Contraction. Micromachines, 14(10), 1886. https://doi.org/10.3390/mi14101886

