Dual-Band MIMO Antenna with Enhanced Isolation for 5G NR Application
Abstract
:1. Introduction
2. Antenna Design and Analysis
2.1. Antenna Geometry
2.2. Design Process
2.3. Parametric Study
2.4. Current Distribution
3. Results and Discussion
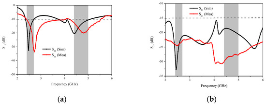
3.1. S-Parameters
3.2. Radiation Pattern
4. The Performance Evaluation of MIMO Antenna Systems
4.1. The Realized Peak Gain and Efficiency
4.2. Envelope Correlation Coefficient and Diversity Gain
5. Conclusions
Author Contributions
Funding
Institutional Review Board Statement
Informed Consent Statement
Data Availability Statement
Conflicts of Interest
References
- Garg, P.; Jain, P. Isolation improvement of MIMO antenna using a novel flower shaped metamaterial absorber at 5.5 GHz WiMAX band. IEEE Trans. Circuits Syst. II Express Briefs 2020, 67, 675–679. [Google Scholar] [CrossRef]
- Altaf, A.; Iqbal, A.; Smida, A.; Smida, J.; Althuwayb, A.A.; Hassan, K.S.; Alibakhshikenari, M.; Falcone, F.; Limiti, E. Isolation improvement in UWB-MIMO antenna system using slotted stub. Electronics 2020, 9, 1582. [Google Scholar] [CrossRef]
- Zhou, J.Y.; Wang, Y.F.; Xu, J.M.; Du, C.Z. A CPW-fed UWB-MIMO antenna with high isolation and dual band-notched characteristic. Prog. Electromagn. Res. M 2021, 102, 27–37. [Google Scholar] [CrossRef]
- Kulkarni, J.; Desaim, A.; Sim, C.Y.D. Wideband four-port MIMO antenna array with high isolation for future wireless systems. AEU Int. J. Electron. Commun. 2021, 128, 1434–8411. [Google Scholar] [CrossRef]
- Sehrai, D.A.; Asifm, M.; Shoaib, N.; Ibrar, M.; Jan, S.; Alibakhshikenari, M.; Lalbakhsh, A.; Limiti, E. Compact quad-element high-isolation wideband MIMO antenna for mm-wave applications. Electronics 2021, 10, 1300. [Google Scholar] [CrossRef]
- Liu, Y.; Yang, X.; Jia, Y. A low correlation and mutual coupling MIMO antenna. IEEE Access 2019, 7, 127384–127392. [Google Scholar] [CrossRef]
- Yang, Q.C.; Zhang, C.B.; Cai, Q.B.; Loh, T.H.; Liu, G. A MIMO antenna with high gain and enhanced isolation for WLAN applications. Appl. Sci. 2022, 12, 2279. [Google Scholar] [CrossRef]
- Pannu, P.; Devendra, S.K. Miniaturize four-port UWB-MIMO antenna with tri-notched band characteristics. Microw. Opt. Technol. Lett. 2021, 63, 1489–1498. [Google Scholar] [CrossRef]
- Rekha, V.S.D.; Pardhasaradhi, P.; Madhav, B.T.P.; Devi, Y.U. Dual band notched orthogonal 4-element MIMO antenna with isolation for UWB applications. IEEE Access 2020, 8, 145871–145880. [Google Scholar] [CrossRef]
- Huang, J.; Dong, G.; Cai, J.; Li, H.; Liu, G. A quad-port dual-band MIMO antenna array for 5G smartphone applications. Electronics 2021, 10, 542. [Google Scholar] [CrossRef]
- Ren, Z.; Zhao, A. Dual-band MIMO antenna with compact self-decoupled antenna pairs for 5G mobile applications. IEEE Access 2019, 7, 82288–82296. [Google Scholar] [CrossRef]
- De-sai, A.; Upadhyaya, T.; Palandoken, M.; Gocen, C. Dual band transparent antenna for wireless MIMO system applications. Microw. Opt. Technol. Lett. 2019, 61, 1845–1856. [Google Scholar] [CrossRef]
- Kiani, S.H.; Altaf, A.; Abdullah, M.; Muhammad, F.; Blaauskas, T. Eight element side edged framed MIMO antenna array for future 5G smartphones. Micromachines 2020, 11, 956. [Google Scholar] [CrossRef] [PubMed]
- Dong, G.T.; Huang, J.L.; Chen, Z.Z.; Liu, G. A compact planar dual band two-port MIMO antenna with high isolation and efficiency. Int. J. RF Microw. Comput. Aided Eng. 2022, 32, e23245. [Google Scholar] [CrossRef]
- Thummaluru, S.R.; Kumar, R.; Chaudhary, R.K. Isolation and frequency reconfigurable compact MIMO antenna for wireless local area network aplications. IET Microw. Antennas Propag. 2019, 13, 519–525. [Google Scholar] [CrossRef]
- Sipal, D.; Abegaonkar, M.P.; Koul, S.K. Highly isolated compact planar dual-band antenna with pattern diversity characteristic for MIMO terminals. IEEE Antennas Wirel. Propag. Lett. 2019, 18, 762–766. [Google Scholar] [CrossRef]
- Naidu, P.V.; Nhanekula, M.B.; Almustafa, K.M. Design and performance analysis of MAZE shaped quad port ACS fed tri band MIMO antenna for V2V and multiband applications. AEU Int. J. Electron. Commun. 2021, 134, 153676. [Google Scholar] [CrossRef]
- Kannappan, L.; Palaniswamy, S.K.; Wang, L.; Kanagasabai, M.; Kumar, S.; Alsath, M.G.N.; Rao, T.R. Quad-port multiservice diversity antenna for automotive applications. Sensors 2021, 21, 8238. [Google Scholar] [CrossRef] [PubMed]
- Du, C.Z.; Zhao, Z.L. A CPW-fed dual-band MIMO antenna with enhanced isolation for 5G application. Prog. Electromagn. Res. M. 2020, 98, 11–20. [Google Scholar] [CrossRef]
- Chen, H.D.; Tsai, Y.C.; Sim, C.Y.D.; Kuo, C. Broadband eight-antenna array design for Sub-6 GHz 5G NR bands metal-frame smartphone applications. IEEE Antennas Wirel. Propag. Lett. 2022, 19, 1078–1082. [Google Scholar] [CrossRef]











| Parameter | W1 | W2 | W3 | W4 | W5 | W6 |
| Value | 2 | 6.75 | 3.5 | 4.75 | 3.4 | 3.9 |
| Parameter | W7 | W8 | H1 | H2 | H3 | H4 |
| Value | 1.5 | 4.34 | 2.5 | 12.05 | 18 | 1.5 |
| Parameter | H5 | H6 | D1 | D2 | D3 | D4 |
| Value | 6.5 | 4 | 0.5 | 1 | 0.5 | 0.4 |
| Parameter | D5 | R1 | R2 | W | L | |
| Value | 0.5 | 6.2 | 9 | 41 | 30 |
| Ref. | Operating Bands (GHz) | Isolation (dB) | ECC | Gain (dBi) | Size (mm3) |
|---|---|---|---|---|---|
| [7] | 2.25–2.9 5.05–6.025 | >19.3 | <0.03 | 2.4 and 3.8 | 50 × 50 × 1.6 |
| [12] | 2.23–2.46 3.22–4.04 | >12 | 10−5 and 0.002 | 3.6 and 7.1 | 105 × 105 × 1.83 |
| [13] | 2.5–2.7 4.8–5.0 | 17.96 and 20.1 | 0.006 and 0.12 | 4.35 and 4.6 | 38.5 × 38.5 × 1.59 |
| [15] | 2.4–2.5 5.1–5.8 | 15 | <0.2 | 1.5 and 1.5 | 38 × 38 × 1.6 |
| [16] | 2.3–2.5 5–5.2 | 20 and 20 | <0.05 | 1.28 and 2.1 | 38 × 42 × 0.8 |
| [17] | 2.25–2.41 4.7–6.25 | >18 | <0.2 | 1.7 and 3 | 48 × 48 × 1.6 |
| This work | 2.34–2.71 3.72–5.10 | 21 and 18 | <0.005 and <0.001 | 3 and 3.8 | 41 × 30 × 1.59 |
Disclaimer/Publisher’s Note: The statements, opinions and data contained in all publications are solely those of the individual author(s) and contributor(s) and not of MDPI and/or the editor(s). MDPI and/or the editor(s) disclaim responsibility for any injury to people or property resulting from any ideas, methods, instructions or products referred to in the content. |
© 2022 by the authors. Licensee MDPI, Basel, Switzerland. This article is an open access article distributed under the terms and conditions of the Creative Commons Attribution (CC BY) license (https://creativecommons.org/licenses/by/4.0/).
Share and Cite
Xi, S.; Cai, J.; Shen, L.; Li, Q.; Liu, G. Dual-Band MIMO Antenna with Enhanced Isolation for 5G NR Application. Micromachines 2023, 14, 95. https://doi.org/10.3390/mi14010095
Xi S, Cai J, Shen L, Li Q, Liu G. Dual-Band MIMO Antenna with Enhanced Isolation for 5G NR Application. Micromachines. 2023; 14(1):95. https://doi.org/10.3390/mi14010095
Chicago/Turabian StyleXi, Shuqi, Jing Cai, Lingrong Shen, Qiangjuan Li, and Gui Liu. 2023. "Dual-Band MIMO Antenna with Enhanced Isolation for 5G NR Application" Micromachines 14, no. 1: 95. https://doi.org/10.3390/mi14010095
APA StyleXi, S., Cai, J., Shen, L., Li, Q., & Liu, G. (2023). Dual-Band MIMO Antenna with Enhanced Isolation for 5G NR Application. Micromachines, 14(1), 95. https://doi.org/10.3390/mi14010095

