Fabrication and Characterization of In0.53Ga0.47As/InAs/In0.53Ga0.47As Composite Channel Metamorphic HEMTs (mHEMTs) on a GaAs Substrate
Abstract
1. Introduction
2. Layer Structure and Experiments
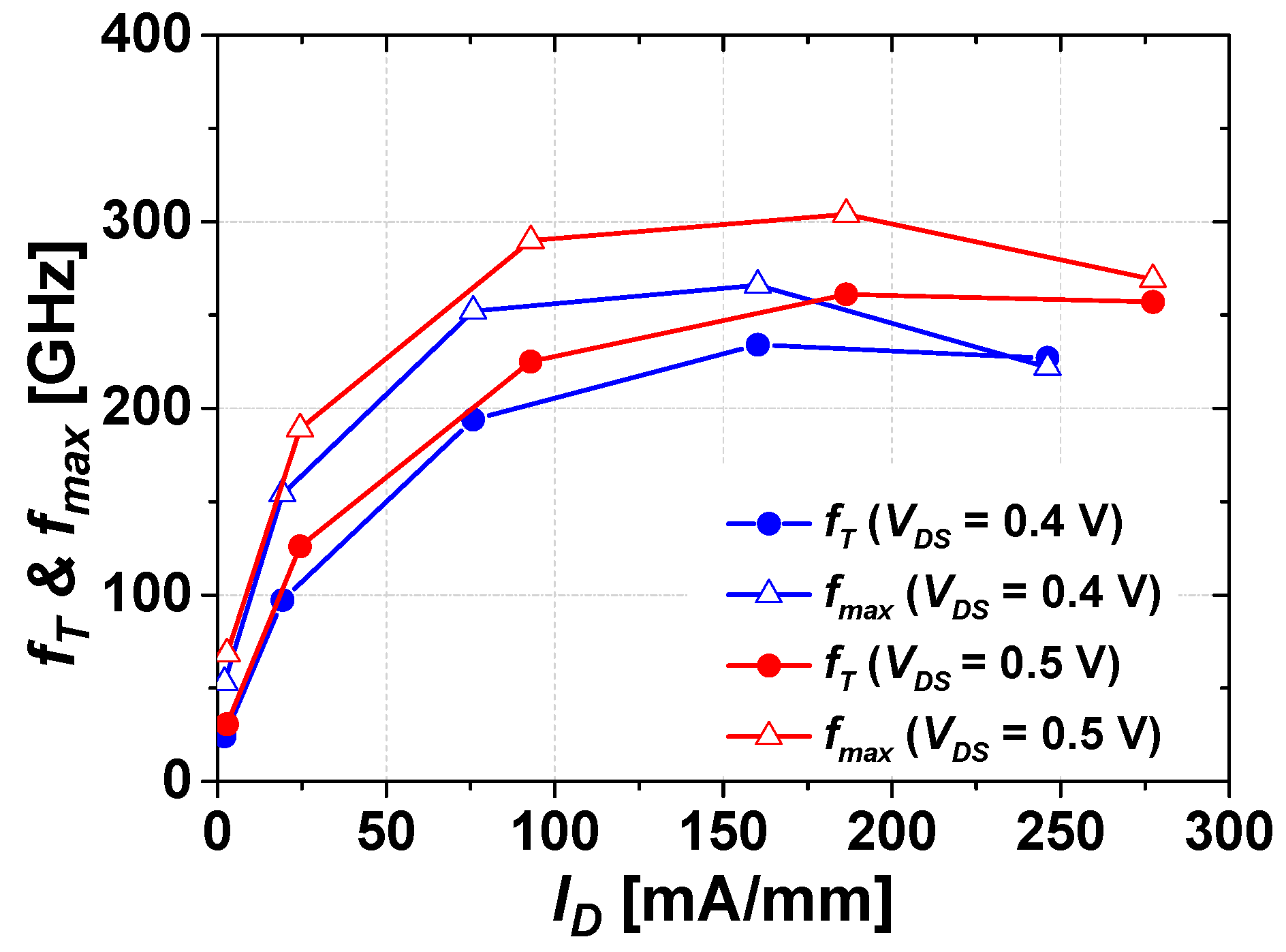
3. Results and Discussion
4. Conclusions
Author Contributions
Funding
Conflicts of Interest
References
- Jo, H.-B.; Yun, S.-W.; Kim, J.-G.; Yun, D.-Y.; Lee, I.-G.; Kim, D.-H.; Kim, T.-W.; Kim, S.-K.; Yun, J.; Kim, T.; et al. Lg = 19 nm In0.8Ga0.2As composite-channel HEMTs with ft = 738 GHz and fmax = 492 GHz. In Proceedings of the 2020 IEEE International Electron Devices Meeting (IEDM), San Francisco, CA, USA, 12–18 December 2020. [Google Scholar]
- Kim, D.-H.; del Alamo, J.A. 30-nm InAs PHEMTs With fT = 644 GHz and fmax = 681 GHz. IEEE Electron Device Lett. 2010, 31, 806–808. [Google Scholar]
- Mei, X.; Yoshida, W.; Lange, M.; Lee, J.; Zhou, J.; Liu, P.-H.; Leong, K.; Zamora, A.; Padilla, J.; Sarkozy, S.; et al. First Demonstration of amplification at 1 THz using 25-nm InP high electron mobility transistor process. IEEE Electron Device Lett. 2015, 36, 327–329. [Google Scholar] [CrossRef]
- Shin, C.-S.; Park, W.-K.; Shin, S.H.; Cho, Y.D.; Ko, D.H.; Kim, T.-W.; Koh, D.H.; Kwon, H.M.; Hill, R.J.; Kirsch, P.; et al. Sub-100 nm regrown S/D gate-last In0.7Ga0.3As QW MOSFETs with μn, eff > 5,500 cm2/v-S. In Proceedings of the 2014 Symposium on VLSI Technology (VLSI-Technology): Digest of Technical Papers, Honolulu, HI, USA, 9–12 June 2014. [Google Scholar]
- Jo, H.-B.; Lee, I.-G.; Baek, J.-M.; Lee, S.T.; Choi, S.-M.; Kim, H.-J.; Jeong, H.-S.; Park, W.-S.; Yoo, J.; Lee, H.-Y.; et al. Lg = 130 nm GAA MBCFETs with three-level stacked In0.53Ga0.47As nanosheets. In Proceedings of the 2022 IEEE Symposium on VLSI Technology and Circuits (VLSI Technology and Circuits), Honolulu, HI, USA, 12–17 June 2022. [Google Scholar]
- Kim, T.-W.; Kim, D.-H.; Koh, D.H.; Kwon, H.M.; Baek, R.H.; Veksler, D.; Huffman, C.; Matthews, K.; Oktyabrsky, S.; Greene, A.; et al. Sub-100 nm InGaAs quantum-well (QW) tri-gate MOSFETs with Al2O3/HfO2 (EOT < 1 nm) for low-power logic applications. In Proceedings of the 2013 IEEE International Electron Devices Meeting, Washington, DC, USA, 9–11 December 2013. [Google Scholar]
- Park, S.; Kim, D.-K.; Cho, Y.-D.; Shim, J.-P.; Shin, C.-S.; Shin, S.H. Demonstration of high performance flexible In0.7Ga0.3As MOSFETs using liquid polyimide (LPI) transfer. IEEE Electron Device Lett. 2022, 43, 858–861. [Google Scholar] [CrossRef]
- Leuther, A.; Weber, R.; Dammann, M.; Schlechtweg, M.; Mikulla, M.; Walther, M.; Weimann, G. Metamorphic 50 nm InAs-channel HEMT. In Proceedings of the International Conference on Indium Phosphide and Related Materials, Glasgow, UK, 8–12 May 2005. [Google Scholar]
- Kim, D.-H.; Brar, B.; del Alamo, J.A. Ft = 688 GHz and Fmax = 800 GHz in Lg = 40 nm In0.7Ga0.3As MHEMTs with Gm_max > 2.7 ms/µm. In Proceedings of the 2011 International Electron Devices Meeting, Washington, DC, USA, 5–7 December 2011. [Google Scholar]
- Komiak, J.J.; Smith, P.M.; Duh, K.H.; Xu, D.; Chao, P.C. Metamorphic HEMT technology for microwave, millimeter-wave, and submillimeter-wave applications. In Proceedings of the 2013 IEEE Compound Semiconductor Integrated Circuit Symposium (CSICS), Monterey, CA, USA, 13–16 October 2013. [Google Scholar]
- Leuther, A.; Tessmann, A.; Dammann, M.; Massler, H.; Schlechtweg, M.; Ambacher, O. 35 nm mHEMT technology for THz and Ultra Low Noise Applications. In Proceedings of the 2013 International Conference on Indium Phosphide and Related Materials (IPRM), Kobe, Japan, 19–23 May 2013. [Google Scholar]
- Akazaki, T.; Arai, K.; Enoki, T.; Ishii, Y. Improved InAlAs/InGaAs HEMT characteristics by inserting an InAs layer into the InGaAs channel. IEEE Electron Device Lett. 1992, 13, 325–327. [Google Scholar] [CrossRef]
- Baraskar, A.K.; Wistey, M.A.; Jain, V.; Singisetti, U.; Burek, G.; Thibeault, B.J.; Lee, Y.J.; Gossard, A.C.; Rodwell, M.J. Ultralow resistance, nonalloyed ohmic contacts to N-InGaAs. J. Vac. Sci. Technol. B Microelectron. Nanometer Struct. 2009, 27, 2036. [Google Scholar] [CrossRef]
- Suemitsu, T.; Yokoyama, H.; Ishii, T.; Enoki, T.; Meneghesso, G.; Zanoni, E. 30-nm two-step recess gate InP-based InAlAs/InGaAs HEMTs. IEEE Trans. Electron Devices 2002, 49, 1694–1700. [Google Scholar] [CrossRef]
- Kim, T.-W.; Kim, D.-H.; del Alamo, J.A. InGaAs HEMT with InAs-rich InAlAs barrier spacer for reduced source resistance. Electron. Lett. 2011, 47, 406. [Google Scholar] [CrossRef]
- Dambrine, G.; Cappy, A.; Heliodore, F.; Playez, E. A new method for determining the FET small-signal equivalent circuit. IEEE Trans. Microw. Theory Tech. 1988, 36, 1151–1159. [Google Scholar] [CrossRef]
- Yun, S.-W.; Kim, D.-H. Comprehensive study of components affecting extrinsic transconductance in In0.7Ga0.3As quantum-well high-electron-mobility transistors for image sensor applications. J. Sens. Sci. Technol. 2021, 30, 441–445. [Google Scholar] [CrossRef]
- Kim, D.-H.; Chen, P.; Kim, T.-W.; Urteaga, M.; Brar, B. LG = 100 nm InAs pHEMTs on InP substrate with record high frequency response. Electron. Lett. 2012, 48, 1352. [Google Scholar] [CrossRef]
- Geum, D.M.; Shin, S.H.; Kim, M.S.; Jang, J.H. 75 nm t-shaped gate for In0.17Al0.83N/GaN HEMTs with minimal short-channel effect. Electron. Lett. 2013, 49, 1536–1537. [Google Scholar] [CrossRef]
- Liu, L.; Alt, A.R.; Benedickter, H.; Bolognesi, C.R. InP-HEMT X-band low-noise amplifier with Ultralow 0.6-mW power consumption. IEEE Electron Device Lett. 2012, 33, 209–211. [Google Scholar] [CrossRef]
- Tessmann, A. 220-GHz metamorphic HEMT amplifier MMICS for high-resolution imaging applications. IEEE J. Solid-State Circuits 2005, 40, 2070–2076. [Google Scholar] [CrossRef]
- Lee, J.M.; Chang, W.J.; Kang, D.M.; Min, B.G.; Yoon, H.S.; Chang, S.J.; Jung, H.W.; Kim, W.; Jung, J.; Kim, J.; et al. W-band MMIC chipset in 0.1-um mHEMT technology. ETRI J. 2020, 42, 549–561. [Google Scholar] [CrossRef]








| Intrinsic Parameters | Measured fT | Modeling fT |
|---|---|---|
| gmi = 2.0 mS/µm | 261 GHz | 258 GHz |
| gds = 0.22 mS/µm | ||
| Rg = 70 Ω-µm | ||
| Rs = 360 Ω-µm | ||
| Rd = 360 Ω-µm | Measured fmax | Modeling fmax |
| Ri = 100 Ω-µm | 304 GHz | 309 GHz |
| Cgs = 0.65 fF/µm |
| [20] | [18] | [21] | [22] | This Work | |
|---|---|---|---|---|---|
| Substrate | InP | InP | GaAs | GaAs | GaAs |
| Channel | In0.68Ga0.32As | In0.53Ga0.47As /InAs/ In0.53Ga0.47As | In0.65Ga0.35As/ In0.53Ga0.47As | In0.6Ga0.4As | In0.53Ga0.47As /InAs/ In0.53Ga0.47As |
| Buffer layer | InAlAs buffer | InAlAs buffer | Linear InxAl0.48Ga0.52-xAs | Graded InAlAs | 500 nm In0.52AlAs |
| Lg [nm] | 100 | 100 | 100 | 100 | 100 |
| fT [GHz] | 183 | 421 | 220 | 210 | 261 |
| fmax [GHz] | 230 | 620 | 300 | 252 | 304 |
| LgfT [GHz-µm] | 18.3 | 42.1 | 22.0 | 21.0 | 26.1 |
| VDS [V] | 0.5 | 0.7 | 1 | 1 | 0.5 |
| Passivation | 100 nm SiNx | - | 250 nm SiNx | 50 nm SiNx | - |
Disclaimer/Publisher’s Note: The statements, opinions and data contained in all publications are solely those of the individual author(s) and contributor(s) and not of MDPI and/or the editor(s). MDPI and/or the editor(s) disclaim responsibility for any injury to people or property resulting from any ideas, methods, instructions or products referred to in the content. |
© 2022 by the authors. Licensee MDPI, Basel, Switzerland. This article is an open access article distributed under the terms and conditions of the Creative Commons Attribution (CC BY) license (https://creativecommons.org/licenses/by/4.0/).
Share and Cite
Shin, S.H.; Shim, J.-P.; Jang, H.; Jang, J.-H. Fabrication and Characterization of In0.53Ga0.47As/InAs/In0.53Ga0.47As Composite Channel Metamorphic HEMTs (mHEMTs) on a GaAs Substrate. Micromachines 2023, 14, 56. https://doi.org/10.3390/mi14010056
Shin SH, Shim J-P, Jang H, Jang J-H. Fabrication and Characterization of In0.53Ga0.47As/InAs/In0.53Ga0.47As Composite Channel Metamorphic HEMTs (mHEMTs) on a GaAs Substrate. Micromachines. 2023; 14(1):56. https://doi.org/10.3390/mi14010056
Chicago/Turabian StyleShin, Seung Heon, Jae-Phil Shim, Hyunchul Jang, and Jae-Hyung Jang. 2023. "Fabrication and Characterization of In0.53Ga0.47As/InAs/In0.53Ga0.47As Composite Channel Metamorphic HEMTs (mHEMTs) on a GaAs Substrate" Micromachines 14, no. 1: 56. https://doi.org/10.3390/mi14010056
APA StyleShin, S. H., Shim, J.-P., Jang, H., & Jang, J.-H. (2023). Fabrication and Characterization of In0.53Ga0.47As/InAs/In0.53Ga0.47As Composite Channel Metamorphic HEMTs (mHEMTs) on a GaAs Substrate. Micromachines, 14(1), 56. https://doi.org/10.3390/mi14010056

