Fabrication and DC-Bias Manipulation Frequency Characteristics of AlN-Based Piezoelectric Micromachined Ultrasonic Transducer
Abstract
1. Introduction
2. Design and Fabrication
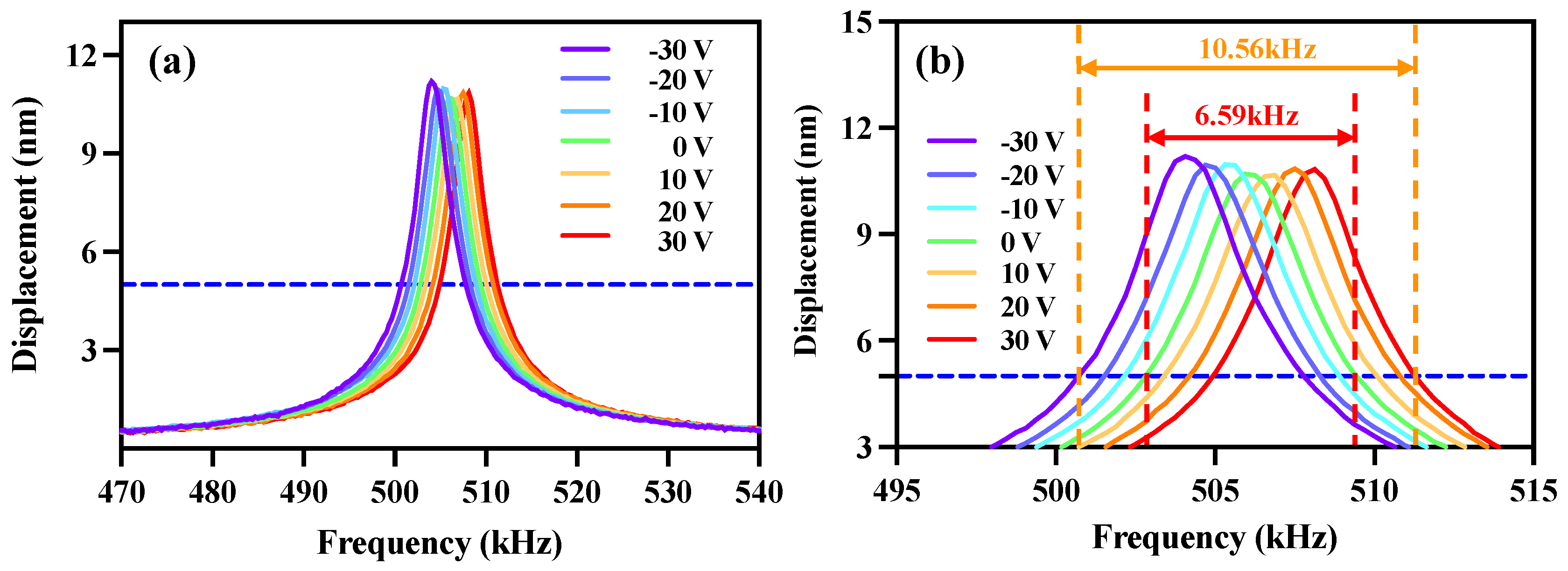
3. Results and Analysis
4. Conclusions
Author Contributions
Funding
Conflicts of Interest
References
- Costello, J.M.; Wax, D.F.; Binns, H.J.; Backer, C.L.; Mavroudis, C.; Pahl, E. A comparison of intravascular ultrasound with coronary angiography for evaluation of transplant coronary disease in pediatric heart transplant recipients. J. Heart Lung Transplant. Off. Publ. Int. Soc. Heart Transplant. 2003, 22, 44–49. [Google Scholar] [CrossRef] [PubMed]
- Xiao, Y. Key Technologies of New Type of Intravascular Ultrasound Image Processing. Front. Surg. 2022, 8, 770106. [Google Scholar] [CrossRef] [PubMed]
- Berkol, G.; Baltus, P.G.M.; Harpe, P.J.A.; Cantatore, E. A 1.25 mu J per Measurement Ultrasound Rangefinder System in 65 nm CMOS for Explorations with a Swarm of Sensor Nodes. IEEE Trans. Circuits Syst. I-Regul. Pap. 2021, 68, 1409–1420. [Google Scholar] [CrossRef]
- Yang, H.; Ji, M.; Xiu, X.; Lv, H.; Gu, A.; Zhang, S. AlScN Film Based Piezoelectric Micromechanical Ultrasonic Transducer for an Extended Long-Range Detection. Micromachines 2022, 13, 1942. [Google Scholar] [CrossRef] [PubMed]
- Tang, H.-Y.; Lu, Y.; Jiang, X.; Ng, E.J.; Tsai, J.M.; Horsley, D.A.; Boser, B.E. 3-D Ultrasonic Fingerprint Sensor-on-a-Chip. IEEE J. Solid-State Circuits 2016, 51, 2522–2533. [Google Scholar] [CrossRef]
- Chen, Y.-Q.; Li, Y.-X.; Chen, Y.; Ju, Z.-Y.; Tao, L.-Q.; Pang, Y.; Yang, Y.; Ren, T.-L. Large-Scale and High-Density pMUT Array Based on Isolated Sol-Gel PZT Membranes for Fingerprint Imaging. J. Electrochem. Soc. 2017, 164, B377–B381. [Google Scholar] [CrossRef]
- Ledesma, E.; Zamora, I.; Yanez, J.; Uranga, A.; Barniol, N. Single-cell system using monolithic PMUTs-on-CMOS to monitor fluid hydrodynamic properties. Microsyst. Nanoeng. 2022, 8, 76. [Google Scholar] [CrossRef]
- Roy, K.; Gupta, H.; Shastri, V.; Dangi, A.; Jeyaseelan, A.; Dutta, S.; Pratap, R. Fluid Density Sensing Using Piezoelectric Micromachined Ultrasound Transducers. IEEE Sens. J. 2020, 20, 6802–6809. [Google Scholar] [CrossRef]
- Pop, F.; Herrera, B.; Rinaldi, M. Lithium Niobate Piezoelectric Micromachined Ultrasonic Transducers for high data-rate intrabody communication. Nat. Commun. 2022, 13, 1782. [Google Scholar] [CrossRef]
- Kim, J.-W.; Hwang, G.; Lee, S.-J.; Kim, S.-H.; Wang, S. Three-dimensional acoustic metamaterial Luneburg lenses for broadband and wide-angle underwater ultrasound imaging. Mech. Syst. Signal Process. 2022, 179, 109374. [Google Scholar] [CrossRef]
- Zhang, R.; Zhang, W.D.; He, C.D.; Zhang, Y.M.; Song, J.L.; Xue, C.Y. Underwater Imaging Using a 1 × 16 CMUT Linear Array. Sensors 2016, 16, 312. [Google Scholar] [CrossRef]
- Li, B.; Zhou, Q.; Liu, Y.; Chen, J. A Novel Nondestructive Testing Method for Dielectric Loss Factor of Transformer Oil Based on Multifrequency Ultrasound. IEEE Trans. Dielectr. Electr. Insul. 2022, 29, 1659–1665. [Google Scholar] [CrossRef]
- Sanni, A.; Vilches, A.; Toumazou, C. Inductive and Ultrasonic Multi-Tier Interface for Low-Power, Deeply Implantable Medical Devices. IEEE Trans. Biomed. Circuits Syst. 2012, 6, 297–308. [Google Scholar] [CrossRef]
- Jung, J.; Kim, S.; Lee, W.; Choi, H. Fabrication of a two-dimensional piezoelectric micromachined ultrasonic transducer array using a top-crossover-to-bottom structure and metal bridge connections. J. Micromech. Microeng. 2013, 23, 125037. [Google Scholar] [CrossRef]
- Muralt, P.; Ledermann, N.; Baborowski, J.; Barzegar, A.; Gentil, S.; Belgacem, B.; Petitgrand, S.; Bosseboeuf, A.; Setter, N. Piezoelectric micromachined ultrasonic transducers based on PZT thin films. IEEE Trans. Ultrason. Ferroelectr. Freq. Control 2005, 52, 2276–2288. [Google Scholar] [CrossRef]
- Garcia, A.J.L.; Sico, G.; Montanino, M.; Defoor, V.; Pusty, M.; Mescot, X.; Loffredo, F.; Villani, F.; Nenna, G.; Ardila, G. Low-Temperature Growth of ZnO Nanowires from Gravure-Printed ZnO Nanoparticle Seed Layers for Flexible Piezoelectric Devices. Nanomaterials 2021, 11, 1430. [Google Scholar] [CrossRef]
- Chare, C.; Gijsenbergh, P.; Jeong, Y.; Heremans, P.; Cheyns, D.; Genoe, J. Electromechanical Equivalent Circuit Model for Axisymmetric PMUTs with Elastic Boundary Conditions. J. Microelectromech. Syst. 2022, 31, 457–460.22. [Google Scholar] [CrossRef]
- Lu, R.; Breen, M.; Hassanien, A.E.; Yang, Y.; Gong, S. A Piezoelectric Micromachined Ultrasonic Transducer Using Thin-Film Lithium Niobate. J. Microelectromecha. Syst. 2020, 29, 1412–1414. [Google Scholar] [CrossRef]
- Choi, H.S.; Anderson, M.J.; Ding, J.L.; Bandyopadhyay, A. A two-dimensional electromechanical composite plate model for piezoelectric micromachined ultrasonic transducers (pMUTs). J. Micromech. Microeng. 2010, 20, 015013. [Google Scholar] [CrossRef]
- Choi, H.; Ding, J.-L.; Bandyopadhyay, A.; Bose, S. Finite element analysis of piezoelectric thin film membrane structures. IEEE Trans. Ultrason. Ferroelectr. Freq. Control 2007, 54, 2036–2044. [Google Scholar] [CrossRef]
- Smyth, K.; Kim, S.-G. Experiment and Simulation Validated Analytical Equivalent Circuit Model for Piezoelectric Micromachined Ultrasonic Transducers. IEEE Trans. Ultrason. Ferroelectr. Freq. Control 2015, 62, 744–765. [Google Scholar] [CrossRef] [PubMed]
- Jung, J.; Lee, W.; Kang, W.; Shin, E.; Ryu, J.; Choi, H. Review of piezoelectric micromachined ultrasonic transducers and their applications. J. Micromech. Microeng. 2017, 27, 113001. [Google Scholar] [CrossRef]
- Zhu, J.; Liu, X.; Shi, Q.; He, T.; Sun, Z.; Guo, X.; Liu, W.; Bin Sulaiman, O.; Dong, B.; Lee, C. Development Trends and Perspectives of Future Sensors and MEMS/NEMS. Micromachines 2020, 11, 7. [Google Scholar] [CrossRef] [PubMed]
- Shelton, S.; Rozen, O.; Guedes, A.; Przybyla, R.; Boser, B.; Horsley, D.A. Improved acoustic coupling of air-coupled micromachined ultrasonic transducers. In Proceedings of the 2014 IEEE 27th International Conference on Micro Electro Mechanical Systems (MEMS), San Francisco, CA, USA, 13 March 2014. [Google Scholar]
- Hajati, A.; Latev, D.; Gardner, D.; Hajati, A.; Imai, D.; Torrey, M.; Schoeppler, M. Three-dimensional micro electromechanical system piezoelectric ultrasound transducer. Appl. Phys. Lett. 2012, 101, 253101. [Google Scholar] [CrossRef]
- Rozen, O.; Shelton, S.E.; Guedes, A.; Horsley, D.A. Variable thickness diaphragm for a stress insensitive wideband piezoelectric micromachined ultrasonic transducer. In Proceedings of the 2014 Solid-State, Actuators, and Microsystems Workshop, Hilton Head Island, SC, USA, 30 May 2014. [Google Scholar]
- Wang, L.; Zhu, W.; Wu, Z.; Liu, W.; Sun, C. A Novel Coupled Piezoelectric Micromachined Ultrasonic Transducer Based on Piston Mode. IEEE Trans. Ultrason. Ferroelectr. Freq. Control 2021, 68, 3396–3405. [Google Scholar] [CrossRef]
- Pinto, R.M.R.; Gund, V.; Calaza, C.; Nagaraja, K.K.; Vinayakumar, K.B. Piezoelectric aluminum nitride thin-films: A review of wet and dry etching techniques. Microelectron. Eng. 2022, 257, 111753. [Google Scholar] [CrossRef]
- Luo, G.-L.; Kusano, Y.; Horsley, D.A. Airborne Piezoelectric Micromachined Ultrasonic Transducers for Long-Range Detection. J. Microelectromech. Syst. 2021, 30, 81–89. [Google Scholar] [CrossRef]
- Morelle, C.; Theron, D.; Derluyn, J.; Degroote, S.; Germain, M.; Zhang, V.; Buchaillot, L.; Grimbert, B.; Tilmant, P.; Vaurette, F.; et al. Gallium nitride MEMS resonators: How residual stress impacts design and performances. Microsyst. Technol. Micro Nanosyst. Inf. Storage Process. Syst. 2018, 24, 371–377. [Google Scholar] [CrossRef]
- Wang, L.; Zhou, J.; Zhu, W.; Wu, Z.; Liu, W.; Sun, C. Piston-Mode pMUT with Mass Load. IEEE J. Electron Devices Soc. 2022, 10, 235–244. [Google Scholar] [CrossRef]
- Peng, J.; Lau, S.T.; Chao, C.; Dai, J.Y.; Chan, H.L.W.; Luo, H.S.; Zhu, B.P.; Zhou, Q.F.; Shung, K.K. PMN-PT single crystal thick films on silicon substrate for high-frequency micromachined ultrasonic transducers. Appl. Phys. A Mater. Sci. Process. 2010, 98, 233–237. [Google Scholar] [CrossRef]
- Bongsang, K.; Hopcroft, M.A.; Candler, R.N.; Jha, C.M.; Agarwal, M. Temperature Dependence of Quality Factor in MEMS Resonators. J. Microelectromech. Syst. 2008, 17, 755–766. [Google Scholar]





Disclaimer/Publisher’s Note: The statements, opinions and data contained in all publications are solely those of the individual author(s) and contributor(s) and not of MDPI and/or the editor(s). MDPI and/or the editor(s) disclaim responsibility for any injury to people or property resulting from any ideas, methods, instructions or products referred to in the content. |
© 2023 by the authors. Licensee MDPI, Basel, Switzerland. This article is an open access article distributed under the terms and conditions of the Creative Commons Attribution (CC BY) license (https://creativecommons.org/licenses/by/4.0/).
Share and Cite
Li, T.; Zhang, L.; Geng, W.; He, J.; Rao, Y.; Huo, J.; Yan, K.; Chou, X. Fabrication and DC-Bias Manipulation Frequency Characteristics of AlN-Based Piezoelectric Micromachined Ultrasonic Transducer. Micromachines 2023, 14, 210. https://doi.org/10.3390/mi14010210
Li T, Zhang L, Geng W, He J, Rao Y, Huo J, Yan K, Chou X. Fabrication and DC-Bias Manipulation Frequency Characteristics of AlN-Based Piezoelectric Micromachined Ultrasonic Transducer. Micromachines. 2023; 14(1):210. https://doi.org/10.3390/mi14010210
Chicago/Turabian StyleLi, Tao, Le Zhang, Wenping Geng, Jian He, Yongkang Rao, Jiabing Huo, Kunxian Yan, and Xiujian Chou. 2023. "Fabrication and DC-Bias Manipulation Frequency Characteristics of AlN-Based Piezoelectric Micromachined Ultrasonic Transducer" Micromachines 14, no. 1: 210. https://doi.org/10.3390/mi14010210
APA StyleLi, T., Zhang, L., Geng, W., He, J., Rao, Y., Huo, J., Yan, K., & Chou, X. (2023). Fabrication and DC-Bias Manipulation Frequency Characteristics of AlN-Based Piezoelectric Micromachined Ultrasonic Transducer. Micromachines, 14(1), 210. https://doi.org/10.3390/mi14010210

