Experimental Investigation on the Transpiration Cooling Characteristics of Sintered Wire Mesh in Plain Weave
Abstract
:1. Introduction
2. Materials and Methods
2.1. Sintered Wire Meshes
2.2. Experimental Apparatus
2.3. Data Processing
3. Results and Discussion
3.1. The Effect of Blowing Ratio and Porosity on the Surface Temperature Distribution
3.2. The Effects of Blowing Ratio and Porosity on the Cooling Efficiency
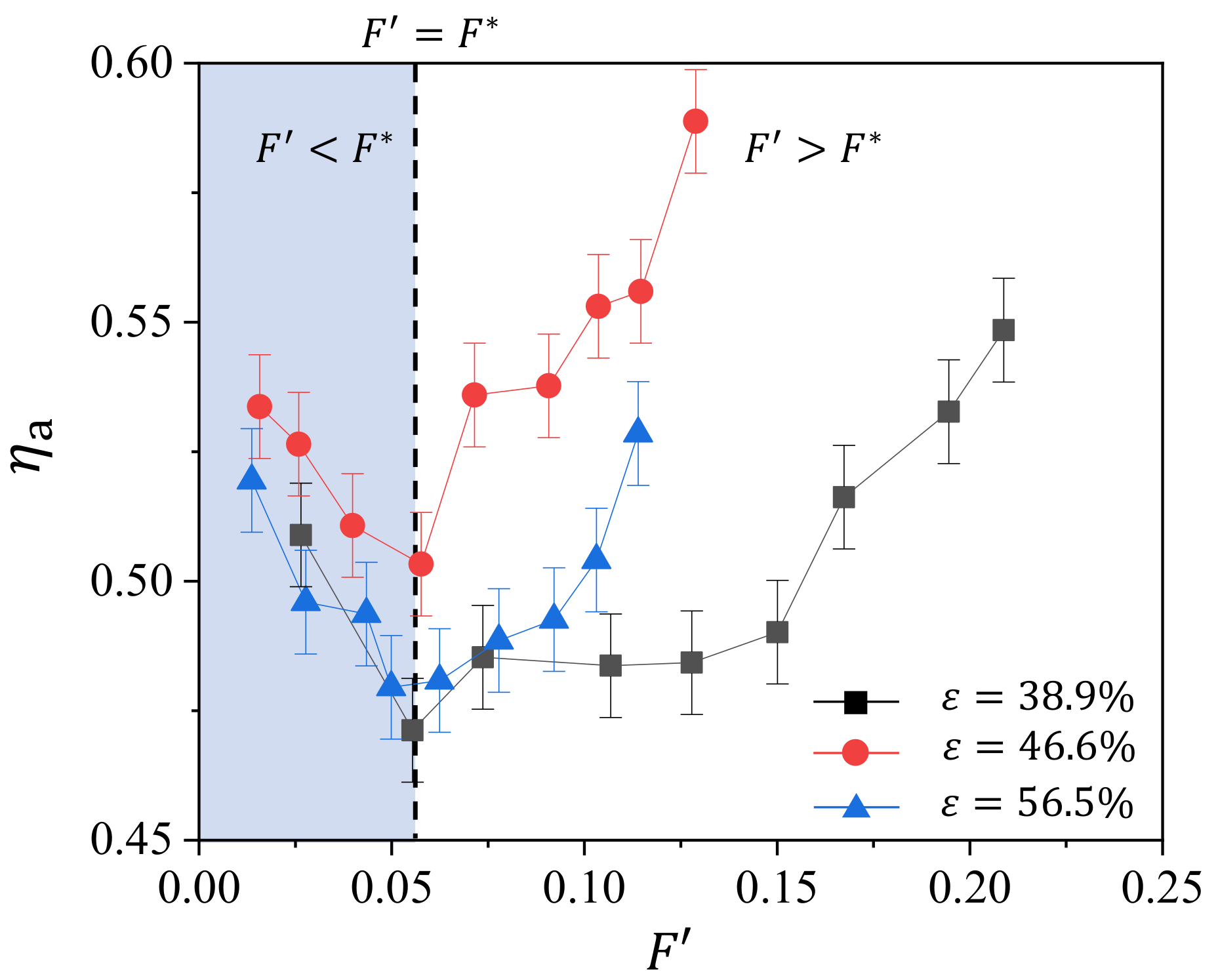
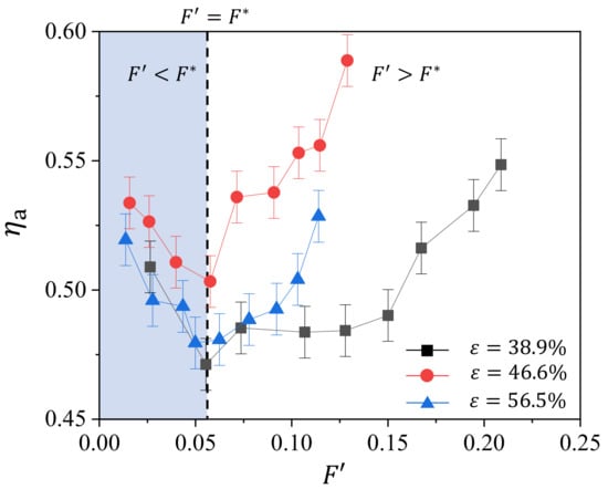
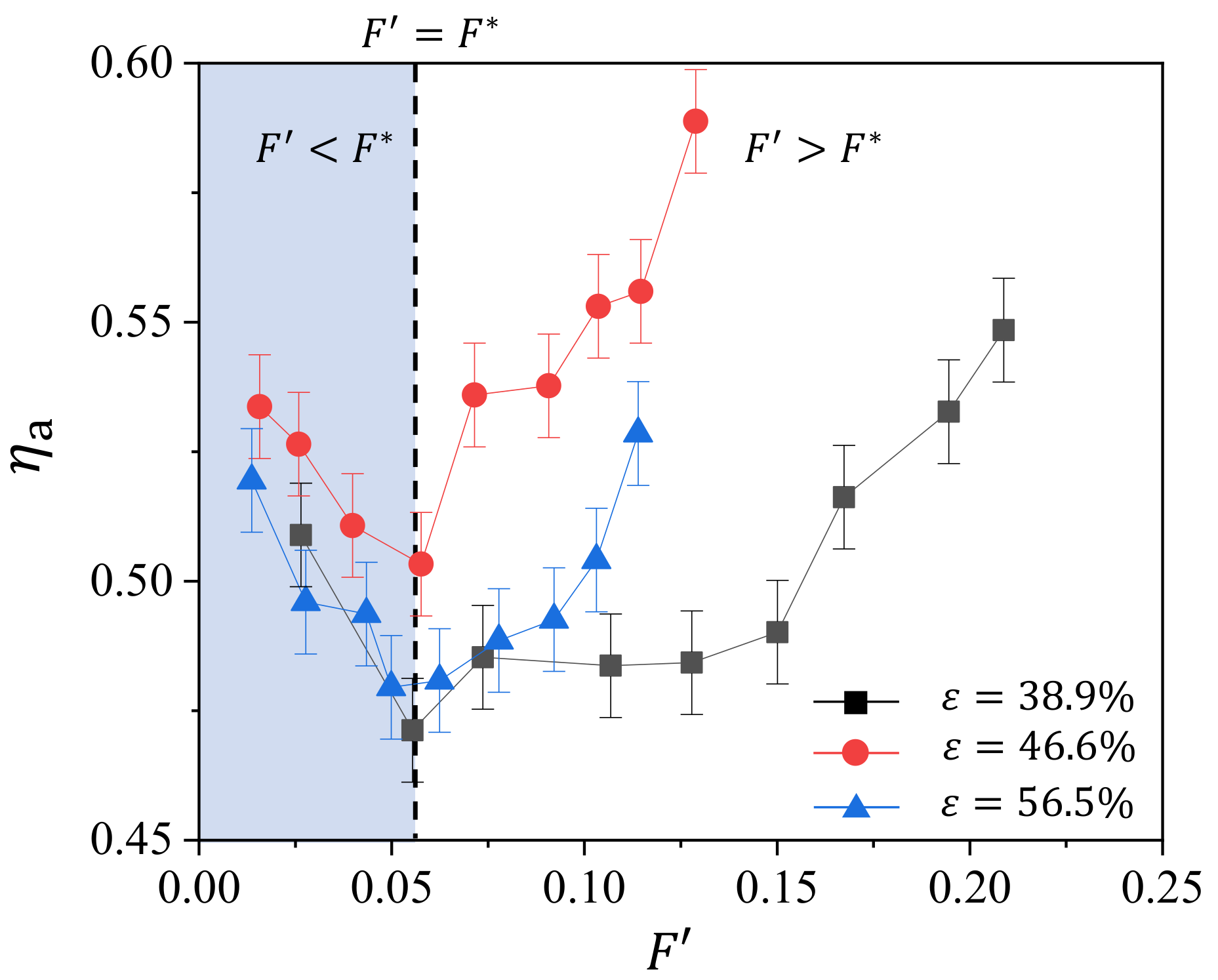
3.3. The Effect of Blowing Ratio and Porosity on the Averaged Cooling Efficiency
4. Conclusions
Author Contributions
Funding
Institutional Review Board Statement
Informed Consent Statement
Data Availability Statement
Acknowledgments
Conflicts of Interest
References
- Eckert, E.R.G.; Livingood, J.N. Comparison of Effectiveness of Convection-, Transpiration-, and Film-Cooling Methods with Air as Coolant; National Advisory Committee for Aeronautics: Washington, DC, USA, 1954; Volume 1182. [Google Scholar]
- Haidn, O.; Greuel, D.; Herbertz, A.; Ortelt, M.; Hald, H. Transpiration cooling appllied to C/C liners of cryogenic liquid rocket engines. In Proceedings of the 40th AIAA/ASME/SAE/ASEE Joint Propulsion Conference and Exhibit, Fort Lauderdale, FL, USA, 11–14 July 2004; p. 3682. [Google Scholar]
- Liu, Y.Q.; Jiang, P.X.; Jin, S.S.; Sun, J.G. Transpiration cooling of a nose cone by various foreign gases. Int. J. Heat Mass Transf. 2010, 53, 5364–5372. [Google Scholar] [CrossRef]
- Song, K.D.; Sang, H.C.; Scotti, S.J. Transpiration cooling experiment for scramjet engine combustion chamber by high heat fluxes. J. Propuls. Power 2006, 22, 96–102. [Google Scholar] [CrossRef]
- Langener, T.; Wolfersdorf, J.V.; Steelant, J. Experimental Investigations on Transpiration Cooling for Scramjet Applications Using Different Coolants. Aiaa J. 2011, 49, 1409–1419. [Google Scholar] [CrossRef]
- Jiang, P.X.; Yu, L.; Sun, J.G.; Wang, J. Experimental and numerical investigation of convection heat transfer in transpiration cooling. Appl. Therm. Eng. 2004, 24, 1271–1289. [Google Scholar] [CrossRef]
- Langener, T.; Wolfersdorf, J.V.; Laux, T.; Steelant, J. Experimental Investigation of Transpiration Cooling with Subsonic and Supersonic Flows at Moderate Temperature Levels. In Proceedings of the AIAA/ASME/SAE/ASEE Joint Propulsion Conference & Exhibit, Hartford, CT, USA, 21–23 July 2008. [Google Scholar]
- Huang, Z.; Zhu, Y.H.; Jiang, P.X.; Xiong, Y.B. Investigation of a Porous Transpiration-Cooled Strut Injector. J. Propuls. Power 2015, 31, 278–285. [Google Scholar] [CrossRef]
- Ortelt, M.; Hald, H.; Herbertz, A.; Müller, I. Advanced Design Concepts for Ceramic Thrust Chamber Components of Rocket Engines. In Proceedings of the 5th European Conference for Aeronautics and Space Sciences (EUCASS), Munich, Germany, 1–5 July 2013. [Google Scholar]
- Dahmen, W.; Gotzen, T.; Müller, S.; Rom, M. Numerical simulation of transpiration cooling through porous material. Int. J. Numer. Methods Fluids 2015, 76, 331–365. [Google Scholar] [CrossRef] [Green Version]
- Prokein, D.; Dittert, C.; Böhrk, H.; Wolfersdorf, J.V. Transpiration Cooling Experiments on a CMC Wall Segment in a Supersonic Hot Gas Channel. In Proceedings of the American Institute of Aeronautics and Astronautics (AIAA) in 2018 International Energy Conversion Engineering Conference, Cincinnati, OH, USA, 9–11 July 2018. [Google Scholar]
- Koenig, V.; Rom, M.; Mueller, S.; Selzer, M.; Schweikert, S.; Wolfersdorf, J.V. Numerical and Experimental Investigation of Transpiration Cooling with Carbon/Carbon Characteristic Outflow Distributions. J. Thermophys. Heat Transf. 2019, 33, 1–13. [Google Scholar] [CrossRef]
- Zhu, Y.; Jiang, P.; Sun, J.; Xiong, Y. Injector Head Transpiration Cooling Coupled with Combustion in H2/O2 Subscale Thrust Chamber. J. Thermophys. Heat Transf. 2015, 27, 42–51. [Google Scholar] [CrossRef]
- Moskowitz, S.L.; Lombardo, S. 2750 Deg F Engine Test of a Transpiration Air-Cooled Turbine. J. Eng. Gas Turbines Power 1971, 93, 238–248. [Google Scholar] [CrossRef]
- Raj, R. Deposition Results of a Transpiration Air-Cooled Turbine Vane Cascade in a Contaminated Gas Stream. J. Eng. Power Trans. Asme 1983, 105, 826. [Google Scholar] [CrossRef]
- Wolf, J.; Moskowitz, S. Development of the Transpiration Air-Cooled Turbine for High-Temperature Dirty Gas Streams. J. Eng. Gas Turbines. Power 1983, 105, 821–825. [Google Scholar] [CrossRef]
- Liu, Y.Q.; Jiang, P.X.; Xiong, Y.B.; Wang, Y.P. Experimental and numerical investigation of transpiration cooling for sintered porous flat plates. Appl. Therm. Eng. 2013, 50, 997–1007. [Google Scholar] [CrossRef]
- Huang, G.; Zhu, Y.; Liao, Z.; Ouyang, X.; Jiang, P. Experimental investigation of transpiration cooling with phase change for sintered porous plates. Int. J. Heat Mass Transf. 2017, 114, 1201–1213. [Google Scholar] [CrossRef]
- Langener, T.; Wolfersdorf, J.V.; Selzer, M.; Hald, H. Experimental investigations of transpiration cooling applied to C/C material. Int. J. Therm. Sci. 2012, 54, 70–81. [Google Scholar] [CrossRef]
- Min, Z.; Huang, G.; Parbat, S.N.; Yang, L.; Chyu, M.K. Experimental Investigation on Additively Manufactured Transpiration and Film Cooling Structures. J. Turbomach. 2018, 141, 031009. [Google Scholar] [CrossRef]
- Liu, P.S.; Chen, G.F. Porous Materials: Processing and Applications; Butterworth-Heinemann: Oxford, UK; Elsevier: Amsterdam, The Netherlands, 2014. [Google Scholar]
- Xu, G.; Liu, Y.; Xiang, L.; Ma, J.; Li, H. Experimental investigation of transpiration cooling for sintered woven wire mesh structures. Int. J. Heat Mass Transf. 2015, 91, 898–907. [Google Scholar] [CrossRef]
- Ma, J.; Luo, X.; Li, H.; Liu, Y. An Experimental Investigation on Transpiration Cooling Based on the Multilaminated Sintered Woven Wire Mesh Structures. J. Thermal Sci. Eng. Appl. 2016, 8, 031005. [Google Scholar] [CrossRef]
- Liu, Y.; Xu, G.; Luo, X.; Li, H.; Ma, J. An experimental investigation on fluid flow and heat transfer characteristics of sintered woven wire mesh structures. Appl. Therm. Eng. 2015, 80, 118–126. [Google Scholar] [CrossRef]
- Liu, D.; Tao, Z.; Luo, X. Experimental Investigation of Heat Transfer Characteristics on Turbine Endwall with Full Coverage Film Cooling. Appl. Therm. Eng. 2018, 140, 295–303. [Google Scholar] [CrossRef]









| No. | Diameter of Stainless Steel Wire (μm) | Quantity of Layers | Average Pore Diameter (μm) | Porosity ε |
|---|---|---|---|---|
| P1 | 140 | 40 | 165.5 | 56.5% |
| P2 | 140 | 42 | 107.8 | 46.6% |
| P3 | 140 | 54 | 71.8 | 38.9% |
Publisher’s Note: MDPI stays neutral with regard to jurisdictional claims in published maps and institutional affiliations. |
© 2022 by the authors. Licensee MDPI, Basel, Switzerland. This article is an open access article distributed under the terms and conditions of the Creative Commons Attribution (CC BY) license (https://creativecommons.org/licenses/by/4.0/).
Share and Cite
Peng, Y.; Xu, G.; Luo, X.; He, J.; Liu, D. Experimental Investigation on the Transpiration Cooling Characteristics of Sintered Wire Mesh in Plain Weave. Micromachines 2022, 13, 450. https://doi.org/10.3390/mi13030450
Peng Y, Xu G, Luo X, He J, Liu D. Experimental Investigation on the Transpiration Cooling Characteristics of Sintered Wire Mesh in Plain Weave. Micromachines. 2022; 13(3):450. https://doi.org/10.3390/mi13030450
Chicago/Turabian StylePeng, Yubo, Guoqiang Xu, Xiang Luo, Jian He, and Dongdong Liu. 2022. "Experimental Investigation on the Transpiration Cooling Characteristics of Sintered Wire Mesh in Plain Weave" Micromachines 13, no. 3: 450. https://doi.org/10.3390/mi13030450
APA StylePeng, Y., Xu, G., Luo, X., He, J., & Liu, D. (2022). Experimental Investigation on the Transpiration Cooling Characteristics of Sintered Wire Mesh in Plain Weave. Micromachines, 13(3), 450. https://doi.org/10.3390/mi13030450
