A Trajectory Tracking Control Based on a Terminal Sliding Mode for a Compliant Robot with Nonlinear Stiffness Joints
Abstract
:1. Introduction
2. Methodology
2.1. Brief Introduction of the Developed Compliant Robot with NSAs
2.2. Dynamic Model
3. TSM Controller
4. Lyapunov Stability Analysis
5. Experimental Results
5.1. Experimental Setup
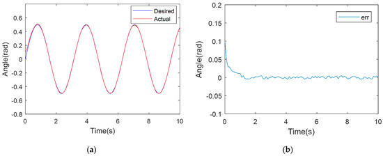
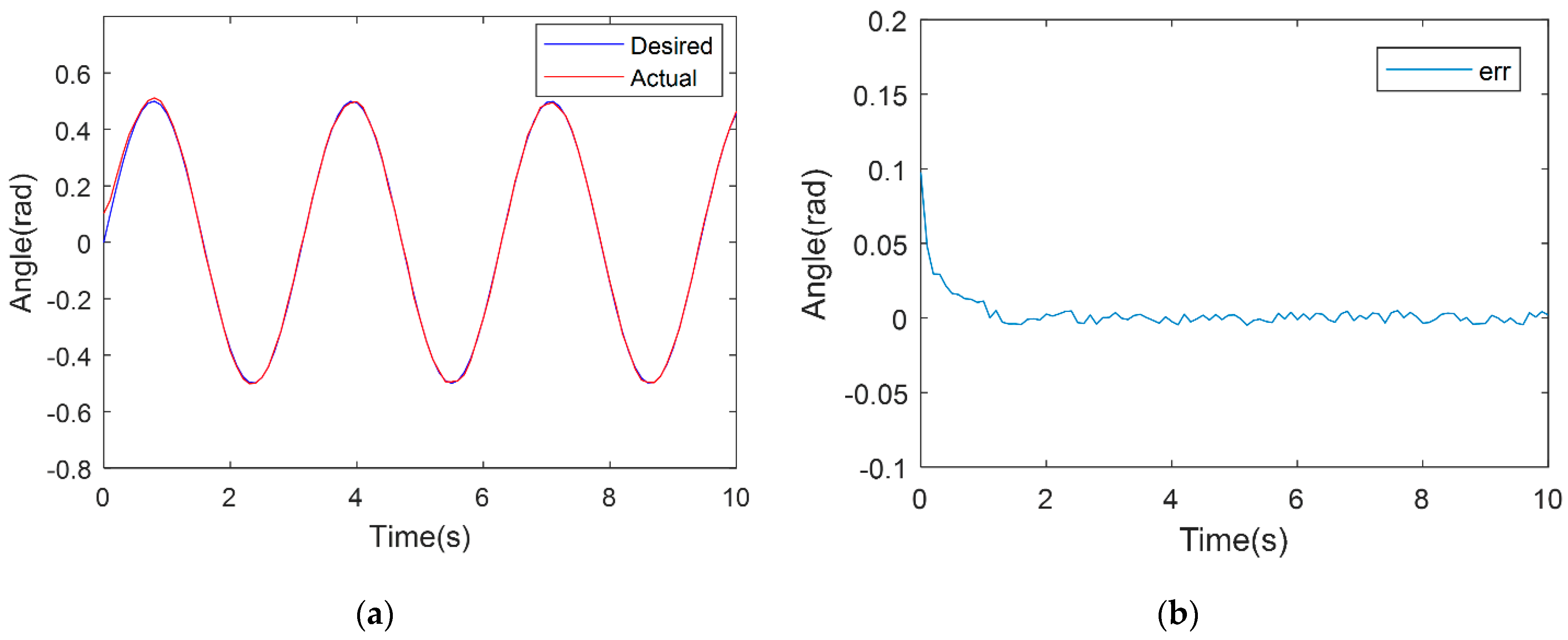
5.2. Comparison Experiments in Single Joint
5.3. Comparison Experiments on the Prototype of 3 DoF Compliant Robot
6. Conclusions
Author Contributions
Funding
Conflicts of Interest
References
- Calanca, A.; Muradore, R.; Fiorini, P. A Review of Algorithms for Compliant Control of Stiff and Fixed-Compliance Robots. IEEE/ASME Trans. Mechatron. 2015, 21, 613–624. [Google Scholar] [CrossRef]
- Paine, N.; Oh, S.; Sentis, L. Design and Control Considerations for High-Performance Series Elastic Actuators. IEEE/ASME Trans. Mechatron. 2013, 19, 1080–1091. [Google Scholar] [CrossRef] [Green Version]
- Sun, J.; Zhang, Y.; Zhang, C.; Guo, Z.; Xiao, X. Mechanical design of a compact Serial Variable Stiffness Actuator (SVSA) based on lever mechanism. In Proceedings of the 2017 IEEE International Conference on Robotics and Automation (ICRA), Singapore, 29 May–3 June 2017; pp. 33–38. [Google Scholar] [CrossRef]
- Song, Z.; Lan, S.; Dai, J.S. A New Mechanical Design Method of Compliant Actuators with Non-linear Stiffness with Predefined Deflection-torque Profiles. Mech. Mach. Theory 2019, 133, 164–178. [Google Scholar] [CrossRef]
- Zhao, Y.; Song, Z.; Ma, T.; Dai, J.S. Optimisation of Stiffness to Achieve Increased Bandwidth and Torque Resolution in Nonlinear Stiffness Actuators. IEEE Trans. Ind. Electron. 2020, 67, 2925–2935. [Google Scholar] [CrossRef]
- Hogan, N. Impedance Control: An Approach to Manipulation: Part I—Theory. Trans. ASME J. Dyn. Syst. Meas. Control 1985, 107, 304–313. [Google Scholar] [CrossRef]
- Hurst, J.W.; Chestnutt, J.E.; Rizzi, A. An Actuator with Physically Variable Stiffness for Highly Dynamic Legged Locomotion. In Proceedings of the IEEE International Conference on Robotics and Automation, ICRA 2004, New Orleans, LA, USA, 26 April–1 May 2004; pp. 4662–4667. [Google Scholar]
- Erler, P.; Beckerle, P.; Strah, B.; Rinderknecht, S. Experimental Comparison of Nonlinear Motion Control Methods for a Variable Stiffness Actuator. In Proceedings of the 5th IEEE RAS/EMBS International Conference on Biomedical Robotics and Biomechatronics, Sao Paulo, Brazil, 12–15 August 2014; pp. 1045–1050. [Google Scholar]
- Ramirez-Neria, M.; Ochoa-Ortega, G.; Lozada-Castillo, N.; Trujano-Cabrera, M.A.; Campos-Lopez, J.P.; Luviano-Juárez, A. On the Robust Trajectory Tracking Task for Flexible-joint Robotic Arm with Unmodeled Dynamics. IEEE Access 2016, 4, 7816–7827. [Google Scholar] [CrossRef]
- Han, J. From PID to Active Disturbance Rejection Control. IEEE Trans. Ind. Electron. 2009, 56, 900–906. [Google Scholar] [CrossRef]
- Spong, W. Modeling and Control of Elastic Joint Robots. ASME J. Dyn. Syst. Meas. Control 1987, 109, 310–319. [Google Scholar] [CrossRef]
- Jamwal, P.K.; Hussain, S.; Ghayesh, M.H.; Rogozina, S.V. Impedance Control of an Intrinsically Compliant Parallel Ankle Rehabilitation Robot. IEEE Trans. Ind. Electron. 2016, 63, 3638–3647. [Google Scholar] [CrossRef]
- Albu-schäffer, A.; Ott, C.; Hirzinger, G. A Unified Passivity-based Control Framework for Position, Torque and Impedance Control of Flexible Joint Robots. Int. J. Robot. Res. 2007, 26, 23–39. [Google Scholar] [CrossRef]
- Sira-ramirez, H.; Spong, W. Variable Structure Control of Flexible Joint Manipulator. Int. J. Robot. Autom. 1988, 3, 57–64. [Google Scholar]
- Zeman, V.; Patel, R.; Khorasani, K. Control of Flexible-joint Robot Using Neural Networks. IEEE Trans. Control Syst. Technol. 1997, 5, 453–462. [Google Scholar] [CrossRef]
- Zheng, D.; Pan, Y.; Guo, K.; Yu, H. Identification and Control of Nonlinear Systems Using Neural Networks: A Singularity-Free Approach. IEEE Trans. Neural Netw. Learn. Syst. 2019, 30, 2696–2707. [Google Scholar] [CrossRef] [PubMed]
- Pan, Y.; Wang, H.; Li, X.; Yu, H. Adaptive Command-Filtered Backstepping Control of Robot Arms with Compliant Actuators. IEEE Trans. Control Syst. Technol. 2018, 26, 1149–1156. [Google Scholar] [CrossRef]
- Su, H.; Hu, Y.; Karimi, H.R.; Knoll, A.; Ferrigno, G.; De Momi, E. Improved recurrent neural network-based manipulator control with remote center of motion constraints: Experimental results. Neural Netw. 2020, 131, 291–299. [Google Scholar] [CrossRef] [PubMed]
- Su, H.; Qi, W.; Hu, Y.; Karimi, H.R.; Ferrigno, G.; De Momi, E. An Incremental Learning Framework for Human-like Redundancy Optimization of Anthropomorphic Manipulators. IEEE Trans. Ind. Inform. 2020, 18, 1864–1872. [Google Scholar] [CrossRef]
- Luo, J.; Huang, D.; Li, Y.; Yang, C. Trajectory Online Adaption Based on Human Motion Prediction for Teleoperation. IEEE Trans. Autom. Sci. Eng. 2021, 1–8. [Google Scholar] [CrossRef]
- Luo, J.; Lin, Z.; Li, Y.; Yang, C. A Teleoperation Framework for Mobile Robots Based on Shared Control. IEEE Robot. Autom. Lett. 2020, 5, 377–384. [Google Scholar] [CrossRef] [Green Version]
- Cao, Y.; Xiang, K.; Tang, B.; Ju, Z.; Pang, M. Design of Muscle Reflex Control for Human Upright Standing Push- recovery based on Series Elastic Actuator. In Proceedings of the 2019 IEEE 9th Annual International Conference on CYBER Technology in Automation, Control, and Intelligent Systems (CYBER), Suzhou, China, 29 July–2 August 2019; IEEE: Piscataway, NJ, USA, 2019. [Google Scholar]
- Nakao, M.; Ohnishi, K.; Miyachi, K. A Robust Decentralized Joint Control based on Interference estimation. In Proceedings of the IEEE International Conference on Robotics and Automation, Raleigh, NC, USA, 31 March–3 April 1987; IEEE: Piscataway, NJ, USA, 1987; pp. 326–331. [Google Scholar]
- Yang, T.; Sun, N.; Fang, Y.; Xin, X.; Chen, H. New Adaptive Control Methods for n-Link Robot Manipulators with Online Gravity Compensation: Design and Experiments. IEEE Trans. Ind. Electron. 2021, 69, 539–548. [Google Scholar] [CrossRef]
- Lee, T.; Kwon, J.; Park, F.C. A Natural Adaptive Control Law for Robot Manipulators. In Proceedings of the 2018 IEEE/RSJ International Conference on Intelligent Robots and Systems (IROS), Madrid, Spain, 1–5 October 2018; pp. 1–9. [Google Scholar] [CrossRef]
- Wu, L.; Yan, Q.; Cai, J. Neural Network-Based Adaptive Learning Control for Robot Manipulators with Arbitrary Initial Errors. IEEE Access 2019, 7, 180194–180204. [Google Scholar] [CrossRef]
- Jung, S. Improvement of Tracking Control of a Sliding Mode Controller for Robot Manipulators by a Neural Network. Int. J. Control Autom. Syst. 2018, 16, 937–943. [Google Scholar] [CrossRef]
- Sun, C.; Gao, H.; He, W.; Yu, Y. Fuzzy Neural Network Control of a Flexible Robotic Manipulator Using Assumed Mode Method. IEEE Trans. Neural Netw. Learn. Syst. 2018, 29, 5214–5227. [Google Scholar] [CrossRef] [PubMed]
- Alattas, K.A.; Mobayen, S.; Din, S.U.; Asad, J.H.; Fekih, A.; Assawinchaichote, W.; Vu, M.T. Design of a Non-Singular Adaptive Integral-Type Finite Time Tracking Control for Nonlinear Systems with External Disturbances. IEEE Access 2021, 9, 102091–102103. [Google Scholar] [CrossRef]
- Thanh, H.L.N.N.; Mung, N.X.; Nguyen, N.P.; Phuong, N.T. Perturbation observer-based robust control using a multiple sliding surfaces for nonlinear systems with influences of matched and unmatched uncertainties. Mathematics 2020, 8, 1371. [Google Scholar] [CrossRef]
- Yu, S.; Yu, X.; Shirinzadeh, B.; Man, Z. Continuous Finite-time Control for Robotic Manipulators with Terminal Sliding Mode. Automatica 2005, 41, 1957–1964. [Google Scholar] [CrossRef]
- Lan, S.; Song, Z. Design of a New Nonlinear Stiffness Compliant Actuator and its Error Compensation Method. J. Robot. 2016, 2016, 7326905. [Google Scholar] [CrossRef] [Green Version]










Publisher’s Note: MDPI stays neutral with regard to jurisdictional claims in published maps and institutional affiliations. |
© 2022 by the authors. Licensee MDPI, Basel, Switzerland. This article is an open access article distributed under the terms and conditions of the Creative Commons Attribution (CC BY) license (https://creativecommons.org/licenses/by/4.0/).
Share and Cite
Song, Z.; Ma, T.; Qi, K.; Spyrakos-Papastavridis, E.; Zhang, S.; Kang, R. A Trajectory Tracking Control Based on a Terminal Sliding Mode for a Compliant Robot with Nonlinear Stiffness Joints. Micromachines 2022, 13, 409. https://doi.org/10.3390/mi13030409
Song Z, Ma T, Qi K, Spyrakos-Papastavridis E, Zhang S, Kang R. A Trajectory Tracking Control Based on a Terminal Sliding Mode for a Compliant Robot with Nonlinear Stiffness Joints. Micromachines. 2022; 13(3):409. https://doi.org/10.3390/mi13030409
Chicago/Turabian StyleSong, Zhibin, Tianyu Ma, Keke Qi, Emmanouil Spyrakos-Papastavridis, Songyuan Zhang, and Rongjie Kang. 2022. "A Trajectory Tracking Control Based on a Terminal Sliding Mode for a Compliant Robot with Nonlinear Stiffness Joints" Micromachines 13, no. 3: 409. https://doi.org/10.3390/mi13030409
APA StyleSong, Z., Ma, T., Qi, K., Spyrakos-Papastavridis, E., Zhang, S., & Kang, R. (2022). A Trajectory Tracking Control Based on a Terminal Sliding Mode for a Compliant Robot with Nonlinear Stiffness Joints. Micromachines, 13(3), 409. https://doi.org/10.3390/mi13030409

