The Uses of a Dual-Band Corrugated Circularly Polarized Horn Antenna for 5G Systems
Abstract
1. Introduction
2. Mode Converter and Circularly Polarized Converter Design
2.1. Mode Converter
2.2. Circularly Polarized Converter
3. Corrugated Antenna Design
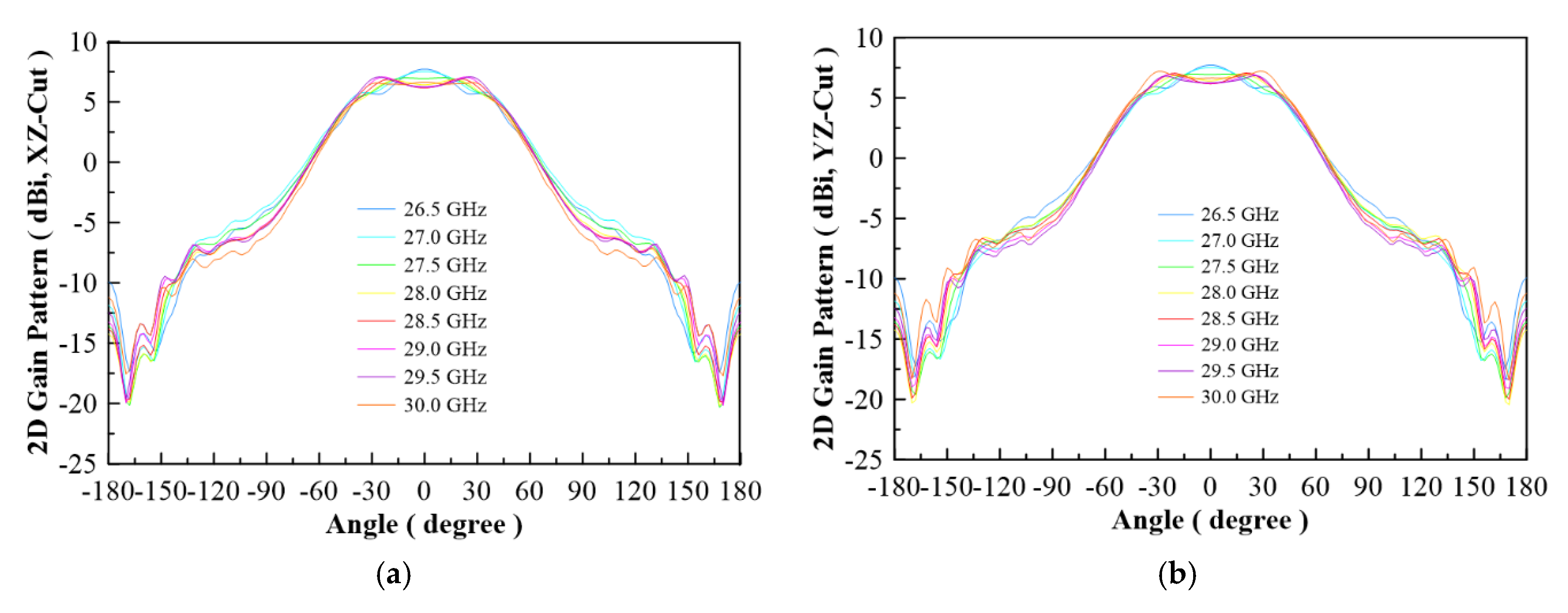
4. Antenna Manufacturing and Experimental Measurement
5. Conclusions
Author Contributions
Funding
Conflicts of Interest
References
- Manabe, T.; Sato, K.; Masuzawa, H.; Taira, K.; Ihara, T.; Kasashima, Y.; Yamaki, K. Polarization dependence of multipath propagation and high-speed transmission characteristics of indoor millimeter-wave channel at 60 GHz. IEEE Trans. Veh. Technol. 1995, 44, 268–274. [Google Scholar] [CrossRef]
- Turkmen, C.; Secmen, M. Circularly polarized hemispherical antennas for telemetry and telecommand applications in satellite communication. In Proceedings of the 10th European Conference on Antennas and Propagation (EuCAP), Davos, Switzerland, 10–15 April 2016; pp. 1–5. [Google Scholar] [CrossRef]
- Narbudowicz, A.; Bao, X.L.; Ammann, M. Dual-Band Omnidirectional Circularly Polarized Antenna. IEEE Trans. Antennas Propag. 2012, 61, 77–83. [Google Scholar] [CrossRef]
- Hung, P.H.; Chiang, W.Y.; Hsieh, Y.C.; Cheng, F.H.; Wang, J.D.; Chen, S.H. High performance and high power circularly polarized horn antenna for K-band microwave processing systems. Rev. Sci. Instrum. 2019, 90, 014707. [Google Scholar] [CrossRef] [PubMed]
- 28 GHz Repeater with Holographic Beam Forming Technology. Available online: https://pivotalcommware.com/wp-content/uploads/2021/02/Echo-5G-Datasheet-28-GHz-v2021.1.pdf (accessed on 1 January 2021).
- Chiang, W.-Y.; Ku, C.-H.; Chen, C.-A.; Wang, L.-Y.; Abu, P.A.R.; Rao, P.-Z.; Liu, C.-K.; Liao, C.-H.; Chen, S.-L. A Power-Efficient Multiband Planar USB Dongle Antenna for Wireless Sensor Networks. Sensors 2019, 19, 2568. [Google Scholar] [CrossRef] [PubMed]
- Antenna Design for Mobile Satellite Communication. Available online: https://www.coursehero.com/file/51044091/AdrianaOpriangr-xxxpdf/ (accessed on 2 June 2016).
- Cheng, X.; Yao, Y.; Yu, T.; Chen, Z.; Yu, J.; Chen, X. Analysis and Design of a Low-Cost Circularly Polarized Horn Antenna. IEEE Trans. Antennas Propag. 2018, 66, 7363–7367. [Google Scholar] [CrossRef]
- Yu, H.-Y.; Yu, J.; Yao, Y.; Liu, X.; Chen, X. Wideband Circularly Polarized Horn Antenna Exploiting Open Slotted End Structure. IEEE Antennas Wirel. Propag. Lett. 2020, 19, 267–271. [Google Scholar] [CrossRef]
- OrihuelaVargas, C.E.; Coelho, F.V.V.; Siqueira, G.L.; Magri, V.P.R.; Matos, L.J. Corrugated conical horn antenna with wide beamwidth at 60 GHz band. Microw. Opt. Technol. Lett. 2016, 58, 2731–2738. [Google Scholar] [CrossRef]
- 5G; NR; Base Station (BS) Radio Transmission and Reception (3GPP TS 38.104 Version 15.2.0 Release 15). Available online: https://www.etsi.org/deliver/etsi_ts/138100_138199/138104/15.02.00_60/ts_138104v150200p.pdf (accessed on 31 July 2018).
- Chang, T.H.; Barnett, L.R.; Chu, K.R.; Tai, F.; Hsu, C.L. Dual-function circular polarization converter for microwave/plasma processing systems. Rev. Sci. Instruments 1999, 70, 1530–1534. [Google Scholar] [CrossRef][Green Version]
- Pozar, D.M. Microwave Engineering, 4th ed.; John Wiley & Sons, Inc.: Hoboken, NJ, USA, 2012. [Google Scholar]
- Kildal, P.-S. Artificially soft and hard surfaces in electromagnetics. IEEE Trans. Antennas Propag. 1990, 38, 1537–1544. [Google Scholar] [CrossRef]
- Podilchak, S.; Freundorfer, A.; Antar, Y. Planar Leaky-Wave Antenna Designs Offering Conical-Sector Beam Scanning and Broadside Radiation Using Surface-Wave Launchers. IEEE Antennas Wirel. Propag. Lett. 2008, 7, 155–158. [Google Scholar] [CrossRef]
- Tung, W.-S.; Chiang, W.-Y.; Liu, C.-K.; Chen, C.-A.; Rao, P.-Z.; Abu, P.; Chen, W.-M.; Asadi, F.; Chen, S.-L. Low Cost AIP Design in 5G Flexible Antenna Phase Array System Application. Micromachines 2020, 11, 851. [Google Scholar] [CrossRef]
- Qi, J.-R.; Dang, Y.; Zhang, P.-Y.; Chou, H.-T.; Ju, H.-S. Dual-Band Circular-Polarization Horn Antenna with Completely Inhomogeneous Corrugations. IEEE Antennas Wirel. Propag. Lett. 2020, 19, 751–755. [Google Scholar] [CrossRef]
- Hussine, U.U.; Huang, Y.; Song, C. A new circularly polarized antenna for GNSS applications. In Proceedings of the 11th European Conference on Antennas and Propagation (EUCAP), Paris, France, 19–24 March 2017; pp. 1954–1956. [Google Scholar] [CrossRef]
- Yang, H.; Fan, Y.; Liu, X.; Tentzeris, M.M. Single-Fed Dual-Band Circularly Polarized Patch Antenna with Wide 3-dB Axial Ratio Beamwidth for CNSS Applications. In Proceedings of the 2019 IEEE MTT-S International Wireless Symposium (IWS), Guangzhou, China, 19–22 May 2019; pp. 1–3. [Google Scholar] [CrossRef]
- Afzal, M.U.; Lalbakhsh, A.; Esselle, K.P. Method to Enhance Directional Propagation of Circularly Polarized Antennas by Making Near-Electric Field Phase More Uniform. IEEE Trans. Antennas Propag. 2021, 69, 4447–4456. [Google Scholar] [CrossRef]
- Li, D.-Y.; Jiao, Y.-C. Polarization Reconfigurable Horn Antenna Based on Spoof Surface Plasmon Polaritons. In Proceedings of the 2020 Cross Strait Radio Science & Wireless Technology Conference (CSRSWTC), Fuzhou, China, 11–14 October 2020; pp. 1–3. [Google Scholar] [CrossRef]

























| Parameters | Values |
|---|---|
| A1 | 17 mm |
| A2 | 9 mm |
| H | 1.46 mm |
| θ | 8.5 degrees |
| D | 1.50 mm |
| Parameters | Values (mm) |
|---|---|
| R1 | 10 |
| R2 | 4.2 |
| H1 | 1 |
| H2 | 5 |
| L1 | 0.6 |
| L2 | 0.5 |
| W1 | 1 |
| W2 | 0.63 |
| 3 dB Beam width | XZ-Cut (Degrees) | YZ-Cut (Degrees) |
|---|---|---|
| 26.5 GHz | 97 | 105 |
| 27.0 GHz | 101 | 101 |
| 27.5 GHz | 103 | 100 |
| 28.0 GHz | 98 | 104 |
| 28.5 GHz | 100 | 102 |
| 29.0 GHz | 101 | 95 |
| 29.5 GHz | 95 | 94 |
| 30.0 GHz | 94 | 97 |
| 36.0 GHz | 77 | 75 |
| 36.5 GHz | 74 | 68 |
| 37.0 GHz | 70 | 70 |
| 37.5 GHz | 69 | 67 |
| 38.0 GHz | 68 | 66 |
| 38.5 GHz | 67 | 64 |
| 39.0 GHz | 65 | 60 |
| 39.5 GHz | 65 | 62 |
| 40.0 GHz | 63 | 60 |
| Frequency | 3 dB Beam Width | Axial Ratio | Peak Gain | Fabrication Complexity | |
|---|---|---|---|---|---|
| This work | 24~30 GHz 37~40 GHz | 105/77 | <4.5 dB <5.1 dB | 6.1/8.7 | easy |
| [10] | 55~62.5 GHz | 112.37 | NA | 7.32 | easy |
| [8] | 50~75 GHz | 30–60 | <3.2 dB | 12.21~12.56 | easy |
| [17] | 19.6–21.2 GHz 29.4–31 GHz | 23 19 | N/A | N/A | mid |
| [9] | 75–110 GHz | 58.3~76 | <3 dB | 6.7~9.8 | easy |
| [18] | 1.0~1.7 GHz | 98.6 | N/A | 3.4~2.5 | hard |
| [19] | 1.19~1.22 GHz 1.551~1.577 GHz | 94/90 | <3 dB | 6~6.4 | easy |
| [20] | 10.8~11.3 GHz | N/A | <3 dB | 19.8 dBic | mid |
| [21] | 8.45–11.5 GHz | N/A | <3 dB | N/A | hard |
Publisher’s Note: MDPI stays neutral with regard to jurisdictional claims in published maps and institutional affiliations. |
© 2022 by the authors. Licensee MDPI, Basel, Switzerland. This article is an open access article distributed under the terms and conditions of the Creative Commons Attribution (CC BY) license (https://creativecommons.org/licenses/by/4.0/).
Share and Cite
Liu, C.-K.; Chiang, W.-Y.; Rao, P.-Z.; Hung, P.-H.; Chen, S.-H.; Chen, C.-A.; Wang, L.-H.; Abu, P.A.R.; Chen, S.-L. The Uses of a Dual-Band Corrugated Circularly Polarized Horn Antenna for 5G Systems. Micromachines 2022, 13, 289. https://doi.org/10.3390/mi13020289
Liu C-K, Chiang W-Y, Rao P-Z, Hung P-H, Chen S-H, Chen C-A, Wang L-H, Abu PAR, Chen S-L. The Uses of a Dual-Band Corrugated Circularly Polarized Horn Antenna for 5G Systems. Micromachines. 2022; 13(2):289. https://doi.org/10.3390/mi13020289
Chicago/Turabian StyleLiu, Chih-Kai, Wei-Yuan Chiang, Pei-Zong Rao, Pei-Hsiu Hung, Shih-Hung Chen, Chiung-An Chen, Liang-Hung Wang, Patricia Angela R. Abu, and Shih-Lun Chen. 2022. "The Uses of a Dual-Band Corrugated Circularly Polarized Horn Antenna for 5G Systems" Micromachines 13, no. 2: 289. https://doi.org/10.3390/mi13020289
APA StyleLiu, C.-K., Chiang, W.-Y., Rao, P.-Z., Hung, P.-H., Chen, S.-H., Chen, C.-A., Wang, L.-H., Abu, P. A. R., & Chen, S.-L. (2022). The Uses of a Dual-Band Corrugated Circularly Polarized Horn Antenna for 5G Systems. Micromachines, 13(2), 289. https://doi.org/10.3390/mi13020289

