A Microfluidic Prototype for High-Frequency, Large Strain Oscillatory Flow Rheometry
Abstract
:1. Introduction
2. “Rheo-Chip” Setup for Oscillatory Flow Measurements in Microfluidics
3. Results and Discussion
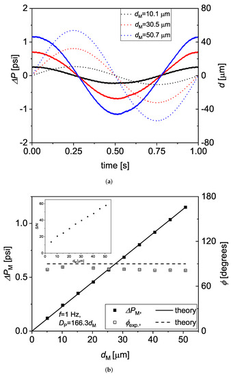
3.1. Strain Dependence of Pressure Drop at Low Frequency
3.2. The Frequency Dependence of Pressure Drop Measurements Is Not Captured by the Newtonian Prediction
3.3. Membrane Compliance Accounts for the Observed Frequency Dependence of Pressure Drop
4. Conclusions
Author Contributions
Funding
Data Availability Statement
Acknowledgments
Conflicts of Interest
List of Symbols
| width/depth channel aspect ratio | |
| Pressure drop | |
| Theoretical amplitude of the pressure drop | |
| Amplitude of the pressure drop | |
| Strain | |
| Experimental amplitude of fluid strain | |
| Theoretical amplitude of fluid strain | |
| Longest relaxation time | |
| Shear viscosity | |
| Kinematic viscosity | |
| Angular frequency | |
| Phase angle between the pressure drop and the A1 actuator displacement | |
| Real phase delay | |
| Newtonian phase delay | |
| Fluid density | |
| Standard deviation of the residual of the sinusoidal fitting of | |
| ∼ | Complex quantity |
| Effective amplitude of fluid displacement within the microchannel | |
| Theoretical amplitude of fluid displacement | |
| C | Membrane compliance |
| Displacement of Actuator 1 | |
| Displacement of Actuator 2 | |
| Diameter of fluid chamber | |
| Hydraulic diameter | |
| Membrane diameter | |
| h | Channel depth |
| Newtonian inertance | |
| K | |
| L | Distance between pressure sensors |
| Distance between the pressure sensor and the fluid chamber | |
| Gauge pressure measured by PS1 sensor | |
| Gauge pressure measured by PS2 sensor | |
| Q | Flow rate |
| Real flow rate | |
| Amplitude of the flow rate | |
| R | Membrane radius |
| Plate radius | |
| Newtonian resistance | |
| t | Time |
| Real fluid volume occupied in chamber 1 | |
| Dead volume of fluid | |
| w | Channel width |
| Womersley number | |
| Non-dimensionalised, experimentally measured impedance | |
| Non-dimensionalised, real impedance | |
| Experimentally measured impedance | |
| Real flow impedance | |
| Newtonian impedance | |
| f | Frequency |
| De | Deborah number |
References
- Lohse, D. Fundamental fluid dynamics challenges in inkjet printing. Annu. Rev. Fluid Mech. 2022, 54, 349–382. [Google Scholar] [CrossRef]
- Xu, D.; Sanchez-Romaguera, V.; Barbosa, S.; Travis, W.; de Wit, J.; Swan, P.; Yeates, S.G. Inkjet printing of polymer solutions and the role of chain entanglement. J. Mater. Chem. 2007, 17, 4902–4907. [Google Scholar] [CrossRef]
- Tuladhar, T.; Mackley, M. Filament stretching rheometry and break-up behaviour of low viscosity polymer solutions and inkjet fluids. J. Non-Newton. Fluid Mech. 2008, 148, 97–108. [Google Scholar] [CrossRef]
- Herran, C.L.; Coutris, N. Drop-on-demand for aqueous solutions of sodium alginate. Exp. Fluids 2013, 54, 1548. [Google Scholar] [CrossRef]
- Keshavarz, B.; Sharma, V.; Houze, E.C.; Koerner, M.R.; Moore, J.R.; Cotts, P.M.; Threlfall-Holmes, P.; McKinley, G.H. Studying the effects of elongational properties on atomization of weakly viscoelastic solutions using Rayleigh Ohnesorge Jetting Extensional Rheometry (ROJER). J. Non-Newton. Fluid Mech. 2015, 222, 171–189. [Google Scholar] [CrossRef]
- Xu, C.; Zhang, Z.; Fu, J.; Huang, Y. Study of pinch-off locations during drop-on-demand inkjet printing of viscoelastic alginate solutions. Langmuir 2017, 33, 5037–5045. [Google Scholar] [CrossRef]
- Tirtaatmadja, V.; McKinley, G.H.; Cooper-White, J.J. Drop formation and breakup of low viscosity elastic fluids: Effects of molecular weight and concentration. Phys. Fluids 2006, 18, 043101. [Google Scholar] [CrossRef] [Green Version]
- Zarraga, I.E.; Taing, R.; Zarzar, J.; Luoma, J.; Hsiung, J.; Patel, A.; Lim, F.J. High shear rheology and anisotropy in concentrated solutions of monoclonal antibodies. J. Pharm. Sci. 2013, 102, 2538–2549. [Google Scholar] [CrossRef]
- Schmit, J.D.; He, F.; Mishra, S.; Ketchem, R.R.; Woods, C.E.; Kerwin, B.A. Entanglement model of antibody viscosity. J. Phys. Chem. B 2014, 118, 5044–5049. [Google Scholar] [CrossRef] [Green Version]
- Ramallo, N.; Paudel, S.; Schmit, J. Cluster formation and entanglement in the rheology of antibody solutions. J. Phys. Chem. B 2019, 123, 3916–3923. [Google Scholar] [CrossRef]
- Lanzaro, A.; Roche, A.; Sibanda, N.; Corbett, D.; Davis, P.; Shah, M.; Pathak, J.A.; Uddin, S.; van der Walle, C.F.; Yuan, X.F.; et al. Cluster Percolation Causes Shear Thinning Behavior in Concentrated Solutions of Monoclonal Antibodies. Mol. Pharm. 2021, 18, 2669–2682. [Google Scholar] [CrossRef]
- Yadav, S.; Liu, J.; Shire, S.J.; Kalonia, D.S. Specific interactions in high concentration antibody solutions resulting in high viscosity. J. Pharm. Sci. 2010, 99, 1152–1168. [Google Scholar] [CrossRef]
- Yadav, S.; Laue, T.M.; Kalonia, D.S.; Singh, S.N.; Shire, S.J. The influence of charge distribution on self-association and viscosity behavior of monoclonal antibody solutions. Mol. Pharm. 2012, 9, 791–802. [Google Scholar] [CrossRef]
- Yadav, S.; Shire, S.J.; Kalonia, D.S. Viscosity behavior of high-concentration monoclonal antibody solutions: Correlation with interaction parameter and electroviscous effects. J. Pharm. Sci. 2012, 101, 998–1011. [Google Scholar] [CrossRef]
- Crassous, J.J.; Régisser, R.; Ballauff, M.; Willenbacher, N. Characterization of the viscoelastic behavior of complex fluids using the piezoelastic axial vibrator. J. Rheol. 2005, 49, 851–863. [Google Scholar] [CrossRef]
- Womersley, J.R. Method for the calculation of velocity, rate of flow and viscous drag in arteries when the pressure gradient is known. J. Physiol. 1955, 127, 553–563. [Google Scholar] [CrossRef]
- Morris, C.J.; Forster, F.K. Oscillatory flow in microchannels. Exp. Fluids 2004, 36, 928–937. [Google Scholar] [CrossRef]
- Ewoldt, R.H.; Hosoi, A.; McKinley, G.H. New measures for characterizing nonlinear viscoelasticity in large amplitude oscillatory shear. J. Rheol. 2008, 52, 1427–1458. [Google Scholar] [CrossRef] [Green Version]
- Vedel, S.; Olesen, L.H.; Bruus, H. Pulsatile microfluidics as an analytical tool for determining the dynamic characteristics of microfluidic systems. J. Micromech. Microeng. 2010, 20, 035026. [Google Scholar] [CrossRef]
- van der Burgt, R.C.; Anderson, P.D.; den Toonder, J.M.; van de Vosse, F.N. A microscale pulsatile flow device for dynamic cross-slot rheometry. Sens. Actuators A Phys. 2014, 220, 221–229. [Google Scholar] [CrossRef] [Green Version]
- Lanzaro, A.; Yuan, X.F. Effects of contraction ratio on nonlinear dynamics of semi-dilute, highly polydisperse PAAm solutions in microfluidics. J. Non-Newton. Fluid Mech. 2011, 166, 1064–1075. [Google Scholar] [CrossRef]
- Lanzaro, A. A microfluidic approach to studying the injection flow of concentrated albumin solutions. SN Appl. Sci. 2021, 3, 783. [Google Scholar] [CrossRef]
- White, F.M.; Majdalani, J. Viscous Fluid Flow; McGraw-Hill: New York, NY, USA, 2006; Volume 3. [Google Scholar]
- Oliveira, M.S.; Rodd, L.E.; McKinley, G.H.; Alves, M.A. Simulations of extensional flow in microrheometric devices. Microfluid. Nanofluidics 2008, 5, 809. [Google Scholar] [CrossRef] [Green Version]
- Omowunmi, S.C.; Yuan, X.F. Time-dependent nonlinear dynamics of polymer solutions in microfluidic contraction flow—A numerical study on the role of elongational viscosity. Rheol. Acta 2013, 52, 337–354. [Google Scholar] [CrossRef]
- Hyun, K.; Wilhelm, M.; Klein, C.O.; Cho, K.S.; Nam, J.G.; Ahn, K.H.; Lee, S.J.; Ewoldt, R.H.; McKinley, G.H. A review of nonlinear oscillatory shear tests: Analysis and application of large amplitude oscillatory shear (LAOS). Prog. Polym. Sci. 2011, 36, 1697–1753. [Google Scholar] [CrossRef]







Publisher’s Note: MDPI stays neutral with regard to jurisdictional claims in published maps and institutional affiliations. |
© 2022 by the authors. Licensee MDPI, Basel, Switzerland. This article is an open access article distributed under the terms and conditions of the Creative Commons Attribution (CC BY) license (https://creativecommons.org/licenses/by/4.0/).
Share and Cite
Lanzaro, A.; Yuan, X.-F. A Microfluidic Prototype for High-Frequency, Large Strain Oscillatory Flow Rheometry. Micromachines 2022, 13, 256. https://doi.org/10.3390/mi13020256
Lanzaro A, Yuan X-F. A Microfluidic Prototype for High-Frequency, Large Strain Oscillatory Flow Rheometry. Micromachines. 2022; 13(2):256. https://doi.org/10.3390/mi13020256
Chicago/Turabian StyleLanzaro, Alfredo, and Xue-Feng Yuan. 2022. "A Microfluidic Prototype for High-Frequency, Large Strain Oscillatory Flow Rheometry" Micromachines 13, no. 2: 256. https://doi.org/10.3390/mi13020256
APA StyleLanzaro, A., & Yuan, X.-F. (2022). A Microfluidic Prototype for High-Frequency, Large Strain Oscillatory Flow Rheometry. Micromachines, 13(2), 256. https://doi.org/10.3390/mi13020256

