Simulation of a Hemispherical Chamber for Thermal Inkjet Printing
Abstract
1. Introduction
2. Theory and Simulation Model
2.1. Steam Bubble Model
2.2. Analysis of Inkjet Chamber
3. Simulation and Results
3.1. Hemispherical Chamber Model
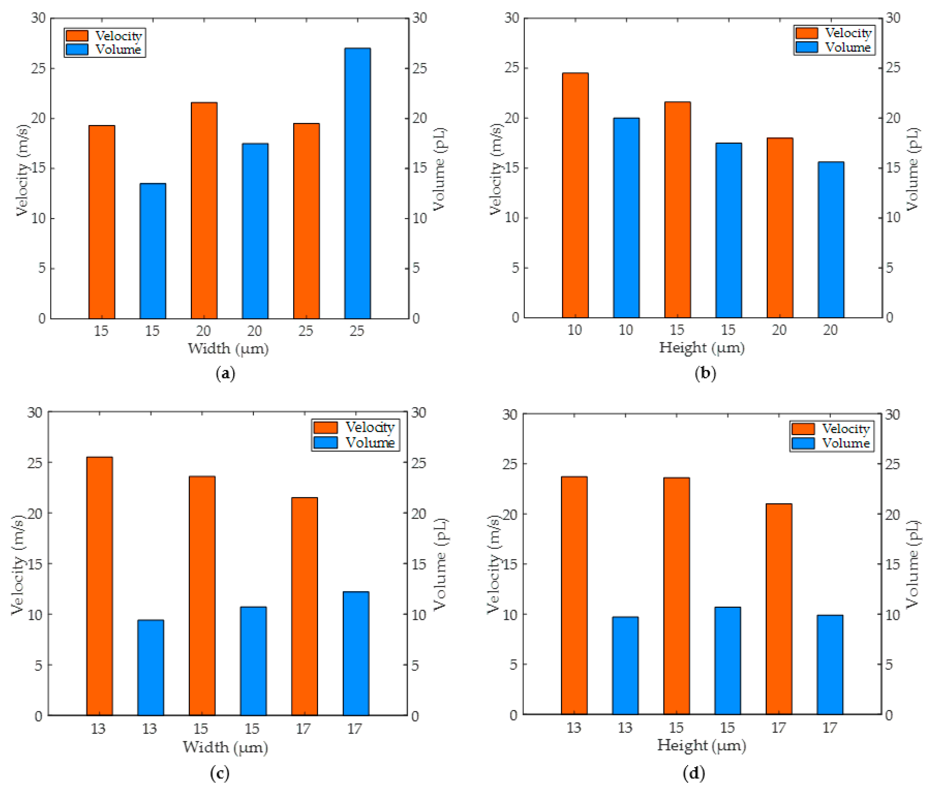
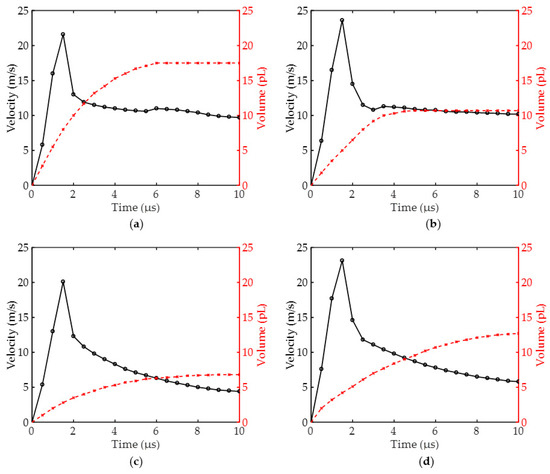
3.2. Analysis of Inkjet Performance
4. Conclusions
Author Contributions
Funding
Data Availability Statement
Conflicts of Interest
References
- Thuau, D.; Kallitsis, K.; Dos Santos, F.D.; Hadziioannou, G. All inkjet-printed piezoelectric electronic devices: Energy generators, sensors and actuators. J. Mater. Chem. C 2017, 5, 9963–9966. [Google Scholar] [CrossRef]
- Huang, S.M.; Shen, R.X.; Qian, B.; Li, L.Y.; Wang, W.H.; Lin, G.H.; Zhang, X.F.; Li, P.; Xie, Y.L. Thermal bubble inkjet printing of water-based graphene oxide and graphene inks on heated substrate. J. Phys. D Appl. Physics 2018, 51, 135302. [Google Scholar] [CrossRef]
- Yin, Z.P.; Huang, Y.A.; Bu, N.B.; Wang, X.M.; Xiong, Y.L. Inkjet printing for flexible electronics: Materials, processes and equipments. Chin. Sci. Bull. 2010, 55, 3383–3407. [Google Scholar] [CrossRef]
- Cao, M.T.; Jochem, K.; Hyun, W.J.; Francis, L.F.; Frisbie, C.D. Self-aligned inkjet printing of resistors and low-pass resistor-capacitor filters on roll-to-roll imprinted plastics with resistances ranging from 10 to 10(6)Omega. Flex. Print. Electron. 2018, 3, 045003. [Google Scholar] [CrossRef]
- Park, M.H.; Kim, S.H. Temperature coefficient of resistivity of TiAlN films deposited by radio frequency magnetron sputtering. Trans. Nonferrous Met. Soc. China 2013, 23, 433–438. [Google Scholar] [CrossRef]
- Peng, X.; Lu, A.; Sun, Q.; Xu, N.; Xie, Y.; Wu, J.; Cheng, J. Design of H-Shape Chamber in Thermal Bubble Printer. Micromachines 2022, 13, 194. [Google Scholar] [CrossRef]
- Yang, X.C.; Cao, Y.G. Effects of head loss, surface tension, viscosity and density ratio on the Kelvin-Helmholtz instability in different types of pipelines. Phys. D Nonlinear Phenom. 2021, 424, 132950. [Google Scholar] [CrossRef]
- Beg, M.N.A.; Carvalho, R.F.; Leandro, J. Effect of manhole molds and inlet alignment on the hydraulics of circular manhole at changing surcharge. Urban Water J. 2019, 16, 33–44. [Google Scholar] [CrossRef]
- Lohse, D. Fundamental Fluid Dynamics Challenges in Inkjet Printing. Annu. Rev. Fluid Mech. 2022, 54, 349–382. [Google Scholar] [CrossRef]
- Zhou, H.W.; Gue, A.M. Simulation model and droplet ejection performance of a thermal-bubble microejector. Sens. Act. B Chem. 2010, 145, 311–319. [Google Scholar] [CrossRef]
- Sohrabi, S.; Liu, Y.L. Modeling thermal inkjet and cell printing process using modified pseudopotential and thermal lattice Boltzmann methods. Phys. Rev. E 2018, 97, 033105. [Google Scholar] [CrossRef]
- Tan, H.; Torniainen, E.; Markel, D.; Browning, R. Numerical simulation of droplet ejection of thermal inkjet printheads. Int. J. Numer. Methods Fluids 2015, 77, 544–570. [Google Scholar] [CrossRef]
- Cho, S.; Son, G. Numerical simulation of acoustic droplet vaporization near a wall. Int. Commun. Heat Mass Transf. 2018, 99, 7–17. [Google Scholar] [CrossRef]
- Xiang, Y.H.; Jiang, L.H.; Zhu, Y.; Chen, C.S.; Chen, Y.Y.; Zhou, W.L. A Thermal Ink-Jet Printer Head Prototype With Full Carbon Based Microbubble Generator. J. Microelectromech. Syst. 2017, 26, 1040–1046. [Google Scholar] [CrossRef]
- Mantihal, S.; Prakash, S.; Godoi, F.C.; Bhandari, B. Optimization of chocolate 3D printing by correlating thermal and flow properties with 3D structure modeling. Innov. Food Sci. Emerg. Technol. 2017, 44, 21–29. [Google Scholar] [CrossRef]
- Le Tohic, C.; O’Sullivan, J.J.; Drapala, K.P.; Chartrin, V.; Chan, T.; Morrison, A.P.; Kerry, J.P.; Kelly, A.L. Effect of 3D printing on the structure and textural properties of processed cheese. J. Food Eng. 2018, 220, 56–64. [Google Scholar] [CrossRef]
- Derossi, A.; Caporizzi, R.; Azzollini, D.; Severini, C. Application of 3D printing for customized food. A case on the development of a fruit-based snack for children. J. Food Eng. 2018, 220, 65–75. [Google Scholar] [CrossRef]
- Cui, X.F.; Dean, D.; Ruggeri, Z.M.; Boland, T. Cell Damage Evaluation of Thermal Inkjet Printed Chinese Hamster Ovary Cells. Biotechnol. Bioeng. 2010, 106, 963–969. [Google Scholar] [CrossRef]
- Lu, A.; Peng, X.; Sun, Q.; Cheng, J.; Xu, N.; Xie, Y.; Ding, J.; Li, P.; Long, J.; Wu, J. Design of Chopsticks-Shaped Heating Resistors for a Thermal Inkjet: Based on TaN Film. Micromachines 2022, 13, 787. [Google Scholar] [CrossRef]
- An, R.D.; Yu, C.H. A level set redistancing algorithm for simulation of two-phase flow. Numer. Heat Transf. Part B Fundam. 2020, 78, 30–53. [Google Scholar] [CrossRef]
- Wang, Y.L.; Ju, X.L.; Zhu, S.J.; Li, M. Simulation of local head loss of drip-irrigation tape with integrated in-line emitters as a function of cross section. Span. J. Agric. Res. 2020, 18, e0210. [Google Scholar] [CrossRef]
- Conroy, D.T.; Espin, L.; Matar, O.K.; Kumar, S. Thermocapillary and electrohydrodynamic effects on the stability of dynamic contact lines. Phys. Rev. Fluids 2019, 4, 034001. [Google Scholar] [CrossRef]
- Karim, A.M. A review of physics of moving contact line dynamics models and its applications in interfacial science. J. Appl. Phys. 2022, 132, 080701. [Google Scholar] [CrossRef]
- Hendrickson, G. Valve and fitting pressure losses in compressible flow systems. Process Saf. Prog. 2020, 40, e12193. [Google Scholar] [CrossRef]
- Roldughin, V.I.; Kharitonova, T.V. The Mechanism of Action and Place of Application of Capillary Forces. Colloid J. 2017, 79, 540–548. [Google Scholar] [CrossRef]
- Ichikawa, N.; Maeda, R. Interface motion driven by capillary action in circular and rectangular microchannel. Microscale Thermophys. Eng. 2015, 9, 237–254. [Google Scholar] [CrossRef]
- Wang, T.; Li, H.X.; Feng, Y.C.; Shi, D.X. A coupled volume-of-fluid and level set (VOSET) method on dynamically adaptive quadtree grids. Int. J. Heat Mass Transf. 2013, 67, 70–73. [Google Scholar] [CrossRef]
- Suh, Y.; Son, G. A Level-Set Method for Simulation of a Thermal Inkjet Process. Numer. Heat Transf. Part B Fundam. 2008, 54, 138–156. [Google Scholar] [CrossRef]
- Lee, S.H.; Nguyen, X.H.; Ko, H.S. Study on droplet formation with surface tension for electrohydrodynamic inkjet nozzle. J. Mech. Sci. Technol. 2012, 26, 1403–1408. [Google Scholar] [CrossRef]
- Bernetski, K.A.; Burkhart, C.T.; Maki, K.L.; Schertzer, M.J. Characterization of electrowetting, contact angle hysteresis, and adhesion on digital microfluidic devices with inkjet-printed electrodes. Microfluid. Nanofluid. 2018, 22, 96. [Google Scholar] [CrossRef]
- Chen, W.C.; Wu, T.J.; Wu, W.J.; Su, G.D.J. Fabrication of inkjet-printed SU-8 photoresist microlenses using hydrophilic confinement. J. Micromech. Microeng. 2013, 23, 065008. [Google Scholar] [CrossRef]
- Wang, W.H.; Zhu, X.B.; Li, L.Y.; Qian, B.; Xie, Y.L. Characterization of thermal inkjet droplets jitter. J. Phys. D Appl. Phys. 2019, 52, 315302. [Google Scholar] [CrossRef]
- Tan, H. An adaptive mesh refinement based flow simulation for free-surfaces in thermal inkjet technology. Int. J. Multiph. Flow 2016, 82, 1–16. [Google Scholar] [CrossRef]













| Structural Parameters | Value (µm) |
|---|---|
| Nozzle top diameter | 15 |
| Nozzle bottom diameter | 20 |
| The nozzle height | 15 |
| Heating resistor | 17 × 38 |
| Main channel | 80 × 100 |
| Chamber height | 30 |
| Chamber radius | 32.5 |
| Chamber Types | Liquid Column Broken Time (μs) | Droplet Volume μm (pL) | Velocity of Liquid Column (m/s) | Volume Ratio of Droplet to Chamber (%) |
|---|---|---|---|---|
| square | 5.6 | 8.8 | 21.0 | 12.2 |
| trapezoidal | 5.4 | 9.0 | 21.3 | 12.5 |
| round | 5.1 | 9.2 | 22.1 | 12.7 |
| hemispherical | 4 | 10.7 | 23.6 | 14.9 |
| Reference | Liquid Column Broken Time (μs) | Velocity of Liquid Column (m/s) | Maximum Bubble Pressure (MPa) | Nozzle Diameter (μm) | Printing Frequency (KHz) |
|---|---|---|---|---|---|
| Ref. [11] | 22 | 21 | 20 | 48 | - |
| Ref. [12] | 15 | 16 | - | 20 | - |
| Ref. [27] | 61 | - | 5.5 | 50 | - |
| Ref. [32] | - | 6 | - | 20 | 1 |
| Ref. [33] | 15 | 16 | 2 | 20 | - |
| This work | 4 | 23.6 | 10 | 20 | 30 |
Publisher’s Note: MDPI stays neutral with regard to jurisdictional claims in published maps and institutional affiliations. |
© 2022 by the authors. Licensee MDPI, Basel, Switzerland. This article is an open access article distributed under the terms and conditions of the Creative Commons Attribution (CC BY) license (https://creativecommons.org/licenses/by/4.0/).
Share and Cite
Peng, X.; Lu, A.; Li, P.; Chen, Z.; Yu, Z.; Lin, J.; Wang, Y.; Zhao, Y.; Yang, J.; Cheng, J. Simulation of a Hemispherical Chamber for Thermal Inkjet Printing. Micromachines 2022, 13, 1843. https://doi.org/10.3390/mi13111843
Peng X, Lu A, Li P, Chen Z, Yu Z, Lin J, Wang Y, Zhao Y, Yang J, Cheng J. Simulation of a Hemispherical Chamber for Thermal Inkjet Printing. Micromachines. 2022; 13(11):1843. https://doi.org/10.3390/mi13111843
Chicago/Turabian StylePeng, Xishun, Anjiang Lu, Pangyue Li, Zhongpeng Chen, Ziran Yu, Jianwu Lin, Yi Wang, Yibo Zhao, Jiao Yang, and Jin Cheng. 2022. "Simulation of a Hemispherical Chamber for Thermal Inkjet Printing" Micromachines 13, no. 11: 1843. https://doi.org/10.3390/mi13111843
APA StylePeng, X., Lu, A., Li, P., Chen, Z., Yu, Z., Lin, J., Wang, Y., Zhao, Y., Yang, J., & Cheng, J. (2022). Simulation of a Hemispherical Chamber for Thermal Inkjet Printing. Micromachines, 13(11), 1843. https://doi.org/10.3390/mi13111843

