Fast Terahertz Imaging Model Based on Group Sparsity and Nonlocal Self-Similarity
Abstract
:1. Introduction
2. Materials and Methods
2.1. Proposed Fast Terahertz Imaging Model
2.2. Solvution Algorithm Using Acceleration Scheme
| Algorithm 1 The proposed algorithm by combining group sparsity and nonlocal self-similarity. |
| Input: measured terahertz data y, observation matrix R, sparsity basis , nonlocal self-similarity operator . |
| Initialization: , μ, λ, γ, estimate an initial image x0. |
| Loop: set i = 0 and repeat until while if , break return |
| End Loop |
| Output:x |
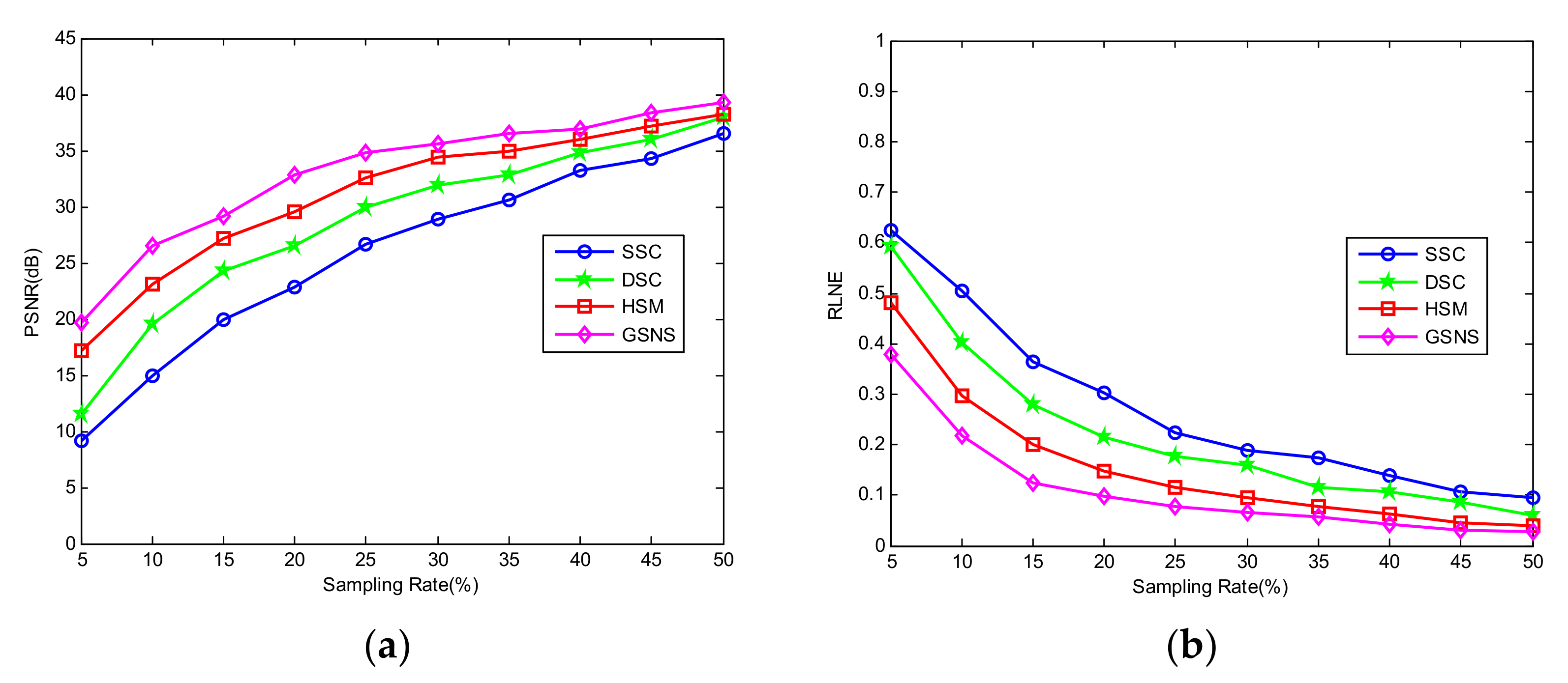
3. Experiments and Discussion
4. Conclusions
Author Contributions
Funding
Data Availability Statement
Conflicts of Interest
References
- Mittleman, D.M. Twenty years of terahertz imaging. Opt. Express 2018, 26, 9417–9431. [Google Scholar] [CrossRef] [PubMed]
- Zanotto, L.; Piccoli, R.; Dong, J.L.; Morandotti, R.; Razzari, L. Single-pixel terahertz imaging: A review. Opto Electron. Adv. 2020, 3, 200012. [Google Scholar] [CrossRef]
- Totero Gongora, J.S.; Olivieri, L.; Peters, L.; Tunesi, J.; Cecconi, V.; Cutrona, A.; Tucker, R.; Kumar, V.; Pasquazi, A.; Peccianti, M. Route to intelligent imaging reconstruction via terahertz nonlinear ghost imaging. Micromachines 2020, 11, 521. [Google Scholar] [CrossRef] [PubMed]
- Liu, H.B.; Zhong, H.; Karpowicz, N.; Chen, Y.Q.; Zhang, X.C. Real-time terahertz imaging with a single-pixel detector. Proc. IEEE 2007, 95, 1514–1527. [Google Scholar] [CrossRef]
- Stoik, C.; Bohn, M.; Blackshire, J. Nondestructive evaluation of aircraft composites using reflective terahertz time domain spectroscopy. NDT E Int. 2020, 43, 106–115. [Google Scholar] [CrossRef] [Green Version]
- Guerboukha, H.; Nallappan, K.; Skorobogatiy, M. Toward real-time terahertz imaging. Adv. Opt. Photon. 2018, 10, 843–938. [Google Scholar] [CrossRef]
- Arco, A.D.; Di Fabrizio, M.; Dolci, V.; Petrarca, M.; Lupi, S. THz pulsed imaging in biomedical applications. Condens. Matter 2020, 5, 25. [Google Scholar]
- Xiang, Y.; Xiang, Z.; Ke, Y.; Liu, Y.; Yang, L. Biomedical applications of terahertz spectroscopy and imaging. Trends Biotechnol. 2016, 34, 810–824. [Google Scholar]
- Pickwell, E.; Wallace, V.P. Biomedical applications of terahertz technology. J. Phys. D Appl. Phys. 2006, 39, R301. [Google Scholar] [CrossRef]
- Pradarutti, B.; Müller, R.; Freese, W.; Matthäus, G.; Riehemann, S.; Notni, G.; Nolte, S.; Tünnermann, A. Terahertz line detection by a microlens array coupled photoconductive antenna array. Opt. Express 2008, 16, 18443–18450. [Google Scholar] [CrossRef]
- Nallappan, K.; Li, J.; Guerboukha, H.; Markov, A.; Petrov, B.; Morris, D.; Skorobogatiy, M. A dynamically reconfigurable terahertz array antenna for 2D imaging applications. In Proceedings of the 2017 Photonics North (PN), Ottawa, ON, Canada, 6–8 June 2017. [Google Scholar]
- Malhotra, I.; Jha, K.R.; Singh, G. Design of highly directive lens-less photoconductive dipole antenna array with frequency selective surface for terahertz imaging applications. Optik 2018, 173, 206–219. [Google Scholar] [CrossRef]
- Chan, W.L.; Moravec, M.L.; Baraniuk, R.G.; Mittleman, D.M. Terahertz imaging with compressed sensing and phase retrieval. Opt. Lett. 2008, 33, 974–976. [Google Scholar] [CrossRef]
- Chan, W.L.; Charan, K.; Takhar, D. A single-pixel terahertz imaging system based on compressed sensing. Appl. Phys. Lett. 2008, 93, 121105. [Google Scholar] [CrossRef] [Green Version]
- Zhang, Z.; Ma, X.; Zhong, J. Single-pixel imaging by means of Fourier spectrum acquisition. Nat. Commun. 2015, 6, 6225. [Google Scholar] [CrossRef] [Green Version]
- Cho, S.H.; Lee, S.-H.; Gung, C.N.; Oh, S.J.; Son, J.H.; Park, H.; Ahn, C.B. Fast terahertz reflection tomography using block-based compressed sensing. Opt. Express 2011, 19, 16401–16409. [Google Scholar] [CrossRef]
- Hwang, B.M.; Lee, S.H.; Lim, W.T.; Ahn, C.B.; Son, J.H.; Park, H. A fast spatial-domain terahertz imaging using block-based compressed sensing. J. Infrared Millim. Terahertz Waves 2011, 32, 1328–1336. [Google Scholar] [CrossRef]
- Ren, X.; Jiang, Y. Spatial domain terahertz image reconstruction based on dual sparsity constraints. Sensors 2021, 21, 4116. [Google Scholar] [CrossRef]
- Buades, A.; Coll, B.; Morel, J.-M. A non-local algorithm for image denoising. In Proceedings of the IEEE Conference on Computer Vision and Pattern Recognition (CVPR), San Diego, CA, USA, 20–25 June 2005; pp. 60–65. [Google Scholar]
- Lebrun, M. An analysis and implementation of the BM3D image denoising method. Image Process. Line 2012, 2, 175. [Google Scholar] [CrossRef] [Green Version]
- Zha, Z.; Zhang, X.; Wang, Q.; Tang, L.; Liu, X. Group-based sparse representation for image compressive sensing reconstruction with non-convex regularization. Neurocomputing 2018, 296, 55–63. [Google Scholar] [CrossRef] [Green Version]
- Ren, X.; Bai, Y.; Jiang, Y. Hybrid spatial model for fast terahertz imaging. Micromachines 2021, 12, 1181. [Google Scholar] [CrossRef]
- Fan, X.Y.; Lian, Q.S.; Shi, B.S. Compressed sensing MRI based on image decomposition model and group sparsity. Magn. Reson. Imaging 2019, 60, 101–109. [Google Scholar] [CrossRef] [PubMed]
- Hao, H.X.; Wu, L.D. A new complex valued dictionary learning method for group-sparse representation. Optik 2019, 196, 163150. [Google Scholar] [CrossRef]
- Zhang, J.; Zhao, D.; Gao, W. Group-based sparse representation for image restoration. IEEE Trans. Image Process. 2014, 23, 3336–3351. [Google Scholar] [CrossRef] [PubMed] [Green Version]
- Goldstein, T.; Osher, S. The split bregman method for L1 regularized problems. SIAM J. Imaging Sci. 2009, 2, 323–343. [Google Scholar] [CrossRef]
- Zou, J.; Li, H.F.; Liu, G.Q. Split bregman algorithm for structured sparse reconstruction. IEEE Access 2018, 6, 21560–21569. [Google Scholar] [CrossRef]
- Corsaro, S.; Simone, V.D.; Marino, Z. Split bregman iteration for multi-period mean variance portfolio optimization. Appl. Math. Comput. 2021, 392, 125715. [Google Scholar] [CrossRef]
- Beck, A.; Teboulle, M. A fast iterative shrinkage-thresholding algorithm for linear inverse problems. SIAM J. Imaging Sci. 2009, 2, 183–202. [Google Scholar] [CrossRef] [Green Version]
- Xiao, Y.; Zhu, H. A conjugate gradient method to solve convex constrained monotone equations with applications in compressive sensing. J. Math. Anal. Appl. 2013, 405, 310–319. [Google Scholar] [CrossRef]
- Xiao, Y.; Wu, C.; Wu, S.Y. Norm descent conjugate gradient methods for solving symmetric nonlinear equations. J. Glob. Optim. 2015, 62, 751–762. [Google Scholar] [CrossRef]
- Turaga, D.S.; Chen, Y.; Caviedes, J. No reference psnr estimation for compressed pictures. Signal Process. Image Commun. 2004, 19, 173–184. [Google Scholar] [CrossRef]
- Qu, X.B.; Hou, Y.K.; Lam, F.; Guo, D.; Zhong, J.H.; Chen, Z. Magnetic resonance image reconstruction from undersampled measurements using a patch-based nonlocal operator. Med. Image Anal. 2014, 18, 843–856. [Google Scholar] [CrossRef]




Publisher’s Note: MDPI stays neutral with regard to jurisdictional claims in published maps and institutional affiliations. |
© 2022 by the authors. Licensee MDPI, Basel, Switzerland. This article is an open access article distributed under the terms and conditions of the Creative Commons Attribution (CC BY) license (https://creativecommons.org/licenses/by/4.0/).
Share and Cite
Ren, X.; Bai, Y.; Niu, Y.; Jiang, Y. Fast Terahertz Imaging Model Based on Group Sparsity and Nonlocal Self-Similarity. Micromachines 2022, 13, 94. https://doi.org/10.3390/mi13010094
Ren X, Bai Y, Niu Y, Jiang Y. Fast Terahertz Imaging Model Based on Group Sparsity and Nonlocal Self-Similarity. Micromachines. 2022; 13(1):94. https://doi.org/10.3390/mi13010094
Chicago/Turabian StyleRen, Xiaozhen, Yanwen Bai, Yingying Niu, and Yuying Jiang. 2022. "Fast Terahertz Imaging Model Based on Group Sparsity and Nonlocal Self-Similarity" Micromachines 13, no. 1: 94. https://doi.org/10.3390/mi13010094
APA StyleRen, X., Bai, Y., Niu, Y., & Jiang, Y. (2022). Fast Terahertz Imaging Model Based on Group Sparsity and Nonlocal Self-Similarity. Micromachines, 13(1), 94. https://doi.org/10.3390/mi13010094
