The Streaming Potential of Fluid through a Microchannel with Modulated Charged Surfaces
Abstract
:1. Introduction
2. Mathematical Model
2.1. EDL Potential Distribution
2.2. Velocity Distribution
2.3. Streaming Potential
3. Result and Discussion
3.1. Flow Field
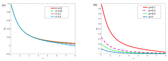
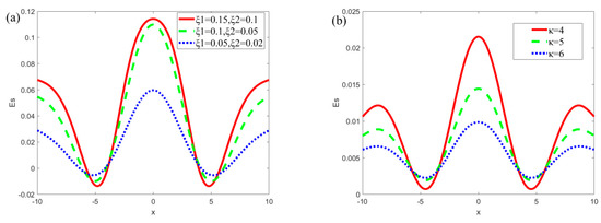
3.2. Analysis of the Streaming Potential
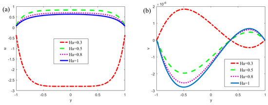
3.3. Analysis of Dimensionless Velocity
4. Conclusions
Author Contributions
Funding
Acknowledgments
Conflicts of Interest
Appendix A
Appendix B
References
- Gourikutty, S.B.N.; Chang, C.; Puiu, P.D. Microfluidic immunomagnetic cell separation from whole blood. J. Chromatogr. B 2016, 1011, 77–88. [Google Scholar] [CrossRef]
- Ohno, K.; Tachikawa, K.; Manz, A. Microfluidics: Applications for analytical purposes in chemistry and biochemistry. Electrophoresis 2008, 29, 4443–4453. [Google Scholar] [CrossRef]
- Squires, T.M.; Quake, S.R. Microfluidics: Fluid physics at the nanoliter scale. Rev. Mod. Phys. 2005, 77, 977–1026. [Google Scholar] [CrossRef] [Green Version]
- Gravesen, P.; Branebjerg, J.; Jensen, O.S. Microfluidics—A review. J. Micromech. Microeng. 1993, 3, 168–182. [Google Scholar] [CrossRef]
- Li, F.; Jian, Y.; Mandula, B.; Chang, L. Effects of three-dimensional surface corrugations on electromagnetohydrodynamic flow through microchannel. Chin. J. Phys. 2019, 60, 345–361. [Google Scholar] [CrossRef]
- Zheng, J.; Jian, Y. Rotating electroosmotic flow of two-layer fluids through a microparallel channel. Int. J. Mech. Sci. 2018, 136, 293–302. [Google Scholar] [CrossRef]
- Sarkar, S. Streaming-potential-mediated pressure-driven transport of Phan-Thien-Tanner fluids in a microchannel. Phys. Rev. E 2020, 101, 053104. [Google Scholar] [CrossRef]
- Yang, C.; Jian, Y.; Xie, Z.; Li, F. Electromagnetohydrodynamic electroosmotic flow and entropy generation of third-grade fluids in a parallel microchannel. Micromachines 2020, 11, 418. [Google Scholar] [CrossRef] [Green Version]
- Serizawa, A.; Feng, Z.; Kawara, Z. Two-phase flow in microchannels. Exp. Therm. Fluid Sci. 2002, 26, 703–714. [Google Scholar] [CrossRef]
- Ramshani, Z.; Johnson, M.J.; Atashbar, M.Z.; Go, D.B. A broad area electrospray generated by a piezoelectric transformer. Appl. Phys. Lett. 2016, 109, 044103. [Google Scholar] [CrossRef]
- Dutta, P.; Beskok, A. Analytical solution of combined electroosmotic/pressure driven flows in two-dimensional straight channels: Finite Debye layer effects. Anal. Chem. 2001, 73, 1979–1986. [Google Scholar] [CrossRef]
- Dutta, P.; Beskok, A.; Warburton, T.C. Numerical simulation of mixed electroosmotic/pressure driven microflows. Numer. Heat Transf. Part A Appl. 2002, 41, 131–148. [Google Scholar] [CrossRef]
- Chakraborty, S.; Paul, D. Microchannel flow control through a combined electromagnetohydrodynamic transport. J. Phys. D Appl. Phys. 2006, 39, 5364–5371. [Google Scholar] [CrossRef]
- Escandón, J.; Santiago, F.; Bautista, O.; Méndez, F. Hydrodynamics and thermal analysis of a mixed electromagnetohydrodynamic-pressure driven flow for Phan-Thien-Tanner fluids in a microchannel. Int. J. Therm. Sci. 2014, 86, 246–257. [Google Scholar] [CrossRef]
- Jang, J.; Lee, S.B. Theoretical and experimental study of MHD (magnetohydrodynamic) micropump. Sens. Actuators 2000, 80, 84–89. [Google Scholar] [CrossRef]
- Li, F.; Jian, Y.; Xie, Z.; Wang, L. Electromagnetohydrodynamic flow of Powell-Eyring fluids in a narrow confinement. J. Mech. 2017, 33, 2. [Google Scholar] [CrossRef]
- Ghosal, S. Lubrication theory for electro-osmotic flow in a microfluidic channel of slowly varying cross-section and wall charge. J. Fluid Mech. 2002, 459, 103–128. [Google Scholar] [CrossRef]
- Wei, H.H. Shear-modulated electroosmotic flow on a patterned charged surface. J. Colloid Interf. Sci. 2005, 284, 742–752. [Google Scholar] [CrossRef] [PubMed]
- Ghosh, U.; Chakraborty, S. Patterned-wettability-induced alteration of electro-osmosis over charge-modulated surfaces in narrow confifinements. Phys. Rev. E 2012, 85, 046304. [Google Scholar] [CrossRef]
- Bandopadhyay, A.; Ghosh, U.; Chakraborty, S. Time periodic electroosmosis of linear viscoelastic liquids over patterned charged surfaces in microfluidic channels. J. Non-Newton. Fluid Mech. 2013, 202, 1–11. [Google Scholar] [CrossRef]
- Datta, S.; Choudhary, J.N. Effect of hydrodynamic slippage on electro-osmotic flow in zeta potential patterned nanochannels. Fluid Dyn. Res. 2013, 45, 055502. [Google Scholar] [CrossRef]
- Ghosh, U.; Chakraborty, S. Electrokinetics over charge-modulated surfaces in the presence of patterned wettability: Role of the anisotropic streaming potential. Phys. Rev. E 2013, 88, 033001. [Google Scholar] [CrossRef] [PubMed]
- Ng, C.O.; Qi, C. Electroosmotic flow of a power-law fluid in a non-uniform microchannel. J. Non-Newton. Fluid Mech. 2014, 208, 118–125. [Google Scholar] [CrossRef] [Green Version]
- Mandal, S.; Ghosh, U.; Bandopadhyay, A.; Chakraborty, S. Electro-osmosis of superimposed fluids in the presence of modulated charged surfaces innarrow confinements. J. Fluid Mech. 2015, 776, 390–429. [Google Scholar] [CrossRef]
- Ghosh, U.; Chakraborty, S. Electroosmosis of viscoelastic fluids over charge modulated surfaces in narrow confinements. Phys. Fluids 2015, 27, 062004. [Google Scholar] [CrossRef]
- Qi, C.; Ng, C.O. Electroosmotic flow of a two-layer fluid in a slit channel with gradually varying wall shape and zeta potential. Int. J. Heat Mass. Tran. 2018, 119, 52–64. [Google Scholar] [CrossRef] [Green Version]
- Jimenez, E.; Escandón, J.; Méndez, F.; Bautista, O. Combined viscoelectric and steric effects on the electroosmotic flow in nano/microchannels with heterogeneous zeta potentials. Colloids Surf. A 2019, 577, 347–359. [Google Scholar] [CrossRef]
- Chakraborty, J.; Chakraborty, S. Influence of hydrophobic effects on streaming potential. Phys. Rev. E 2013, 88, 043007. [Google Scholar] [CrossRef] [PubMed]
- Bandopadhyay, A.; Mandalb, S.; Chakraborty, S. Streaming potential-modulated capillary filling dynamics of immiscible fluids. Soft Matter 2016, 12, 2056–2065. [Google Scholar] [CrossRef] [PubMed]
- Zhao, G.; Jian, Y.; Li, F. Streaming potential and heat transfer of nanofluids in microchannels in the presence of magnetic field. J. Magn. Magn. Mater. 2016, 407, 75–82. [Google Scholar] [CrossRef]
- Chen, X.; Jian, Y. Streaming potential analysis on the hydrodynamic transport of pressure-driven flow through a rotational microchannel. J. Phys. 2018, 56, 1296–1307. [Google Scholar] [CrossRef]
- Ding, Z.; Jian, Y. Electrokinetic oscillatory flow and energy conversion of viscoelastic fluids in microchannels: A linear analysis. J. Fluid Mech. 2021, 919, A20. [Google Scholar] [CrossRef]
- Sarkar, S.; Ganguly, S. Fully developed thermal transport in combined pressure and electroosmotically driven flow of nanofluid in a microchannel under the effect of a magnetic field. Microfluidics Nanofluidics 2015, 18, 623–636. [Google Scholar] [CrossRef]
- Bandyopadhyay, D.; Reddy, P.D.S.; Sharma, A.; Joo, S.W.; Qian, S.Z. Electro-magnetic-field-induced flow and interfacial instabilities in confined stratified liquid layers. Theor. Comput. Fluid Dyn. 2012, 26, 23–28. [Google Scholar] [CrossRef]
- Aidaoui, L.; Lasbet, Y.; Selimefendigil, F. Improvement of transfer phenomena rates in open chaotic flow of nanofluid under the effect of magnetic field: Application of a combined method. Int. J. Mech. Sci. 2020, 179, 105649. [Google Scholar] [CrossRef]
- Malvandi, A.; Ganji, D.D. Magnetic field effect on nanoparticles migration and heat transfer of water/alumina nanofluid in a channel. J. Magn. Magn. Mater. 2014, 362, 172–179. [Google Scholar] [CrossRef]
- Masliyah, J.H.; Bhattacharjee, S. Electric double layer. In Electrokinetic and Colloid Transport Phenomena; John Wiley & Sons: Hoboken, NJ, USA, 2005; Volume 5, pp. 116–117. [Google Scholar]
- Chu, X.; Jian, Y. Magnetohydrodynamic electro-osmotic flow of Maxwell fluids with patterned charged surface in narrow confinements. Phys. D Appl. Phys. 2019, 52, 405003. [Google Scholar] [CrossRef]
- Li, F.; Jian, Y. Solute dispersion generated by alternating current electric field through polyelectrolyte-grafted nanochannel with interfacial slip. Int. J. Heat Mass Tran. 2019, 141, 1066–1077. [Google Scholar] [CrossRef]
- Hao, N.; Jian, Y. Magnetohydrodynamic electroosmotic flow with patterned charged surface and modulated wettability in a parallel plate microchannel. Commun. Theor. Phys. 2019, 71, 1163–1171. [Google Scholar] [CrossRef]
- Chakraborty, S.; Das, S. Streaming-field-induced convective transport and its influence on the electroviscous effects in narrow fluidic confinement beyond the Debye-Hückel limit. Phys. Rev. E 2008, 77, 037303. [Google Scholar] [CrossRef] [Green Version]
- Moreau, R. The equations of magnetohydrodynamics. Magnetohydrodynamics 1990, 1, 2–3. [Google Scholar]
- Nguyen, N. Micro-magnetofluidics: Interactions between magnetism and fluid flow on the microscale. Microflfluidics Nanoflfluidics 2012, 12, 1–16. [Google Scholar] [CrossRef]
- Jian, Y. Transient MHD heat transfer and entropy generation in a microparallel channel combined with pressure and electroosmotic effects. Int. J. Heat. Mass. Tran. 2015, 89, 193–205. [Google Scholar] [CrossRef]









Publisher’s Note: MDPI stays neutral with regard to jurisdictional claims in published maps and institutional affiliations. |
© 2021 by the authors. Licensee MDPI, Basel, Switzerland. This article is an open access article distributed under the terms and conditions of the Creative Commons Attribution (CC BY) license (https://creativecommons.org/licenses/by/4.0/).
Share and Cite
Bian, X.; Li, F.; Jian, Y. The Streaming Potential of Fluid through a Microchannel with Modulated Charged Surfaces. Micromachines 2022, 13, 66. https://doi.org/10.3390/mi13010066
Bian X, Li F, Jian Y. The Streaming Potential of Fluid through a Microchannel with Modulated Charged Surfaces. Micromachines. 2022; 13(1):66. https://doi.org/10.3390/mi13010066
Chicago/Turabian StyleBian, Xinyue, Fengqin Li, and Yongjun Jian. 2022. "The Streaming Potential of Fluid through a Microchannel with Modulated Charged Surfaces" Micromachines 13, no. 1: 66. https://doi.org/10.3390/mi13010066
APA StyleBian, X., Li, F., & Jian, Y. (2022). The Streaming Potential of Fluid through a Microchannel with Modulated Charged Surfaces. Micromachines, 13(1), 66. https://doi.org/10.3390/mi13010066

