Preparation of Fe3O4@PDA@Au@GO Composite as SERS Substrate and Its Application in the Enrichment and Detection for Phenanthrene
Abstract
:1. Introduction
2. Materials and Methods
2.1. Materials
2.2. Material Synthesis
2.2.1. Synthesis of Au Colloid
2.2.2. Synthesis of Fe3O4 Particles
2.2.3. Synthesis of Fe3O4@PDA
2.2.4. Synthesis of Fe3O4@PDA@Au
2.2.5. Synthesis of Fe3O4@PDA@Au@GO
2.3. Characterization
2.4. Detection Method
3. Results and Discussion
3.1. Materials Characterization
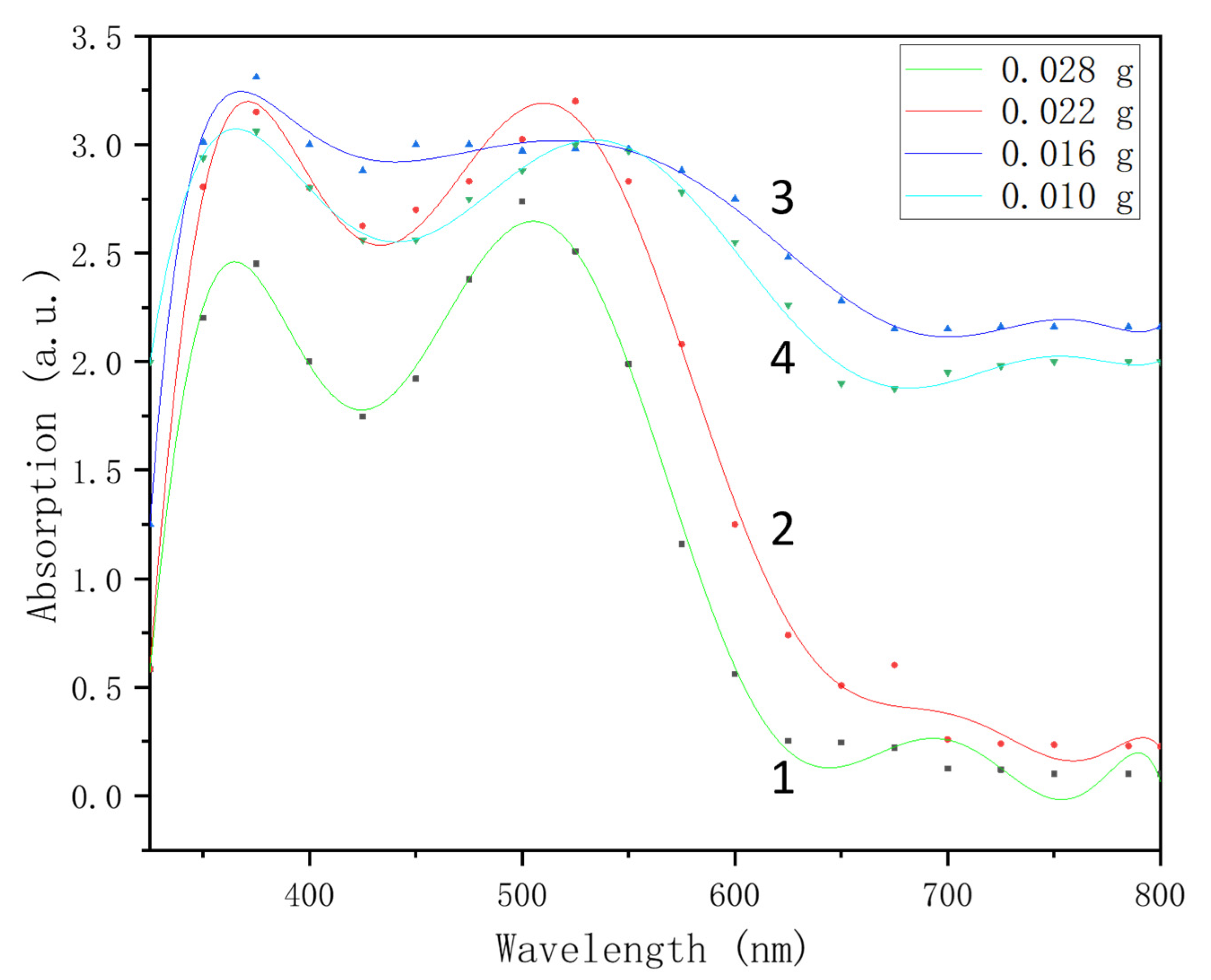
3.1.1. UV–Vis Characterization
3.1.2. XRD Patterns of Fe3O4@PDA@Au@GO
3.1.3. TEM Image of Fe3O4@PDA@Au@GO
3.2. Sample Preparation and SERS Measurement
3.3. Impact of Various Masses of Sodium Citrate on SERS Detection Performance
3.4. SERS Spectra of 10−2 g/L Phenanthrene Solution Detected by SERS Substrate
3.5. Effects of Each Component in Fe3O4@PDA@Au@GO on SERS Detection Performance
3.6. Influence of the Mixing Ratio of SERS Substrate and Phenanthrene Standard Solution on SERS Detection Performance
3.7. The Detection Limit of Phenanthrene Obtained on Fe3O4@PDA@Au@GO Nanocomposites SERS Substrate
3.8. Mechanism of PAHs–Substrates Interaction and Its Raman Enhancement
4. Conclusions
Author Contributions
Funding
Data Availability Statement
Conflicts of Interest
References
- Chen, H.; Xia, D.; Yuan, Y.X. Surface Enhanced Raman Spectroscopic Investigation of PAHs at a PDMS-Au Composite Substrate PDMS-Au. Chem. Res. 2017, 38, 376–382. [Google Scholar]
 - Lamichhane, S.; Bal Krishna, K.C.; Sarukkalige, R. Polycyclic aromatic hydrocarbons (PAHs) removal by sorption: A review. Chemosphere 2016, 148, 336–353. [Google Scholar] [CrossRef]
 - Rota, M.; Bosetti, C.; Boccia, S.; Boffetta, P.; La Vecchia, C. Occupational expo-cancers: An updated systematic review and a meta-analysis to 2014. Arch. Toxicol. 2014, 88, 1479–1490. [Google Scholar] [CrossRef] [PubMed]
 - White, A.J.; Bradshaw, P.T.; Herring, A.H.; Teitelbaum, S.L.; Beyea, J.; Stellman, S.D.; Steck, S.E.; Mordukhovich, I.; Eng, S.M.; Engel, L.S.; et al. Exposure to multiple sources of polycyclic aromatic hydrocarbons and breast cancer incidence. Environ. Int. 2016, 89–90, 185–192. [Google Scholar] [CrossRef] [Green Version]
 - Marzooghi, S.; Di Toro, D.M. A critical review of polycyclic aromatic hydrocarbon phototoxicity models. Environ. Toxicol. Chem. 2017, 36, 1138–1148. [Google Scholar] [CrossRef] [Green Version]
 - Zhang, T.; Li, X.; Shi, Z.; Guo, D.; Li, X. Novel reduced graphene oxide/Ag nanoparticle composite film with sensitive detection activity towards trace formaldehyde. Sens. Actuators B Chem. 2017, 242, 1129–1132. [Google Scholar] [CrossRef]
 - Cochran, R.E.; Dongari, N.; Jeong, H.; Beranek, J.; Haddadi, S.; Shipp, J.; Kubatova, A. Determination of polycyclic aromatic hydrocarbons and their oxy-, nitro-, and hydroxy-oxidation products. Anal. Chim. Acta 2012, 740, 93–103. [Google Scholar] [CrossRef]
 - Ni, Y.N.; Wang, P.P.; Song, H.Y.; Lin, X.Y.; Kokot, S. Electrochemical detection of benzo(a)pyrene and related DNA damage using DNA/hemin/nafion-graphene biosensor. Anal. Chim. Acta 2014, 821, 34–40. [Google Scholar] [CrossRef]
 - Paepe, E.D.; Wauters, J.; Borght, M.V.D.; Claes, J.; Huysman, S.; Croubels, S.; Vanhaecke, L. Ultra-high-performance liquid chromatography coupled to quadrupole orbitrap high-resolution mass spectrometry for multi-residue screening of pesticides, (veterinary) drugs and mycotoxins in edible insects. Food Chem. 2019, 293, 187–196. [Google Scholar] [CrossRef] [PubMed]
 - Martakidis, K.; Gavril, D. New inverse gas chromatographic methodology for studying mass transfer caused by the evaporation of volatile liquids. Instrum. Sci. Tchnol. 2019, 47, 389–409. [Google Scholar] [CrossRef]
 - Rama, M.J.R.; Medina, A.R.; Diaz, A.M. A simple and straightforward procedure for monitoring phenol compounds in water by using UV solid phase transduction integrated in a continuous flow system. Microchim. Acta. 2003, 141, 143–148. [Google Scholar] [CrossRef]
 - Bates, M.; Bruno, P.; Caputi, M.; Caselli, M.; De Gennaro, G.; Tutino, M. Analysis of polycyclic aromatic hydrocarbons (PAHs) in airborne particles by direct sample introduction thermal desorption GC/MS. Atmospheric Environ. 2008, 42, 6144–6151. [Google Scholar] [CrossRef]
 - Wang, X.; Hao, W.; Zhang, H.; Pan, Y.; Kang, Y.; Zhang, X.; Zou, M.; Tong, P.; Du, Y. Analysis of polycyclic aromatic hydrocarbons in water with gold nanoparticles decorated hydrophobic porous polymer as surface-enhanced Raman spectroscopy substrate. Spectrochim. Acta Part A Mol. Biomol. Spectrosc. 2015, 139, 214–221. [Google Scholar] [CrossRef] [PubMed]
 - Costa, J.; Sant’ Ana, A.; Corio, P.; Temperini, M.L.A. Chemical analysis of polycyclic aromatic hydrocarbons by surface-enhanced Raman spectroscopy. Talanta 2006, 70, 1011–1016. [Google Scholar] [CrossRef]
 - Droghetti, E.; Nicoletti, F.P.; Guandalini, L.; Bartolucci, G.; Smulevich, G. SERS detection of benzophenones on viologen functionalized Ag nanoparticles: Application to breakfast cereals. J. Raman Spectrosc. 2013, 44, 1428–1434. [Google Scholar] [CrossRef]
 - Lindquist, N.C.; De Albuquerque, C.D.L.; Sobral-Filho, R.G.; Paci, I.; Brolo, A.G. High-speed imaging of surface-enhanced Raman scattering fluctuations from individual nanoparticles. Nat. Nanotechnol. 2019, 14, 981–987. [Google Scholar] [CrossRef] [PubMed]
 - Zhang, Y.; Wang, Z.; Wu, L.; Pei, Y.; Chen, P.; Cui, Y. Rapid simultaneous detection of multi-pesticide residues on apple using SERS technique. Analyst 2014, 139, 5148–5154. [Google Scholar] [CrossRef]
 - Li, Y.; Guo, M.; He, L.; Huang, C.; Li, F. Green one-pot synthesis of silver nanoparticles/metal-organic gels hybrid and its promising SERS application. ACS Sustain. Chem. Eng. 2019, 7, 5292–5299. [Google Scholar] [CrossRef]
 - Li, D.-W.; Zhai, W.-L.; Li, Y.-T.; Long, Y.-T. Recent progress in surface enhanced Raman spectroscopy for the detection of environmental pollutants. Microchim. Acta 2014, 181, 23–43. [Google Scholar] [CrossRef]
 - Lin, S.; Lin, X.; Han, S.; Liu, Y.; Hasi, W.; Wang, L. Flexible fabrication of a paper-fluidic SERS sensor coated with a monolayer of core-shell nanospheres for reliable quantitative SERS measurements. Anal. Chim. Acta 2020, 1108, 167–176. [Google Scholar] [CrossRef] [PubMed]
 - Xie, Y.; Wang, X.; Han, X. Sensing of polycyclic aromatic hydrocarbons with cyclodextrin inclusion complexes on silver nanoparticles by surface-enhanced Raman scattering. Analyst 2010, 135, 1389–1394. [Google Scholar] [CrossRef]
 - Bao, L.; Sheng, P.; Li, J. Surface enhanced Raman spectroscopic detection of polycyclic aromatic hydrocarbons (PAHs) using a gold nanoparticles-modified alginate gel network. Analyst 2012, 137, 4010–4015. [Google Scholar] [CrossRef]
 - Guerrini, L.; Garcia-Ramos, J.; Domingo, C.; Sanchez-Cortes, S. Nanosensors Based on Viologen Functionalized Silver Nanoparticles: Few Molecules Surface-Enhanced Raman Spectroscopy Detection of Polycyclic Aromatic Hydrocarbons in Interparticle Hot Spots. Anal. Chem. 2009, 81, 1418–1425. [Google Scholar] [CrossRef] [PubMed]
 - Guerrini, L.; Garcia-Ramos, J.; Domingo, C.; Sanchez-Cortes, S. Sensing Polycyclic Aromatic Hydrocarbons with Dithiocarbamate-Functionalized Ag Nanoparticles by Surface-Enhanced Raman Scattering. Anal. Chem. 2009, 81, 953–960. [Google Scholar] [CrossRef] [PubMed]
 - Wang, X.; Xu, Q.; Hu, X. Silver-nanoparticles/graphene hybrids for effective enrichment and sensitive SERS detection of polycyclic aromatic hydrocarbons. Spectrochim. Acta Part A Mol. Biomol. Spectrosc. 2020, 228, 1–7. [Google Scholar] [CrossRef] [PubMed]
 - Du, J.; Xu, J.; Sun, Z.; Jing, C. Au nanoparticles grafted on Fe3O4 as effective SERS substrates for label-free detection of the 16 EPA priority polycyclic aromatic hydrocarbons. Anal. Chim. Acta 2016, 915, 81–89. [Google Scholar] [CrossRef] [PubMed]
 - Liu, J.; Bin, Y.; Matsuo, M. Magnetic behavior of Zn-doped Fe3O4 nanoparticles estimated in terms of crystal domain size. Phys. Chem. C 2016, 116, 134–143. [Google Scholar] [CrossRef]
 - Zhang, J.; Fang, Q.; Duan, J.; Xu, H.; Xuan, S. Magnetically Separable Nanocatalyst with the Fe3O4 Core and Polydopamine Sandwiched Au Nanocrystal Shell. Langmuir 2018, 34, 4298–4306. [Google Scholar] [CrossRef]
 - Wang, W.; Li, X.; Yan, Y. Preparation of Au/Fe3O4 /GO composite as SERS substrate and its application in the enrichment and detection for low-concentration pyrene. Acta Sci. Circumstantiae 2018, 38, 475–483. [Google Scholar]
 - Ling, X.; Xie, L.; Fang, Y.; Xu, H.; Zhang, H.; Kong, J.; Mildred, S.D.; Zhang, J.; Liu, Z. Can Graphene be used as a Substrate for Raman Enhancement. Nano Lett. 2010, 10, 553–561. [Google Scholar] [CrossRef]
 - Sharma, T.K.; Ramanathan, R.; Weerathunge, P.; Mohammadtaheri, M.; Daima, H.K.; Shukla, R.; Bansal, V. Aptamer-mediated ‘turn-off/turn-on’ nanozyme activity of gold nanoparticles for kanamycin detection. Chem. Commun. 2014, 50, 15856–15859. [Google Scholar] [CrossRef] [Green Version]
 - Khandelwal, P.; Singh, D.K.; Sadhu, S.; Poddar, P. Study of the nucleation and growth of antibiotic labeled Au NPs and blue luminescent Au8 quantum clusters for Hg2+ ion sensing, cellular imaging and antibacterial applications. Nanoscale 2015, 7, 19985–20002. [Google Scholar] [CrossRef]
 - Lam, A.T.N.; Yoon, J.; Ganbold, E.-O.; Singh, D.K.; Kim, D.; Cho, K.-H.; Son, S.J.; Choo, J.; Lee, S.Y.; Kim, S.; et al. Adsorption and desorption of tyrosine kinase inhibitor erlotinib on gold nanoparticles. J. Colloid Interface Sci. 2014, 425, 96–101. [Google Scholar] [CrossRef]
 - Xu, W.; Mao, N.; Zhang, J. Graphene: A Platform for Surface-Enhanced Raman Spectroscopy. Small 2013, 9, 1206–1224. [Google Scholar] [CrossRef]
 - Frens, G. Controlled Nucleation for the Regulation of the Particle Size in Monodisperse Gold Suspensions. Nat. Phys. Sci. 1973, 241, 20–22. [Google Scholar] [CrossRef]
 - Gao, Y.; Hu, Z.; Wu, J.; Ning, Z.; Jian, J.; Zhao, T.; Liang, X.; Yang, X.; Yang, Z.; Zhao, Q.; et al. Size-tunable Au@Ag nanoparticles for colorimetric and SERS dual-mode sensing of palmatine in traditional Chinese medicine. J. Pharm. Biomed. Anal. 2019, 174, 123–133. [Google Scholar] [CrossRef]
 - Zeng, T.; Zhang, X.-L.; Ma, Y.-R.; Niu, H.-Y.; Cai, Y.-Q. A novel Fe3O4–graphene–Au multifunctional nanocomposite: Green synthesis and catalytic application. J. Mater. Chem. 2012, 22, 18658–18663. [Google Scholar] [CrossRef]
 - Wang, C.; Rong, Z.; Wang, J.; Jiang, N.; Pang, Y.; Xiao, R.; Wang, S. Seed-mediated synthesis of high-performance silver-coated magnetic nanoparticles and their use as effective SERS substrates. Colloids Surfaces A Physicochem. Eng. Asp. 2016, 506, 393–401. [Google Scholar] [CrossRef]
 - Li, J.; Hong, R.; Li, H.; Ding, J. Simple synthesis and magnetic properties of Fe3O4/BaSO4 multi-core/shell particles. Mater. Chem. Phys. 2009, 113, 140–144. [Google Scholar] [CrossRef]
 - Yang, T.; Yang, H.; Zhen, S.; Huang, C. Hydrogen-Bond-Mediated Fabrication of AgNPs/Agar/PAN Electrospun Nanofibers as Reproducible SERS Substrates. ACS Appl. Mater. Interfaces 2016, 8, 14802–14811. [Google Scholar] [CrossRef]
 - Gan, C.; Li, L.; He, Z.; Lei, H.; Liu, Y. In-situ assembly of biocompatible core-shell hierarchical nanostructures sensitized immunosensor for microcystin-LR detection. Biosens. Bioelectron. 2016, 78, 381–389. [Google Scholar] [CrossRef]
 - Tian, F.; Bonnier, F.; Casey, A.; Shanahan, A.E.; Byrne, H.J. Surface enhanced Raman scattering with gold nanoparticles: Effect of particle shape. Anal. Methods 2014, 6, 9116–9123. [Google Scholar] [CrossRef] [Green Version]
 - Zhang, M.; Zhang, X.; Qu, B.; Zhan, J. Portable kit for high-throughput analysis of polycyclic aromatic hydrocarbons using surface enhanced Raman scattering after dispersive liquid-liquid microextraction. Talanta 2017, 175, 495–500. [Google Scholar] [CrossRef]
 - Wang, S.; Zhang, Y.; Li, Y.; Chen, K. Au nanostars PDA Fe3O4-based multifunctional nanoprobe for integrated tumor diagnosis and photothermal therapy. Mater. Des. 2021, 205, 109707. [Google Scholar] [CrossRef]
 - Han, Y.; Wang, H.; Qiang, L.; Gao, Y.; Li, Q.; Pang, J.; Liu, H.; Han, L.; Wu, Y.; Zhang, Y. Fabrication of a uniform Au nanodot array/monolayer graphene hybrid structure for high-performance surface-enhanced Raman spectroscopy. Mater. Sci. 2020, 55, 591–602. [Google Scholar] [CrossRef]
 - Zhou, Z.; Lu, J.; Wang, J.; Zou, Y.; Liu, T.; Zhang, Y.; Liu, G.; Tian, Z. Trace detection of polycyclic aromatic hydrocarbons in environmental waters by SERS. Spectrochim. Acta Part A Mol. Biomol. Spectrosc. 2020, 234, 118250. [Google Scholar] [CrossRef]
 










Publisher’s Note: MDPI stays neutral with regard to jurisdictional claims in published maps and institutional affiliations.  | 
© 2022 by the authors. Licensee MDPI, Basel, Switzerland. This article is an open access article distributed under the terms and conditions of the Creative Commons Attribution (CC BY) license (https://creativecommons.org/licenses/by/4.0/).
Share and Cite
Liu, J.; Liu, Y.; Cao, Y.; Sang, S.; Guan, L.; Wang, Y.; Wang, J. Preparation of Fe3O4@PDA@Au@GO Composite as SERS Substrate and Its Application in the Enrichment and Detection for Phenanthrene. Micromachines 2022, 13, 128. https://doi.org/10.3390/mi13010128
Liu J, Liu Y, Cao Y, Sang S, Guan L, Wang Y, Wang J. Preparation of Fe3O4@PDA@Au@GO Composite as SERS Substrate and Its Application in the Enrichment and Detection for Phenanthrene. Micromachines. 2022; 13(1):128. https://doi.org/10.3390/mi13010128
Chicago/Turabian StyleLiu, Junyu, Yiwei Liu, Yida Cao, Shihua Sang, Liang Guan, Yinyin Wang, and Jian Wang. 2022. "Preparation of Fe3O4@PDA@Au@GO Composite as SERS Substrate and Its Application in the Enrichment and Detection for Phenanthrene" Micromachines 13, no. 1: 128. https://doi.org/10.3390/mi13010128
APA StyleLiu, J., Liu, Y., Cao, Y., Sang, S., Guan, L., Wang, Y., & Wang, J. (2022). Preparation of Fe3O4@PDA@Au@GO Composite as SERS Substrate and Its Application in the Enrichment and Detection for Phenanthrene. Micromachines, 13(1), 128. https://doi.org/10.3390/mi13010128
        
                                                