Pressure-Responsive Conductive Poly(vinyl alcohol) Composites Containing Waste Cotton Fibers Biochar
Abstract
:1. Introduction
2. Materials and Methods
2.1. Materials
2.2. Methods
3. Results
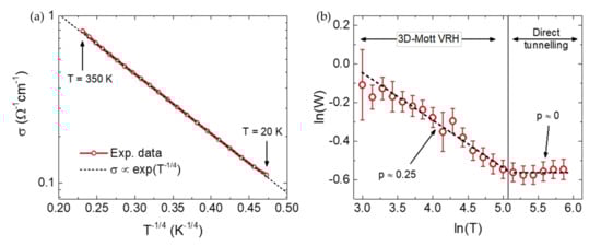
3.1. Waste Cotton Fibers Biochar Characterization
3.2. Conductivity Measurements on Composites
3.2.1. DC Measurements
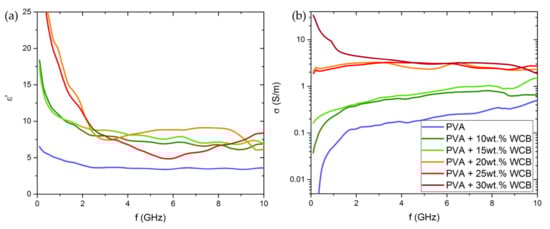
3.2.2. AC Measurements
4. Comparison between WCB-Containing PVA Composites and Other Carbon-Based Responsive Materials
5. Conclusions
Author Contributions
Funding
Conflicts of Interest
References
- Theato, P.; Sumerlin, B.S.; O’Reilly, R.K.; Epps, T.H., III. Stimuli responsive materials. Chem. Soc. Rev. 2013, 42, 7055–7056. [Google Scholar] [CrossRef]
- Mrinalini, M.; Prasanthkumar, S. Recent advances on stimuli-responsive smart materials and their applications. ChemPlusChem 2019, 84, 1103–1121. [Google Scholar] [CrossRef] [Green Version]
- Mura, S.; Nicolas, J.; Couvreur, P. Stimuli-responsive nanocarriers for drug delivery. Nat. Mater. 2013, 12, 991–1003. [Google Scholar] [CrossRef] [PubMed]
- Hu, L.; Zhang, Q.; Li, X.; Serpe, M.J. Stimuli-responsive polymers for sensing and actuation. Mater. Horiz. 2019, 6, 1774–1793. [Google Scholar] [CrossRef]
- Kassal, P.; Steinberg, M.D.; Steinberg, I.M. Wireless chemical sensors and biosensors: A review. Sens. Actuators B Chem. 2018, 266, 228–245. [Google Scholar] [CrossRef]
- Pasquale, M. Mechanical sensors and actuators. Sens. Actuators A Phys. 2003, 106, 142–148. [Google Scholar] [CrossRef]
- Ripka, P. Electric current sensors: A review. Meas. Sci. Technol. 2010, 21, 112001. [Google Scholar] [CrossRef] [Green Version]
- Atitallah, B.B.; Rajendran, D.; Hu, Z.; Ramalingame, R.; Jose, R.B.Q.; da Veiga Torres, R.; Bouchaala, D.; Derbel, N.; Kanoun, O. Piezo-Resistive Pressure and Strain Sensors for Biomedical and Tele-Manipulation Applications. Adv. Sens. Biomed. Appl. 2021, 38, 47–65. [Google Scholar]
- Yang, Y.-H.; Han, B.; Prisacaru, A.; Gromala, P.; Jiang, S.; Sarwar, A. In-situ service load monitoring of automotive electronic systems using silicon-based piezoresistive stress sensor. Microelectron. Reliab. 2020, 110, 113650. [Google Scholar] [CrossRef]
- Javed, Y.; Mansoor, M.; Shah, I.A. A review of principles of MEMS pressure sensing with its aerospace applications. Sens. Rev. 2019, 39, 652–664. [Google Scholar] [CrossRef]
- Mu, S.; Yue, J.; Wang, Y.; Feng, C. Electrical, Piezoresistive and Electromagnetic Properties of Graphene Reinforced Cement Composites: A Review. Nanomaterials 2021, 11, 3220. [Google Scholar] [CrossRef] [PubMed]
- Ricohermoso, E., III; Rosenburg, F.; Klug, F.; Nicoloso, N.; Schlaak, H.F.; Riedel, R.; Ionescu, E. Piezoresistive Carbon-Containing Ceramic Nanocomposites—A Review. Open Ceram. 2021, 5, 100057. [Google Scholar] [CrossRef]
- Avilés, F.; Oliva-Avilés, A.I.; Cen-Puc, M. Piezoresistivity, strain, and damage self-sensing of polymer composites filled with carbon nanostructures. Adv. Eng. Mater. 2018, 20, 1701159. [Google Scholar] [CrossRef]
- Hu, N.; Fukunaga, H.; Atobe, S.; Liu, Y.; Li, J. Piezoresistive strain sensors made from carbon nanotubes based polymer nanocomposites. Sensors 2011, 11, 10691–10723. [Google Scholar]
- Zheng, Q.; Lee, J.-h.; Shen, X.; Chen, X.; Kim, J.-K. Graphene-based wearable piezoresistive physical sensors. Mater. Today 2020, 36, 158–179. [Google Scholar] [CrossRef]
- Welcome to Cheap Tubes. Available online: https://www.cheaptubes.com/ (accessed on 4 December 2021).
- Obraztsov, A.N. Making graphene on a large scale. Nat. Nanotechnol. 2009, 4, 212–213. [Google Scholar] [CrossRef]
- Cha, J.S.; Park, S.H.; Jung, S.-C.; Ryu, C.; Jeon, J.-K.; Shin, M.-C.; Park, Y.-K. Production and utilization of biochar: A review. J. Ind. Eng. Chem. 2016, 40, 1–15. [Google Scholar] [CrossRef]
- Woolf, D.; Amonette, J.E.; Street-Perrott, F.A.; Lehmann, J.; Joseph, S. Sustainable biochar to mitigate global climate change. Nat. Commun. 2010, 1, 56. [Google Scholar] [CrossRef] [PubMed] [Green Version]
- Bartoli, M.; Giorcelli, M.; Jagdale, P.; Rovere, M.; Tagliaferro, A. A Review of Non-Soil Biochar Applications. Materials 2020, 13, 291–296. [Google Scholar] [CrossRef] [PubMed] [Green Version]
- Natalio, F.; Corrales, T.P.; Feldman, Y.; Lew, B.; Graber, E.R. Sustainable Lightweight Biochar-Based Composites with Electromagnetic Shielding Properties. ACS Omega 2020, 5, 32490–32497. [Google Scholar] [CrossRef] [PubMed]
- Giorcelli, M.; Bartoli, M.; Sanginario, A.; Padovano, E.; Rosso, C.; Rovere, M.; Tagliaferro, A. High-Temperature Annealed Biochar as a Conductive Filler for the Production of Piezoresistive Materials for Energy Conversion Application. ACS Appl. Electron. Mater. 2021, 3, 838–844. [Google Scholar] [CrossRef]
- Nan, N.; DeVallance, D.B. Development of poly (vinyl alcohol)/wood-derived biochar composites for use in pressure sensor applications. J. Mater. Sci. 2017, 52, 8247–8257. [Google Scholar] [CrossRef]
- Noori, A.; Bartoli, M.; Frache, A.; Piatti, E.; Giorcelli, M.; Tagliaferro, A. Development of Pressure-Responsive PolyPropylene and Biochar-Based Materials. Micromachines 2020, 11, 339. [Google Scholar] [CrossRef] [PubMed] [Green Version]
- Savi, P.; Yasir, M.; Bartoli, M.; Giorcelli, M.; Longo, M. Electrical and Microwave Characterization of Thermal Annealed Sewage Sludge Derived Biochar Composites. Appl. Sci. 2020, 10, 1334–1345. [Google Scholar] [CrossRef] [Green Version]
- Arrigo, R.; Bartoli, M.; Torsello, D.; Ghigo, G.; Malucelli, G. Thermal, dynamic-mechanical and electrical properties of UV-LED curable coatings containing porcupine-like carbon structures. Mater. Today Commun. 2021, 28, 102630. [Google Scholar] [CrossRef]
- Torsello, D.; Bartoli, M.; Giorcelli, M.; Rovere, M.; Arrigo, R.; Malucelli, G.; Tagliaferro, A.; Ghigo, G. High Frequency Electromagnetic Shielding by Biochar-Based Composites. Nanomaterials 2021, 11, 2383. [Google Scholar] [CrossRef] [PubMed]
- Bartoli, M.; Giorcelli, M.; Rosso, C.; Rovere, M.; Jagdale, P.; Tagliaferro, A. Influence of Commercial Biochar Fillers on Brittleness/Ductility of Epoxy Resin Composites. Appl. Sci. 2019, 9, 13. [Google Scholar] [CrossRef] [Green Version]
- Jagdale, P.; Nair, J.R.; Khan, A.; Armandi, M.; Meligrana, G.; Hernandez, F.R.; Rusakova, I.; Piatti, E.; Rovere, M.; Tagliaferro, A.; et al. Waste to life: Low-cost, self-standing, 2D carbon fiber green Li-ion battery anode made from end-of-life cotton textile. Electrochim. Acta 2021, 368, 137644. [Google Scholar] [CrossRef]
- Lim, S.; McKenzie, D.; Bilek, M. Van der Pauw method for measuring resistivity of a plane sample with distant boundaries. Rev. Sci. Instrum. 2009, 80, 075109. [Google Scholar] [CrossRef]
- Giorcelli, M.; Bartoli, M. Development of Coffee Biochar Filler for the Production of Electrical Conductive Reinforced Plastic. Polymers 2019, 11, 17. [Google Scholar] [CrossRef] [Green Version]
- Ba, D.; Sabouroux, P. Epsimu, a toolkit for permittivity and permeability measurement in microwave domain at real time of all materials: Applications to solid and semisolid materials. Microw. Opt. Technol. Lett. 2010, 52, 2643–2648. [Google Scholar] [CrossRef]
- Torsello, D.; Ghigo, G.; Giorcelli, M.; Bartoli, M.; Rovere, M.; Tagliaferro, A. Tuning the microwave electromagnetic properties of biochar-based composites by annealing. Carbon Trends 2021, 4, 100062. [Google Scholar] [CrossRef]
- Nicolson, A.; Ross, G. Measurement of the intrinsic properties of materials by time-domain techniques. IEEE Trans. Instrum. Meas. 1970, 19, 377–382. [Google Scholar] [CrossRef] [Green Version]
- Baker-Jarvis, J.; Vanzura, E.J.; Kissick, W.A. Improved technique for determining complex permittivity with the transmission/reflection method. IEEE Trans. Microw. Theory Tech. 1990, 38, 1096–1103. [Google Scholar] [CrossRef] [Green Version]
- Ferrari, A.C.; Robertson, J. Interpretation of Raman spectra of disordered and amorphous carbon. Phys. Rev. B 2000, 61, 14095. [Google Scholar] [CrossRef] [Green Version]
- Tagliaferro, A.; Rovere, M.; Padovano, E.; Bartoli, M.; Giorcelli, M. Introducing the Novel Mixed Gaussian-Lorentzian Lineshape in the Analysis of the Raman Signal of Biochar. Nanomaterials 2020, 10, 1748. [Google Scholar] [CrossRef]
- Heeger, A.J. The critical regime of the metal-insulator transition in conducting polymers: Experimental studies. Phys. Scr. 2002, 2002, 30. [Google Scholar] [CrossRef]
- Piatti, E.; Galanti, F.; Pippione, G.; Pasquarelli, A.; Gonnelli, R.S. Towards the insulator-to-metal transition at the surface of ion-gated nanocrystalline diamond films. Eur. Phys. J. Spec. Top. 2019, 228, 689–696. [Google Scholar] [CrossRef] [Green Version]
- Piatti, E.; Romanin, D.; Daghero, D.; Gonnelli, R.S. Two-dimensional hole transport in ion-gated diamond surfaces: A brief review. Low Temp. Phys. 2019, 45, 1143–1155. [Google Scholar] [CrossRef]
- Zabrodskii, A.; Zinov’eva, K. Low-temperature conductivity and metal-insulator transition in compensate n-Ge. Zh. Eksp. Teor. Fiz 1984, 86, 727–742. [Google Scholar]
- Pukha, V.; Karbovskii, V.; Rudchenko, S.; Drozdov, A.; Maleyev, M.; Starikov, V.; Pugachov, A. Electronic and optical properties of superhard nanocomposite films obtained from C60 ion beam. Mater. Res. Express 2014, 1, 035049. [Google Scholar] [CrossRef]
- Stammen, J.A.; Williams, S.; Ku, D.N.; Guldberg, R.E. Mechanical properties of a novel PVA hydrogel in shear and unconfined compression. Biomaterials 2001, 22, 799–806. [Google Scholar] [CrossRef]
- Lepak-Kuc, S.; Kiciński, M.; Michalski, P.P.; Pavlov, K.; Giorcelli, M.; Bartoli, M.; Jakubowska, M. Innovative Biochar-Based Composite Fibres from Recycled Material. Materials 2021, 14, 5304. [Google Scholar] [CrossRef]
- Lu, D.; Maasch, M.; Penirschke, A.; Zheng, Y.; Damm, C.; Jakoby, R. Broadband Permittivity Characterization of Polyvinyl-Alcohol Film for Humidity Sensing Applications. IEEE Trans. Microw. Theory Tech. 2016, 64, 3255–3263. [Google Scholar] [CrossRef]
- Zhu, S.-E.; Ghatkesar, M.K.; Zhang, C.; Janssen, G. Graphene based piezoresistive pressure sensor. Appl. Phys. Lett. 2013, 102, 161904. [Google Scholar] [CrossRef] [Green Version]
- Zhang, Z.; Zhang, Y.; Jiang, X.; Bukhari, H.; Zhang, Z.; Han, W.; Xie, E. Simple and efficient pressure sensor based on PDMS wrapped CNT arrays. Carbon 2019, 155, 71–76. [Google Scholar] [CrossRef]
- Liu, W.; Liu, N.; Yue, Y.; Rao, J.; Cheng, F.; Su, J.; Liu, Z.; Gao, Y. Piezoresistive pressure sensor based on synergistical innerconnect polyvinyl alcohol nanowires/wrinkled graphene film. Small 2018, 14, 1704149. [Google Scholar] [CrossRef] [PubMed]
- Zhang, Y.; Ren, E.; Li, A.; Cui, C.; Guo, R.; Tang, H.; Xiao, H.; Zhou, M.; Qin, W.; Wang, X. A porous self-healing hydrogel with an island-bridge structure for strain and pressure sensors. J. Mater. Chem. B 2021, 9, 719–730. [Google Scholar] [CrossRef] [PubMed]
- Salimbeygi, G.; Nasouri, K.; Shoushtari, A.M.; Malek, R.; Mazaheri, F. Fabrication of polyvinyl alcohol/multi-walled carbon nanotubes composite electrospun nanofibres and their application as microwave absorbing material. Micro Nano Lett. 2013, 8, 455–459. [Google Scholar] [CrossRef]
- Nan, N.; DeVallance, D.B.; Xie, X.; Wang, J. The effect of bio-carbon addition on the electrical, mechanical, and thermal properties of polyvinyl alcohol/biochar composites. J. Compos. Mater. 2016, 50, 1161–1168. [Google Scholar] [CrossRef]
- El-Shamy, A.G. Novel conducting PVA/Carbon quantum dots (CQDs) nanocomposite for high anti-electromagnetic wave performance. J. Alloy. Compd. 2019, 810, 151940. [Google Scholar] [CrossRef]
- Salimbeygi, G.; Nasouri, K.; Shoushtari, A.M.; Malek, R.; Mazaheri, F. Microwave absorption properties of polyaniline/poly (vinyl alcohol)/multi-walled carbon nanotube composites in thin film and nanofiber layer structures. Macromol. Res. 2015, 23, 741–748. [Google Scholar] [CrossRef]
- Yusof, Y.; Moosavi, S.; Johan, M.R.; Badruddin, I.A.; Wahab, Y.A.; Hamizi, N.A.; Rahman, M.A.; Kamangar, S.; Khan, T.M.Y. Electromagnetic Characterization of a Multiwalled Carbon Nanotubes–Silver Nanoparticles-Reinforced Polyvinyl Alcohol Hybrid Nanocomposite in X-Band Frequency. ACS Omega 2021, 6, 4184–4191. [Google Scholar] [CrossRef] [PubMed]
- Li, Y.; Zhang, A.; Lu, H.; Zhang, X.; Zheng, W.; Li, M. Effect of Polar Polymers of PEG and PVA on the Enhanced Microwave-Absorbing Properties of MWNTs. J. Phys. Chem. C 2018, 122, 16956–16963. [Google Scholar] [CrossRef]
- Anju, V.P.; Manoj, M.; Mohanan, P.; Narayanankutty, S.K. A comparative study on electromagnetic interference shielding effectiveness of carbon nanofiber and nanofibrillated cellulose composites. Synth. Met. 2019, 247, 285–297. [Google Scholar] [CrossRef]
- Rollinger, J.E.; Jentz, R.R.; Pursifull, R.D. Crankcase Integrity Breach Detection. U.S. Patent Application US9382823B2, 5 July 2016. [Google Scholar]
- Herzen, B.V.; Fleet, S.V. Cement Integrity Sensors and Methods of Manufacture and Use Thereof. U.S. Patent Application 15/064,469, 8 March 2018. [Google Scholar]






Publisher’s Note: MDPI stays neutral with regard to jurisdictional claims in published maps and institutional affiliations. |
© 2022 by the authors. Licensee MDPI, Basel, Switzerland. This article is an open access article distributed under the terms and conditions of the Creative Commons Attribution (CC BY) license (https://creativecommons.org/licenses/by/4.0/).
Share and Cite
Bartoli, M.; Torsello, D.; Piatti, E.; Giorcelli, M.; Sparavigna, A.C.; Rovere, M.; Ghigo, G.; Tagliaferro, A. Pressure-Responsive Conductive Poly(vinyl alcohol) Composites Containing Waste Cotton Fibers Biochar. Micromachines 2022, 13, 125. https://doi.org/10.3390/mi13010125
Bartoli M, Torsello D, Piatti E, Giorcelli M, Sparavigna AC, Rovere M, Ghigo G, Tagliaferro A. Pressure-Responsive Conductive Poly(vinyl alcohol) Composites Containing Waste Cotton Fibers Biochar. Micromachines. 2022; 13(1):125. https://doi.org/10.3390/mi13010125
Chicago/Turabian StyleBartoli, Mattia, Daniele Torsello, Erik Piatti, Mauro Giorcelli, Amelia Carolina Sparavigna, Massimo Rovere, Gianluca Ghigo, and Alberto Tagliaferro. 2022. "Pressure-Responsive Conductive Poly(vinyl alcohol) Composites Containing Waste Cotton Fibers Biochar" Micromachines 13, no. 1: 125. https://doi.org/10.3390/mi13010125
APA StyleBartoli, M., Torsello, D., Piatti, E., Giorcelli, M., Sparavigna, A. C., Rovere, M., Ghigo, G., & Tagliaferro, A. (2022). Pressure-Responsive Conductive Poly(vinyl alcohol) Composites Containing Waste Cotton Fibers Biochar. Micromachines, 13(1), 125. https://doi.org/10.3390/mi13010125

