Effect of Nanopores on Mechanical Properties of the Shape Memory Alloy
Abstract
1. Introduction
2. Young’s Modulus of SMA with Nanopores
3. Constitutive Model of SMA with Nanopores Considering Surface Effect and Residual Strain
3.1. Residual Strain of SMA with Nanopores
3.2. Constitutive Model of SMA with Nanopores
4. Numerical Results
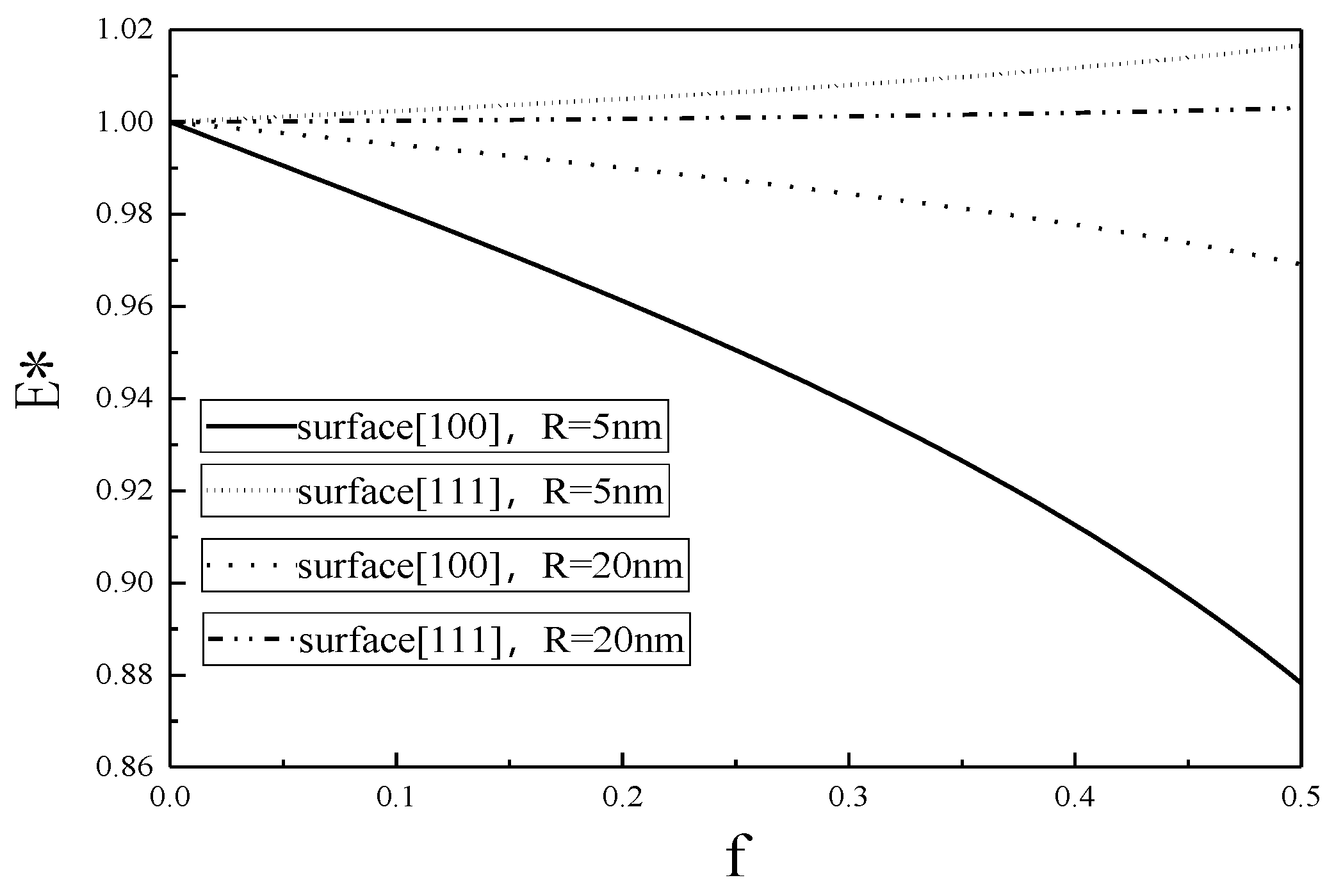
4.1. Numerical Results of the Young’s Modulus SMA with Nanopores
4.2. Numerical Results of the Constitutive Model
5. Conclusions
- The effective Young’s modulus of nanoporous SMA, which is independent of the volume fraction of martensite, depends on the radius of nanopores and nanoporosity.
- The surface effect decreases with the increase of nano pore size, and the effective Young’s modulus of nanoporous SMA is close to the macroscopic theory when the nano pore radius exceeds 50 nm.
- The constitutive model of nanoporous SMA is derived, which is in good agreement with the simulation data in the literature.
Author Contributions
Funding
Data Availability Statement
Conflicts of Interest
References
- Chu, L.; Li, Y.; Dui, G. Size-dependent electromechanical coupling in functionally graded flexoelectric nanocylinders. Acta Mech. 2019, 230, 3071–3086. [Google Scholar] [CrossRef]
- Chu, L.; Dui, G. Exact solutions for functionally graded micro-cylinders in first gradient elasticity. Int. J. Mech. Sci. 2018, 148, 366–373. [Google Scholar] [CrossRef]
- Chu, L.; Li, Y.; Dui, G. Nonlinear analysis of functionally graded flexoelectric nanoscale energy harvesters. Int. J. Mech. Sci. 2020, 167, 105282. [Google Scholar] [CrossRef]
- Yuan, G.; Li, H.; Hu, H.; Xie, Y.; Xiao, Y.; Dong, H.; Liang, Y.; Liu, Y.; Zheng, M. Microstructure engineering towards porous carbon materials derived from one biowaste precursor for multiple energy storage applications. Electrochim. Acta 2019, 326, 134974. [Google Scholar] [CrossRef]
- Jiang, Y.; He, Y.; Gao, H. Recent progress in porous intermetallics: Synthesis mechanism, pore structure, and material properties. J. Mater. Sci. Technol. 2021, 74, 89–104. [Google Scholar] [CrossRef]
- Dawood, N.M.; Ali, A.-R.K.A.; Atiyah, A.A. Fabrication of Porous NiTi Shape Memory Alloy Objects by Powder Metallurgy for Biomedical Applications. IOP Conf. Series: Mater. Sci. Eng. 2019, 518, 032056. [Google Scholar] [CrossRef]
- Kim, Y.-W.; Mukarati, T. Fabrication and Shape Memory Characteristics of Highly Porous Ti-Nb-Mo Biomaterials. Arch. Met. Mater. 2017, 62, 1367–1370. [Google Scholar] [CrossRef][Green Version]
- Yuan, B.; Zhu, M.; Chung, C.Y. Biomedical Porous Shape Memory Alloys for Hard-Tissue Replacement Materials. Materials 2018, 11, 1716. [Google Scholar] [CrossRef]
- Haider, W.A.; Tahir, M.; He, L.; Yang, W.; Minhas-Khan, A.; Owusu, K.A.; Chen, Y.; Hong, X.; Mai, L. Integration of VS2 nanosheets into carbon for high energy density micro-supercapacitor. J. Alloys Compd. 2020, 823, 151769. [Google Scholar] [CrossRef]
- Wang, Y.; Hong, X.; Guo, Y.; Zhao, Y.; Liao, X.; Liu, X.; Li, Q.; He, L.; Mai, L. Wearable Textile-Based Co−Zn Alkaline Microbattery with High Energy Density and Excellent Reliability. Small 2020, 16, e2000293. [Google Scholar] [CrossRef]
- Zhu, Z.; Kan, R.; Hu, S.; He, L.; Hong, X.; Tang, H.; Luo, W. Recent Advances in High-Performance Microbatteries: Construction, Application, and Perspective. Small 2020, 16. [Google Scholar] [CrossRef]
- Xu, Z.; Fan, X.; Zhang, W.; Wang, T. Numerical analysis of anisotropic elasto-plastic deformation of porous materials with arbitrarily shaped pores. Int. J. Mech. Sci. 2015, 96–97, 121–131. [Google Scholar] [CrossRef]
- Soyarslan, C.; Husser, E.; Bargmann, S. Effect of Surface Elasticity on the Elastic Response of Nanoporous Gold. J. Nanomechanics Micromechanics 2017, 7, 04017013. [Google Scholar] [CrossRef]
- Sharma, P.; Dasgupta, A. Average elastic fields and scale-dependent overall properties of heterogeneous micropolar materials containing spherical and cylindrical inhomogeneities. Phys. Rev. B 2002, 66, 224110. [Google Scholar] [CrossRef]
- Sharma, P.; Ganti, S.; Bhate, N. Effect of surfaces on the size-dependent elastic state of nano-inhomogeneities. Appl. Phys. Lett. 2003, 82, 535–537. [Google Scholar] [CrossRef]
- Xun, F.; Hu, G.; Huang, Z. Effective in plane moduli of composites with a micropolar matrix and coated fibers. Int. J. Solids Struct. 2004, 41, 247–265. [Google Scholar] [CrossRef]
- Duan, H.; Wang, J.; Huang, Z.; Luo, Z. Stress concentration tensors of inhomogeneities with interface effects. Mech. Mater. 2005, 37, 723–736. [Google Scholar] [CrossRef]
- Duan, H.; Wang, J.; Huang, Z.; Karihaloo, B. Size-dependent effective elastic constants of solids containing nano-inhomogeneities with interface stress. J. Mech. Phys. Solids 2005, 53, 1574–1596. [Google Scholar] [CrossRef]
- Le Quang, H.; He, Q.-C. Variational principles and bounds for elastic inhomogeneous materials with coherent imperfect interfaces. Mech. Mater. 2008, 40, 865–884. [Google Scholar] [CrossRef]
- Feng, X.-Q.; Xia, R.; Li, X.; Li, B. Surface effects on the elastic modulus of nanoporous materials. Appl. Phys. Lett. 2009, 94, 011916. [Google Scholar] [CrossRef]
- Xia, R.; Li, X.; Qin, Q.; Liu, J.; Feng, X.-Q. Surface effects on the mechanical properties of nanoporous materials. Nanotechnology 2011, 22, 265714. [Google Scholar] [CrossRef]
- Nix, W.D.; Gao, H. An atomistic interpretation of interface stress. Scr. Mater. 1998, 39, 1653–1661. [Google Scholar] [CrossRef]
- Bottomley, D.J.; Ogino, T. Alternative to the Shuttleworth formulation of solid surface stress. Phys. Rev. B 2001, 63, 165412. [Google Scholar] [CrossRef]
- Li, S.; Yiming, W.; Zhuping, H.; Jianxiang, W. Interface effect on the effective bulk modulus of a particle-reinforced composite. Acta Mech. Sin. 2004, 20, 676–679. [Google Scholar] [CrossRef]
- Liu, B.F.; Dui, G.S.; Zhu, Y.P. A Micromechanical Constitutive Model for Porous Shape Memory Alloys. Appl. Mech. Mater. 2010, 29–32, 1855–1861. [Google Scholar] [CrossRef]
- Gur, S.; Frantziskonis, G.N.; Muralidharan, K. Atomistic simulation of shape memory effect (SME) and superelasticity (SE) in nano-porous NiTi shape memory alloy (SMA). Comput. Mater. Sci. 2018, 152, 28–37. [Google Scholar] [CrossRef]
- Boyd, J.; Lagoudas, D. A thermodynamical constitutive model for shape memory materials. Part I. The monolithic shape memory alloy. Int. J. Plast. 1996, 12, 805–842. [Google Scholar] [CrossRef]
- Lu, Y.; Zhang, R.; Xie, Z.; Yue, H.-H.; Wang, L. A new variable speed phase transformation constitutive model of shape memory alloys. Mater. Res. Express 2019, 6, 105705. [Google Scholar]
- Turner, T.L.; Buehrle, R.D.; Cano, R.J.; Fleming, G.A. Modeling, Fabrication, and Testing of a SMA Hybrid Composite Jet Engine Chevron Concept. J. Intell. Mater. Syst. Struct. 2006, 17, 483–497. [Google Scholar] [CrossRef]
- Shenoy, V.B. Size-dependent rigidities of nanosized torsional elements. Int. J. Solids Struct. 2002, 39, 4039–4052. [Google Scholar] [CrossRef]
- Hartl, D.J.; Lagoudas, D.C.; Calkins, F.T.; Mabe, J.H. Use of a Ni60Ti shape memory alloy for active jet engine chevron application: I. Thermomechanical characterization. Smart Mater. Struct. 2009, 19. [Google Scholar] [CrossRef]
- Zhao, Y.; Taya, M.; Kang, Y.; Kawasaki, A. Compression behavior of porous NiTi shape memory alloy. Acta Mater. 2005, 53, 337–343. [Google Scholar] [CrossRef]








Publisher’s Note: MDPI stays neutral with regard to jurisdictional claims in published maps and institutional affiliations. |
© 2021 by the authors. Licensee MDPI, Basel, Switzerland. This article is an open access article distributed under the terms and conditions of the Creative Commons Attribution (CC BY) license (https://creativecommons.org/licenses/by/4.0/).
Share and Cite
Du, C.; Li, Z.; Liu, B. Effect of Nanopores on Mechanical Properties of the Shape Memory Alloy. Micromachines 2021, 12, 529. https://doi.org/10.3390/mi12050529
Du C, Li Z, Liu B. Effect of Nanopores on Mechanical Properties of the Shape Memory Alloy. Micromachines. 2021; 12(5):529. https://doi.org/10.3390/mi12050529
Chicago/Turabian StyleDu, Chunzhi, Zhifan Li, and Bingfei Liu. 2021. "Effect of Nanopores on Mechanical Properties of the Shape Memory Alloy" Micromachines 12, no. 5: 529. https://doi.org/10.3390/mi12050529
APA StyleDu, C., Li, Z., & Liu, B. (2021). Effect of Nanopores on Mechanical Properties of the Shape Memory Alloy. Micromachines, 12(5), 529. https://doi.org/10.3390/mi12050529

