In-Fiber BaTiO3 Microsphere Resonator for High-Sensitivity Temperature Measurement
Abstract
1. Introduction
2. Materials and Methods
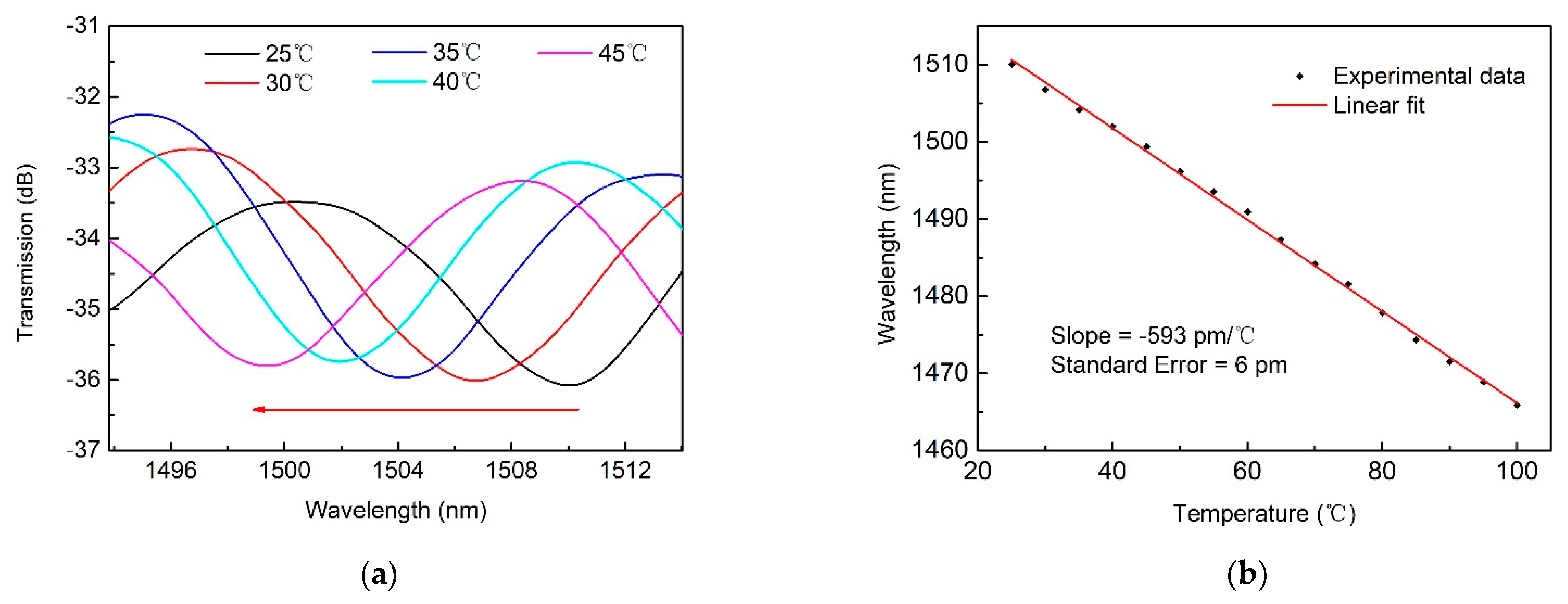
3. Results and Discussion
4. Conclusions
Author Contributions
Funding
Institutional Review Board Statement
Informed Consent Statement
Data Availability Statement
Conflicts of Interest
References
- Trocha, P.; Karpov, M.; Ganin, D.; Pfeiffer, M.H.P.; Kordts, A.; Wolf, S.; Krockenberger, J.; Marin-Palomo, P.; Weimann, C.; Randel, S.; et al. Ultrafast optical ranging using microresonator soliton frequency combs. Science 2018, 359, 887–891. [Google Scholar] [CrossRef]
- Herr, T.; Brasch, V.; Jost, J.D.; Wang, C.Y.; Kondratiev, N.M.; Gorodetsky, M.L.; Kippenberg, T.J. Temporal solitons in optical microresonators. Nat. Photon. 2014, 8, 145–152. [Google Scholar] [CrossRef]
- Kippenberg, T.J.; Gaeta, A.L.; Lipson, M.; Gorodetsky, M.L. Dissipative kerr solitons in optical microresonators. Science 2018, 361, 567. [Google Scholar] [CrossRef] [PubMed]
- Annadhasan, M.; Venkataramudu, U.; Mitetelo, N.V.; Mamonov, E.A.; Sahoo, C.; Naraharisetty, S.R.G.; Murzina, T.V.; Chandrasekar, R. High optical energy storage and two-photon luminescence from solution-processed perovskite-polystyrene composite microresonators. ACS Appl. Energy Mater. 2018, 2, 428–435. [Google Scholar] [CrossRef]
- Aveline, D.C.; Baumgartel, L.M.; Lin, G.; Yu, N. Whispering gallery mode resonators augmented with engraved diffraction gratings. Opt. Lett. 2013, 38, 284–286. [Google Scholar] [CrossRef] [PubMed]
- Bogdanov, A.A.; Mukhin, I.S.; Kryzhanovskaya, N.V.; Maximov, M.V.; Sadrieva, Z.F.; Kulagina, M.M.; Zadiranov, Y.M.; Lipovskii, A.A.; Moiseev, E.I.; Kudashova, Y.V.; et al. Mode selection in inas quantum dot microdisk lasers using focused ion beam technique. Opt. Lett. 2015, 40, 4022–4025. [Google Scholar] [CrossRef] [PubMed]
- Twedt, K.A.; Zou, J.; Davanco, M.; Srinivasan, K.; McClelland, J.J.; Aksyuk, V.A. Imaging nanophotonic modes of microresonators using a focused ion beam. Nat. Photon. 2016, 10, 35–39. [Google Scholar] [CrossRef] [PubMed]
- Moiseev, E.I.; Kryzhanovskaya, N.; Polubavkina, Y.S.; Maximov, M.V.; Kulagina, M.M.; Zadiranov, Y.M.; Lipovskii, A.A.; Mukhin, I.S.; Mozharov, A.M.; Komissarenko, F.E.; et al. Light outcoupling from quantum dot-based microdisk laser via plasmonic nanoantenna. ACS Photon. 2017, 4, 275–281. [Google Scholar] [CrossRef]
- Liu, Z.-P.; Jiang, X.-F.; Li, Y.; Xiao, Y.-F.; Wang, L.; Ren, J.-L.; Zhang, S.-J.; Yang, H.; Gong, Q. High-q asymmetric polymer microcavities directly fabricated by two-photon polymerization. Appl. Phys. Lett. 2013, 102, 221108. [Google Scholar] [CrossRef]
- Huang, Q.L.; Xu, H.L.; Li, M.T.; Hou, Z.S.; Lv, C.; Zhan, X.P.; Li, H.L.; Xia, H.; Wang, H.Y.; Sun, H.B. Stretchable peg-da hydrogel-based whispering-gallery-mode microlaser with humidity responsiveness. J. Light. Technol. 2018, 36, 819–824. [Google Scholar] [CrossRef]
- Hou, Z.S.; Huang, Q.L.; Zhan, X.P.; Li, A.W.; Xu, H.L. Real 3d microsphere lasers by femtosecond laser processing. RSC Adv. 2017, 7, 16531–16534. [Google Scholar] [CrossRef]
- Kelemen, L.; Lepera, E.; Horvath, B.; Ormos, P.; Osellame, R.; Martinez Vazquez, R. Direct writing of optical microresonators in a lab-on-a-chip for label-free biosensing. Lab Chip 2019, 19, 1985–1990. [Google Scholar] [CrossRef] [PubMed]
- Kim, P.; Doss, N.M.; Tillotson, J.P.; Hotchkiss, P.J.; Pan, M.-J.; Marder, S.R.; Li, J.; Calame, J.P.; Perry, J.W. High energy density nanocomposites based on surface-modified batio(3) and a ferroelectric polymer. ACS Nano 2009, 3, 2581–2592. [Google Scholar] [CrossRef] [PubMed]
- Dang, Z.-M.; Yuan, J.-K.; Yao, S.-H.; Liao, R.-J. Flexible nanodielectric materials with high permittivity for power energy storage. Adv. Mater. 2013, 25, 6334–6365. [Google Scholar] [CrossRef] [PubMed]
- Li, C.; Liao, C.; Wang, J.; Li, Z.; Wang, Y.; He, J.; Bai, Z. Femtosecond laser microprinting of a polymer fiber bragg grating for high-sensitivity temperature measurements. Opt. Lett. 2018, 43, 3409–3412. [Google Scholar] [CrossRef] [PubMed]
- Grobnic, D.; Mihailov, S.J.; Ballato, J.; Dragic, P.D. Type i and ii bragg gratings made with infrared femtosecond radiation in high and low alumina content aluminosilicate optical fibers. Optica 2015, 2, 313. [Google Scholar] [CrossRef]
- Pongruengkiat, W.; Pechprasarn, S. Whispering-gallery mode resonators for detecting cancer. Sensors 2017, 17, 2095. [Google Scholar] [CrossRef]
- Liao, C.; Li, C.; Wang, C.; Wang, Y.; He, J.; Liu, S.; Bai, Z.; Gan, Z.; Wang, Y. High-speed all-optical modulator based on a polymer nanofiber bragg grating printed by femtosecond laser. ACS Appl. Mater. 2020, 12, 1465–1473. [Google Scholar] [CrossRef]
- Yee, K.S. Numerical solution of initial boundary value problems involving maxwell’s equation in isotropic media. IEEE Trans. Antennas Propag. 1966, 14, 302–307. [Google Scholar] [CrossRef]
- Ku, J.F.; Chen, Q.D.; Zhang, R.; Sun, H.B. Whispering-gallery-mode microdisk lasers produced by femtosecond laser direct writing. Opt. Lett. 2011, 36, 2871–2873. [Google Scholar] [CrossRef][Green Version]
- Xiaobei, Z.; Yong, Y.; Huawen, B.; Jiawei, W.; Ming, Y.; Hai, X.; Tingyun, W. Theoretical aspects and sensing demonstrations of cone-shaped inwall capillary-based microsphere resonators. Photon. Res. 2017, 5, 516. [Google Scholar]
- Taylor, T.R.; Hansen, P.J.; Acikel, B.; Pervez, N.; York, R.A.; Streiffer, S.K.; Speck, J.S. Impact of thermal strain on the dielectric constant of sputtered barium strontium titanate thin films. Appl. Phys. Lett. 2002, 80, 1978–1980. [Google Scholar] [CrossRef]
- Jo, W.; Schaab, S.; Sapper, E.; Schmitt, L.A.; Kleebe, H.-J.; Bell, A.J.; Rödel, J. On the phase identity and its thermal evolution of lead free (bi1/2na1/2)tio3-6 mol% batio3. J. Appl. Phys. 2011, 110, 074106. [Google Scholar] [CrossRef]
- Davis, M.; Damjanovic, D.; Setter, N. Electric-field-, temperature-, and stress-induced phase transitions in relaxor ferroelectric single crystals. Phys. Rev. B 2006, 73, 014115. [Google Scholar] [CrossRef]
- Yan, H.; Zhang, H.; Reece, M.J.; Dong, X. Thermal depoling of high curie point aurivillius phase ferroelectric ceramics. Appl. Phys. Lett. 2005, 87, 082911. [Google Scholar] [CrossRef]
- He, Y. Heat capacity, thermal conductivity, and thermal expansion of barium titanate-based ceramics. Thermochim. Acta 2004, 419, 135–141. [Google Scholar] [CrossRef]
- Sawada, S.; Shirane, G. Specific heat and thermal expansion of batio3. J. Phys. Soc. Jpn. 1949, 4, 52–56. [Google Scholar] [CrossRef]
- Liu, X.; Cui, X.L.; Wang, D.N. Integrated in-fiber coupler for a whispering-gallery mode microsphere resonator. Opt. Lett. 2020, 45, 1467–1470. [Google Scholar] [CrossRef] [PubMed]
- Zhang, M.; Yang, W.; Tian, K.; Yu, J.; Li, A.; Wang, S.; Lewis, E.; Farrell, G.; Yuan, L.; Wang, P. In-fiber whispering-gallery mode microsphere resonator-based integrated device. Opt. Lett. 2018, 43, 3961–3964. [Google Scholar] [CrossRef] [PubMed]
- Kosma, K.; Zito, G.; Schuster, K.; Pissadakis, S. Whispering gallery mode microsphere resonator integrated inside a microstructured optical fiber. Opt. Lett. 2013, 38, 1301–1303. [Google Scholar] [CrossRef]





Publisher’s Note: MDPI stays neutral with regard to jurisdictional claims in published maps and institutional affiliations. |
© 2021 by the authors. Licensee MDPI, Basel, Switzerland. This article is an open access article distributed under the terms and conditions of the Creative Commons Attribution (CC BY) license (http://creativecommons.org/licenses/by/4.0/).
Share and Cite
Li, C.; Zhu, M.; Ji, P.; Xiong, C.; Liao, C. In-Fiber BaTiO3 Microsphere Resonator for High-Sensitivity Temperature Measurement. Micromachines 2021, 12, 318. https://doi.org/10.3390/mi12030318
Li C, Zhu M, Ji P, Xiong C, Liao C. In-Fiber BaTiO3 Microsphere Resonator for High-Sensitivity Temperature Measurement. Micromachines. 2021; 12(3):318. https://doi.org/10.3390/mi12030318
Chicago/Turabian StyleLi, Chi, Meng Zhu, Peng Ji, Cong Xiong, and Changrui Liao. 2021. "In-Fiber BaTiO3 Microsphere Resonator for High-Sensitivity Temperature Measurement" Micromachines 12, no. 3: 318. https://doi.org/10.3390/mi12030318
APA StyleLi, C., Zhu, M., Ji, P., Xiong, C., & Liao, C. (2021). In-Fiber BaTiO3 Microsphere Resonator for High-Sensitivity Temperature Measurement. Micromachines, 12(3), 318. https://doi.org/10.3390/mi12030318
