Hybrid Deep Recurrent Neural Networks for Noise Reduction of MEMS-IMU with Static and Dynamic Conditions
Abstract
1. Introduction
2. Methods
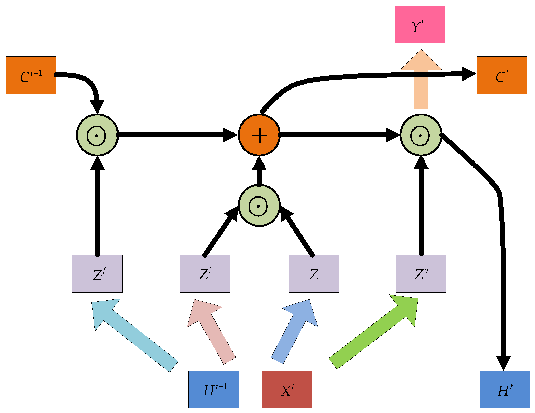
2.1. The Principle of LSTM
2.2. The Principle of GRU
2.3. Hybrid Modes of LSTM and GRU
3. Experiments and Results
3.1. Experiment Setup
3.2. Parameters Determination
3.3. Static Experiments
3.4. Dynamic Experiments
4. Conclusions and Future Works
Author Contributions
Funding
Acknowledgments
Conflicts of Interest
References
- Xue, L.; Jiang, C.Y.; Wang, L.X.; Liu, J.Y.; Yuan, W.Z. Noise Reduction of MEMS Gyroscope Based on Direct Modeling for an Angular Rate Signal. Micromachines 2015, 6, 266–280. [Google Scholar] [CrossRef]
- Wu, Y.C.; Shen, C.; Cao, H.L.; Che, X. Improved Morphological Filter Based on Variational Mode Decomposition for MEMS Gyroscope De-Noising. Micromachines 2018, 9, 246. [Google Scholar] [CrossRef]
- Hu, Z.X.; Barry, C. Extended Kalman filtering based parameter estimation and drift compensation for a MEMS rate integrating gyroscope. Sens. Actuators A Phys. 2016, 250, 96–105. [Google Scholar] [CrossRef]
- Nevlydov, I.; Filipenko, O.; Volkova, M.; Ponomaryova, G. MEMS-Based Inertial Sensor Signals and Machine Learning Methods for Classifying Robot Motion. In Proceedings of the IEEE 2nd International Conference on Data Stream Mining & Processing (DSMP 2018), Lviv, Ukraine, 21–25 August 2018; pp. 13–16. [Google Scholar]
- Lou, L.; Xu, X.; Cao, J.; Chen, Z.L.; Xu, Y. Sensor fusion-based attitude estimation using low-cost MEMS-IMU for mobile robot navigation. In Proceedings of the 6th IEEE Joint International Information Technology and Artificial Intelligence Conference (ITAIC 2011), Chongqing, China, 20–22 August 2011; pp. 480–483. [Google Scholar]
- Nokhodberiz, N.S.; Poshtan, J. Distributed Interacting Multiple Filters for Fault Diagnosis of Navigation Sensors in a Robotic System. IEEE Trans. Syst. Man Cybern. Syst. 2017, 47, 1383–1393. [Google Scholar] [CrossRef]
- Jiang, C.H.; Chen, S.; Chen, Y.W.; Bo, Y.M.; Han, L.; Guo, J.; Feng, Z.Y.; Zhou, H. Performance Analysis of a Deep Simple Recurrent Unit Recurrent Neural Network (SRU-RNN) in MEMS Gyroscope De-Noising. Sensors 2018, 18, 4471. [Google Scholar] [CrossRef]
- Bhardwaj, R.; Kumar, N.; Kumar, V. Errors in micro-electro-mechanical systems inertial measurement and a review on present practices of error modelling. Trans. Inst. Meas. Control 2018, 40, 2843–2854. [Google Scholar] [CrossRef]
- Shaeffer, D.K. MEMS inertial sensors: A tutorial overview. IEEE Commun. Mag. 2013, 51, 100–109. [Google Scholar] [CrossRef]
- Cao, H.L.; Li, H.S.; Shao, X.L.; Liu, Z.Y.; Kou, Z.W.; Shan, Y.H.; Shi, Y.B.; Shen, C.; Liu, J. Sensing mode coupling analysis for dual-mass MEMS gyroscope and bandwidth expansion within wide-temperature range. Mech. Syst. Signal Process. 2018, 98, 448–464. [Google Scholar] [CrossRef]
- Geiger, W.; Bartholomeyczik, J.; Breng, U.; Gutmann, W.; Hafen, M.; Handrich, E.; Huber, M.; Jackle, A.; Kempfer, U.; Kopmann, H.; et al. MEMS IMU for AHRS applications. In Proceedings of the 2008 IEEE/ION Position, Location and Navigation Symposium (PLANS 2008), Monterey, CA, USA, 5–8 May 2008; pp. 1–7. [Google Scholar]
- Keymeulen, D.; Fink, W.; Ferguson, M.I.; Peay, C.; Oks, B.; Terrile, R.; Yee, K. Tuning of MEMS devices using evolutionary computation and open-loop frequency response. In Proceedings of the 2005 IEEE Aerospace Conference (AERO 2005), Big Sky, MT, USA, 5–12 March 2005; pp. 1–8. [Google Scholar]
- Sharma, A.; Zaman, M.F.; Zucher, M.; Ayazi, F. A 0.1°/HR bias drift electronically matched tuning fork microgyroscope. In Proceedings of the IEEE 21st International Conference on Micro Electro Mechanical Systems (MEMS 2008), Tucson, AZ, USA, 13–17 January 2008; pp. 6–9. [Google Scholar]
- Zaman, M.F.; Sharma, A.; Hao, Z.L.; Ayazi, F. A mode-matched silicon-yaw tuning-fork gyroscope with subdegree-per-hour allan deviation bias instability. J. Microelectromech. Syst. 2008, 17, 1526–1536. [Google Scholar] [CrossRef]
- Sharma, A.; Zaman, M.F.; Ayazi, F. A sub 0.2°/hr bias drift micromechanical silicon gyroscope with automatic CMOS mode-matching. IEEE J. Solid-State Circuits 2009, 44, 1593–1608. [Google Scholar] [CrossRef]
- Antonello, R.; Oboe, R.; Prandi, L.; Biganzoli, F. Automatic Mode Matching in MEMS Vibrating Gyroscopes Using Extremum-Seeking Control. IEEE Trans. Ind. Electron. 2009, 56, 3880–3891. [Google Scholar] [CrossRef]
- Sonmezoglu, S.; Alper, S.E.; Akin, T. An automatically mode-matched MEMS gyroscope with 50 Hz bandwidth. In Proceedings of the IEEE 25th International Conference on Micro Electro Mechanical Systems (MEMS 2012), Paris, France, 29 January–2 February 2012; pp. 523–526. [Google Scholar]
- Xu, L.; Li, H.S.; Yang, C.; Huang, L.B. Comparison of Three Automatic Mode-Matching Methods for Silicon Micro-Gyroscopes Based on Phase Characteristic. IEEE Sens. J. 2016, 16, 610–619. [Google Scholar] [CrossRef]
- Behbahani, A.H.; M’Closkey, R.T. Frequency analysis of a uniform ring perturbed by point masses and springs. J. Sound Vib. 2017, 397, 204–221. [Google Scholar] [CrossRef]
- Behbahani, A.H.; M’Closkey, R.T. Multimodal Tuning of an Axisymmetric Resonator. J. Dyn. Syst. Meas. Control 2019, 141, 091010. [Google Scholar] [CrossRef]
- Behbahani, A.H.; Kim, D.; Stupar, P.; DeNatale, J.; M’Closkey, R.T. Tailored Etch Profiles for Wafer-Level Frequency Tuning of Axisymmetric Resonators. J. Microelectromech. Syst. 2017, 26, 1–11. [Google Scholar] [CrossRef]
- Kulygin, A.; Kirsch, C.; Schwarz, P.; Schmid, U.; Seidel, H. Decoupled Surface Micromachined Gyroscope with Single-Point Suspension. J. Microelectromech. Syst. 2012, 21, 206–216. [Google Scholar] [CrossRef]
- Ge, H.H.; Behbahani, A.H.; Gibson, J.S.; M’Closkey, R.T. Adaptive Cancellation of Parasitic Coupling. J. Microelectromech. Syst. 2018, 27, 844–853. [Google Scholar] [CrossRef]
- Fei, J.T.; Feng, Z.L. Adaptive Fuzzy Super-Twisting Sliding Mode Control for Microgyroscope. Complexity 2019, 2019, 1–13. [Google Scholar] [CrossRef]
- Kuo, C.L.; Yau, H.T.; Lin, C.H.; Tsui, C.K. Fuzzy sliding mode control for a gyroscope system. In Proceedings of the 2012 IEEE International Conference on Mechatronics and Automation (ICMA 2012), Chengdu, China, 5–8 August 2012; pp. 133–137. [Google Scholar]
- Ghanbari, A.; Moghanni, M.R. Adaptive fuzzy terminal sliding-mode control of MEMS z-axis gyroscope with extended Kalman filter observer. Syst. Sci. Control. Eng. 2014, 2, 183–191. [Google Scholar] [CrossRef]
- Song, J.L.; Shi, Z.Y.; Wang, L.H.; Wang, H.L. Improved Virtual Gyroscope Technology Based on the ARMA Model. Micromachines 2018, 9, 348. [Google Scholar] [CrossRef]
- Zhang, Q.; Wang, X.Y.; Wang, S.Q.; Pei, C.Y. Application of Improved Fast Dynamic Allan Variance for the Characterization of MEMS Gyroscope on UAV. J. Sens. 2018. [Google Scholar] [CrossRef]
- Zhang, S.Z.; Yu, S.; Liu, C.J.; Yuan, X.B.; Liu, S. A Dual-Linear Kalman Filter for Real-Time Orientation Determination System Using Low-Cost MEMS Sensors. Sensors 2016, 16, 264. [Google Scholar] [CrossRef] [PubMed]
- Yuan, J.G.; Yuan, Y.T.; Liu, F.L.; Pang, Y.; Lin, J.Z. An improved noise reduction algorithm based on wavelet transformation for MEMS gyroscope. Front. Optoelectron. 2015, 8, 413–418. [Google Scholar] [CrossRef]
- Zhang, R.; Xu, B.; Shi, P. Output Feedback Control of Micromechanical Gyroscopes Using Neural Networks and Disturbance Observer. IEEE Trans. Neural Netw. Learn. Syst. 2020. [Google Scholar] [CrossRef]
- Zhang, Y.S.; Yang, T. Modeling and compensation of MEMS gyroscope output data based on support vector machine. Measurement 2012, 45, 922–926. [Google Scholar] [CrossRef]
- Xing, H.F.; Hou, B.; Lin, Z.H.; Guo, M.F. Modeling and Compensation of Random Drift of MEMS Gyroscopes Based on Least Squares Support Vector Machine Optimized by Chaotic Particle Swarm Optimization. Sensors 2017, 17, 2335. [Google Scholar] [CrossRef] [PubMed]
- Bhatt, D.; Aggarwal, P.; Bhattacharya, P.; Devabhaktuni, V. An Enhanced MEMS Error Modeling Approach Based on Nu-Support Vector Regression. Sensors 2012, 12, 9448–9466. [Google Scholar] [CrossRef]
- Naser, E.; Hou, H.Y.; Niu, X.J. Analysis and modeling of inertial sensors using Allan variance. IEEE Trans. Instrum. Meas. 2008, 57, 140–149. [Google Scholar]
- Han, S.P.; Meng, Z.; Omisore, O.; Akinyemi, T.; Yan, Y.P. Random Error Reduction Algorithms for MEMS Inertial Sensor Accuracy Improvement—A Review. Micromachines 2020, 11, 1021. [Google Scholar] [CrossRef] [PubMed]
- Shi, Y.S.; Gao, Z.F. Study on MEMS Gyro Signal De-Noising Based on Improved Wavelet Threshold Method. Appl. Mech. Mater. 2013, 433, 1558–1562. [Google Scholar] [CrossRef]
- Shiau, J.K.; Ma, D.M.; Huang, C.X.; Chang, M.Y. MEMS Gyroscope Null Drift and Compensation Based on Neural Network. Adv. Mater. Res. 2011, 255, 2077–2081. [Google Scholar] [CrossRef]
- Chen, D.K.; Han, J.Q. Application of wavelet neural network in signal processing of MEMS accelerometers. Microsyst. Technol. 2011, 17, 1–5. [Google Scholar] [CrossRef]
- Sheng, G.R.; Gao, G.W.; Zhang, B.Y. Application of Improved Wavelet Thresholding Method and an RBF Network in the Error Compensating of an MEMS Gyroscope. Micromachines 2019, 10, 608. [Google Scholar] [CrossRef] [PubMed]
- Lecun, Y.; Bengio, Y.; Hinton, G. Deep learning. Nature 2015, 521, 436–444. [Google Scholar] [CrossRef]
- Bilski, J.; Rutkowski, L.; Smolag, J.; Tao, D.C. A novel method for speed training acceleration of recurrent neural networks. Inf. Sci. 2021, 553, 266–279. [Google Scholar] [CrossRef]
- Masumura, R.; Asami, T.; Oba, T.; Sakauchi, S.; Ito, A. Latent Words Recurrent Neural Network Language Models for Automatic Speech Recognition. IEICE Trans. Inf. Syst. 2019, 102, 2557–2567. [Google Scholar] [CrossRef]
- Cui, Q.; Wu, S.; Huang, Y.; Wang, L. A hierarchical contextual attention-based network for sequential recommendation. Neurocomputing 2019, 358, 141–149. [Google Scholar] [CrossRef]
- Li, D.H.; Zhou, J.; Liu, Y.Y. Recurrent-neural-network-based unscented Kalman filter for estimating and compensating the random drift of MEMS gyroscopes in real time. Mech. Syst. Signal Process. 2021, 147, 107057. [Google Scholar] [CrossRef]
- Yang, D.S.; Gu, C.S.; Zhu, Y.T.; Dai, B.; Zhang, K.; Zhang, Z.D.; Li, B. A Concrete Dam Deformation Prediction Method Based on LSTM with Attention Mechanism. IEEE ACCESS 2020, 8, 185177–185186. [Google Scholar] [CrossRef]
- Hochreiter, S.; Schmidhuber, J. Long short-term memory. Neural Comput. 1997, 9, 1735–1780. [Google Scholar] [CrossRef]
- Chung, J.G.; Gulcehre, C.; Cho, K.H.; Bengio, Y. Empirical Evaluation of Gated Recurrent Neural Networks on Sequence Modeling. arXiv 2014, arXiv:1412.3555. [Google Scholar]
- Jiang, C.H.; Chen, S.; Chen, Y.W.; Zhang, B.Y.; Feng, Z.Y.; Zhou, H.; Bo, Y.M. A MEMS IMU De-Noising Method Using Long Short Term Memory Recurrent Neural Networks (LSTM-RNN). Sensors 2018, 18, 3470. [Google Scholar] [CrossRef] [PubMed]
- Jiang, C.H.; Chen, Y.W.; Chen, S.; Bo, Y.M.; Li, W.; Tian, W.X.; Guo, J. A Mixed Deep Recurrent Neural Network for MEMS Gyroscope Noise Suppressing. Electronics 2019, 8, 181. [Google Scholar] [CrossRef]
- Hu, J.; Yang, H.; Liu, H.J.; Chen, D.Y.; Du, J.H. Non-fragile set-membership estimation for sensor-saturated memristive neural networks via weighted try-once-discard protocol. IET Control Theory Appl. 2020, 14, 1671–1680. [Google Scholar] [CrossRef]
- Deep Learning Tutorial. Available online: http://speech.ee.ntu.edu.tw/~tlkagk/courses_MLSD15_2.html (accessed on 12 January 2021).
- The Understanding of LSTM. Available online: https://zhuanlan.zhihu.com/p/32085405 (accessed on 12 January 2021).
- The Understanding of GRU. Available online: https://zhuanlan.zhihu.com/p/32481747 (accessed on 12 January 2021).
- Huang, N.E.; Shen, Z.; Long, S.R.; Wu, M.C.; Shih, H.H.; Zheng, Q.; Yen, N.C.; Tung, C.C.; Liu, H.H. The empirical mode decomposition and the Hilbert spectrum for nonlinear and non-stationary time series analysis. Proc. R. Soc. A 1998, 454, 903–995. [Google Scholar] [CrossRef]
- Guo, X.T.; Sun, C.K.; Wang, P.; Huang, L. Hybrid methods for MEMS gyro signal noise reduction with fast convergence rate and small steady-state error. Sens. Actuators A Phys. 2018, 269, 145–159. [Google Scholar] [CrossRef]
- Guo, X.T.; Sun, C.K.; Wang, P.; Huang, L. A hybrid method for MEMS gyroscope signal error compensation. Sens. Rev. 2018, 38, 517–525. [Google Scholar] [CrossRef]
- Lu, Q.; Pang, L.X.; Huang, H.Q.; Shen, C.; Cao, H.L.; Shi, Y.B.; Liu, J. High-G calibration denoising method for high-g MEMS accelerometer based on EMD and wavelet threshold. Micromachines 2019, 10, 134. [Google Scholar] [CrossRef]


























| Error Sources | X-axis Gyroscope | ||||
|---|---|---|---|---|---|
| Raw Signal | LSTM-LSTM | GRU-GRU | LSTM-GRU | GRU-LSTM | |
| Quantization Noise (deg/) | 6.168649 | 2.577573 | 3.188908 | 0.331600 | 0.000211 |
| Angle Random Walk (deg/) | 12.774534 | 0.824106 | 0.976997 | 0.169090 | 0.000088 |
| Bias Instability (deg/h) | 190.759177 | 68.704943 | 113.726482 | 17.648027 | 0.028237 |
| Error Sources | Y-axis Gyroscope | ||||
|---|---|---|---|---|---|
| Raw Signal | LSTM-LSTM | GRU-GRU | LSTM-GRU | GRU-LSTM | |
| Quantization Noise (deg/) | 0.661380 | 0.149668 | 0.811900 | 0.057652 | 0.000385 |
| Angle Random Walk (deg/) | 1.748556 | 0.065753 | 0.308072 | 0.021857 | 0.000123 |
| Bias Instability (deg/h) | 68.970485 | 24.105904 | 36.667479 | 3.487848 | 0.017607 |
| Error Sources | Z-axis Gyroscope | ||||
|---|---|---|---|---|---|
| Raw Signal | LSTM-LSTM | GRU-GRU | LSTM-GRU | GRU-LSTM | |
| Quantization Noise (deg/) | 0.223371 | 0.021935 | 0.127073 | 0.009640 | 0.000463 |
| Angle Random Walk (deg/) | 1.445421 | 0.005576 | 0.037413 | 0.003515 | 0.000446 |
| Bias Instability (deg/h) | 33.720574 | 0.172867 | 9.586479 | 0.518550 | 0.053445 |
| Raw Signal | LSTM-LSTM | GRU-GRU | LSTM-GRU | GRU-LSTM |
|---|---|---|---|---|
| 0.038767 | 0.001571 | 0.000959 | 0.000858 | 0.000623 |
| Methods | Time (s) |
|---|---|
| LSTM-LSTM | 490.83452 |
| GRU-GRU | 420.30138 |
| LSTM-GRU | 453.63127 |
| GRU-LSTM | 442.57631 |
Publisher’s Note: MDPI stays neutral with regard to jurisdictional claims in published maps and institutional affiliations. |
© 2021 by the authors. Licensee MDPI, Basel, Switzerland. This article is an open access article distributed under the terms and conditions of the Creative Commons Attribution (CC BY) license (http://creativecommons.org/licenses/by/4.0/).
Share and Cite
Han, S.; Meng, Z.; Zhang, X.; Yan, Y. Hybrid Deep Recurrent Neural Networks for Noise Reduction of MEMS-IMU with Static and Dynamic Conditions. Micromachines 2021, 12, 214. https://doi.org/10.3390/mi12020214
Han S, Meng Z, Zhang X, Yan Y. Hybrid Deep Recurrent Neural Networks for Noise Reduction of MEMS-IMU with Static and Dynamic Conditions. Micromachines. 2021; 12(2):214. https://doi.org/10.3390/mi12020214
Chicago/Turabian StyleHan, Shipeng, Zhen Meng, Xingcheng Zhang, and Yuepeng Yan. 2021. "Hybrid Deep Recurrent Neural Networks for Noise Reduction of MEMS-IMU with Static and Dynamic Conditions" Micromachines 12, no. 2: 214. https://doi.org/10.3390/mi12020214
APA StyleHan, S., Meng, Z., Zhang, X., & Yan, Y. (2021). Hybrid Deep Recurrent Neural Networks for Noise Reduction of MEMS-IMU with Static and Dynamic Conditions. Micromachines, 12(2), 214. https://doi.org/10.3390/mi12020214
