Graphene/AlGaN/GaN RF Switch
Abstract
:1. Introduction
2. Structure of Graphene/AlGaN/GaN Switch and DC Characteristics
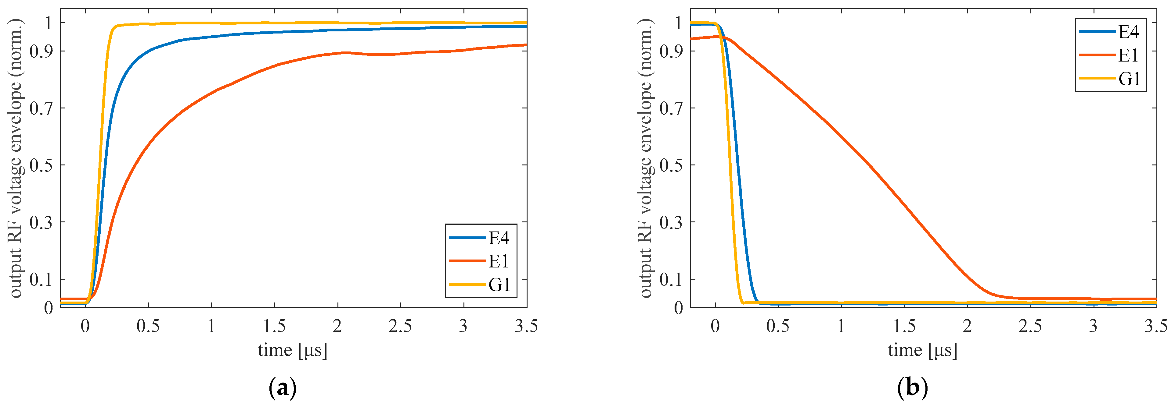
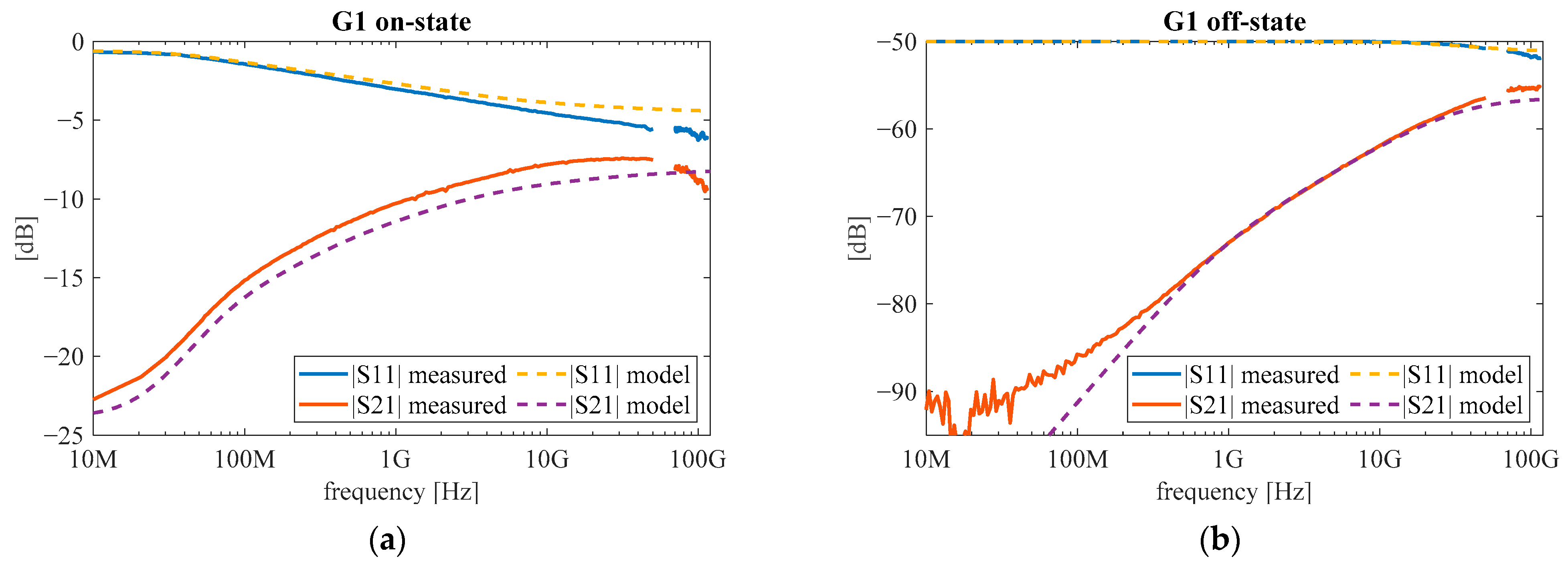
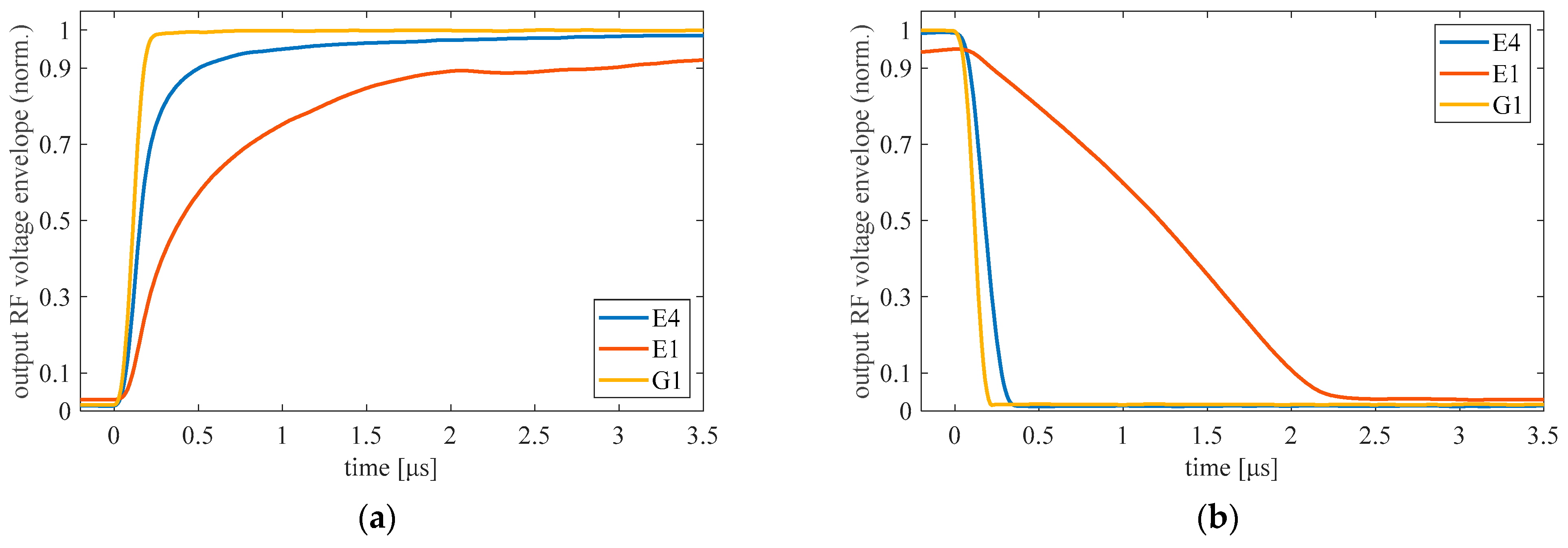
3. RF Characteristics
4. Discussion
5. Conclusions
Author Contributions
Funding
Institutional Review Board Statement
Informed Consent Statement
Conflicts of Interest
References
- Kim, J.; Kim, S.; Song, K.; Rieh, J.-S. A 300-GHz SPST Switch with a New Coupled-Line Topology in 65-nm CMOS Technology. IEEE Trans. Terahertz Sci. Technol. 2019, 9, 215–218. [Google Scholar] [CrossRef]
- Tawfik, Y.; Raju, A.; Varonen, M.; Najmussadat, M.; Halonen, K.A.I. 250 GHz SiGe SPDT Resonator Switch. In Proceedings of the 2020 15th European Microwave Integrated Circuits Conference (EuMIC), Utrecht, The Netherlands, 10–15 January 2021; pp. 289–291. [Google Scholar]
- Schmid, R.L.; Ulusoy, A.C.; Song, P.; Cressler, J.D. A 94 GHz, 1.4 dB Insertion Loss Single-Pole Double-Throw Switch Using Reverse-Saturated SiGe HBTs. IEEE Microw. Wirel. Components Lett. 2013, 24, 56–58. [Google Scholar] [CrossRef]
- Yi, C.; Choi, S.H.; Urteaga, M.; Kim, M. 20-Gb/s ON–OFF-Keying Modulators Using 0.25-μm InP DHBT Switches at 290 GHz. IEEE Microw. Wirel. Components Lett. 2019, 29, 360–362. [Google Scholar] [CrossRef]
- Thome, F.; Brückner, P.; Quay, R.; Ambacher, O. Millimeter-Wave Single-Pole Double-Throw Switches Based on a 100-nm Gate-Length AlGaN/GaN-HEMT Technology. In Proceedings of the 2019 IEEE MTT-S International Microwave Symposium (IMS), Boston, MA, USA, 2–7 June 2019; pp. 1403–1406. [Google Scholar] [CrossRef]
- Kim, Y.; Jeon, S. Mm-wave single-pole single-throw m-HEMT switch with low loss and high linearity. Electron. Lett. 2020, 56, 719–721. [Google Scholar] [CrossRef]
- Song, P.; Schmid, R.L.; Ulusoy, A.Ç.; Cressler, J.D. A high-power, low-loss W-band SPDT switch using SiGe PIN diodes. In Proceedings of the 2014 IEEE Radio Frequency Integrated Circuits Symposium, Tampa, FL, USA, 1–3 June 2014; pp. 195–198. [Google Scholar] [CrossRef]
- Yashchyshyn, Y.; Marczewski, J.; Tomaszewski, D. Investigation of the S-PIN Diodes for Silicon Monolithic Antennas with Reconfigurable Aperture. IEEE Trans. Microw. Theory Tech. 2010, 58, 1100–1106. [Google Scholar] [CrossRef]
- Yashchyshyn, Y.; Marczewski, J.; Derzakowski, K.; Modelski, J.; Grabiec, P.B. Development and Investigation of an Antenna System With Reconfigurable Aperture. IEEE Trans. Antennas Propag. 2009, 57, 2–8. [Google Scholar] [CrossRef]
- Yashchyshyn, Y.; Derzakowski, K.; Bajurko, P.; Marczewski, J.; Kozlowski, S. Time-Modulated Reconfigurable Antenna Based on Integrated S-PIN Diodes for mm-Wave Communication Systems. IEEE Trans. Antennas Propag. 2015, 63, 4121–4131. [Google Scholar] [CrossRef]
- Yashchyshyn, Y.; Derzakowski, K.; Bogdan, G.; Godziszewski, K.; Nyzovets, D.; Kim, C.H.; Park, B. 28 GHz Switched-Beam Antenna Based on S-PIN Diodes for 5G Mobile Communications. IEEE Antennas Wirel. Propag. Lett. 2017, 17, 225–228. [Google Scholar] [CrossRef]
- Wipf, S.T.; Goritz, A.; Wietstruck, M.; Wipf, C.; Tillack, B.; Kaynak, M. D–Band RF–MEMS SPDT Switch in a 0.13 μm SiGe BiCMOS Technology. IEEE Microw. Wirel. Components Lett. 2016, 26, 1002–1004. [Google Scholar] [CrossRef]
- Heredia, J.; Ribo, M.; Pradell, L.; Wipf, S.T.; Goritz, A.; Wietstruck, M.; Wipf, C.; Kaynak, M. A 125–143-GHz Frequency-Reconfigurable BiCMOS Compact LNA Using a Single RF-MEMS Switch. IEEE Microw. Wirel. Components Lett. 2019, 29, 339–341. [Google Scholar] [CrossRef]
- Borodulin, P.; El-Hinnawy, N.; Padilla, C.R.; Ezis, A.; King, M.R.; Johnson, D.R.; Nichols, D.T.; Young, R.M. Recent advances in fabrication and characterization of GeTe-based phase-change RF switches and MMICs. In Proceedings of the 2017 IEEE MTT-S International Microwave Symposium (IMS), Honololu, HI, USA, 4–9 June 2017; pp. 285–288. [Google Scholar] [CrossRef]
- Hillman, C.; Stupar, P.A.; Hacker, J.B.; Griffith, Z.; Field, M.; Rodwell, M. An ultra-low loss millimeter-wave solid state switch technology based on the metal—Insulator—Transition of vanadium dioxide. In Proceedings of the 2014 IEEE MTT-S International Microwave Symposium (IMS2014), Tampa, FL, USA, 1–6 June 2014; pp. 1–4. [Google Scholar] [CrossRef]
- Zhang, J.; Zhu, W. Graphene-Based Microwave Metasurfaces and Radio-Frequency Devices. Adv. Photonics Res. 2021, 2100142. [Google Scholar] [CrossRef]
- Theofanopoulos, P.C. Millimeter-Wave and Terahertz Reconfigurable Apertures for Imaging and Wireless Communication Applications. Ph.D. Thesis, Arizona State University, Tempe, AZ, USA, 2021. [Google Scholar]
- Kim, M.; Park, S.; Sanne, A.; Banerjee, S.K.; Akinwande, D. Towards mm-wave nanoelectronics and RF switches using MoS2 2D Semiconductor. In Proceedings of the 2018 IEEE/MTT-S International Microwave Symposium—IMS, Philadelphia, PA, USA, 10–15 June 2018; pp. 352–354. [Google Scholar] [CrossRef]
- Yang, F.; Wu, X.; Guo, X.; Xu, Y. A design of SPDT switch using graphene device. In Proceedings of the 2015 IEEE International Symposium on Antennas and Propagation & USNC/URSI National Radio Science Meeting, Vancouver, BC, USA, 19–24 July 2015; pp. 1658–1659. [Google Scholar] [CrossRef]
- Pan, K.; Leng, T.; Zhang, X.; Hu, Z. Design and modeling of back gated graphene based RF switch with CPW transmission line on a high resistivity silicon substrate. In Proceedings of the 2017 10th UK-Europe-China Workshop on Millimetre Waves and Terahertz Technologies (UCMMT), Liverpool, UK, 11–13 September 2017; pp. 1–2. [Google Scholar] [CrossRef]
- Theofanopoulos, P.C.; Trichopoulos, G.C. Modeling of Sub-Millimeter Wave Coplanar Waveguide Graphene Switches. In Proceedings of the 2019 IEEE International Symposium on Antennas and Propagation and USNC-URSI Radio Science Meeting, Atlanta, GA, USA, 7–12 July 2019; pp. 1527–1528. [Google Scholar] [CrossRef]
- Theofanopoulos, P.C.; Trichopoulos, G.C. Modeling and Analysis of Terahertz Graphene Switches for On-Wafer Coplanar Transmission Lines. J. Infrared Millimeter Terahertz Waves 2020, 41, 758–775. [Google Scholar] [CrossRef]
- Sharma, P.; Perruisseau-Carrier, J.; Moldovan, C.; Ionescu, A.M.; Sharma, P.; Perruisseau-Carrier, J.; Moldovan, C.; Ionescu, A.M. Electromagnetic Performance of RF NEMS Graphene Capacitive Switches. IEEE Trans. Nanotechnol. 2013, 13, 70–79. [Google Scholar] [CrossRef]
- Sharma, P.; Perruisseau-Carrier, J.; Ionescu, A.M. Nanoelectromechanical microwave switch based on graphene. In Proceedings of the 2013 14th International Conference on Ultimate Integration on Silicon (ULIS), Coventry, UK, 19–21 March 2013; pp. 189–192. [Google Scholar] [CrossRef]
- Litun, Y.; Litun, V.; Kononenko, O.; Chichkov, M.; Borisenko, D. Technological Features of Graphene-based RF NEMS Capacitive Switches on a Semi-insulating Substrate. In Proceedings of the 2019 PhotonIcs & Electromagnetics Research Symposium—Spring (PIERS-Spring), Rome, Italy, 17–20 June 2019; pp. 3666–3672. [Google Scholar] [CrossRef]
- Fan, C.; Wu, B.; Hu, Y.; Zhao, Y.; Su, T. Millimeter-Wave Pattern Reconfigurable Vivaldi Antenna Using Tunable Resistor Based on Graphene. IEEE Trans. Antennas Propag. 2019, 68, 4939–4943. [Google Scholar] [CrossRef]
- Wu, B.; Zhang, Y.; Zu, H.; Fan, C.; Lu, W. Tunable Grounded Coplanar Waveguide Attenuator Based on Graphene Nanoplates. IEEE Microw. Wirel. Components Lett. 2019, 29, 330–332. [Google Scholar] [CrossRef]
- Zhang, A.-Q.; Liu, Z.-G.; Wei-Bing, L.; Chen, H. Graphene-Based Dynamically Tunable Attenuator on a Coplanar Waveguide or a Slotline. IEEE Trans. Microw. Theory Tech. 2018, 67, 70–77. [Google Scholar] [CrossRef]
- Zhang, A.-Q.; Liu, Z.-G.; Lu, W.-B.; Chen, H. Dynamically Tunable Attenuator on a Graphene-Based Microstrip Line. IEEE Trans. Microw. Theory Tech. 2018, 67, 746–753. [Google Scholar] [CrossRef]
- Island, J.O.; Kissin, P.; Schalch, J.; Cui, X.; Haque, S.R.U.; Potts, A.; Taniguchi, T.; Watanabe, K.; Averitt, R.D.; Young, A. On-chip terahertz modulation and emission with integrated graphene junctions. Appl. Phys. Lett. 2020, 116, 161104. [Google Scholar] [CrossRef] [Green Version]
- SSun, Z.; Martinez, A.; Wang, F. Optical modulators with 2D layered materials. Nat. Photon. 2016, 10, 227–238. [Google Scholar] [CrossRef] [Green Version]
- Pengelly, R.S.; Wood, S.M.; Milligan, J.W.; Sheppard, S.T.; Pribble, W.L. A Review of GaN on SiC High Electron-Mobility Power Transistors and MMICs. IEEE Trans. Microw. Theory Tech. 2012, 60, 1764–1783. [Google Scholar] [CrossRef]
- Wang, M.; Yang, E.-H. Terahertz Applications of Graphene. Handbook of Graphene; Harun, S.H., Ed.; Scrivener Publishing LLC: Beverly, MA, USA, 2019; Volume 8, pp. 341–358. [Google Scholar]
- Goniszewski, S.; Adabi, M.; Shaforost, O.; Hanham, S.; Hao, L.; Klein, N. Correlation of p-doping in CVD Graphene with Substrate Surface Charges. Sci. Rep. 2016, 6, 22858. [Google Scholar] [CrossRef] [PubMed]
- Ciuk, T.; Pasternak, I.; Krajewska, A.; Sobieski, J.; Caban, P.; Szmidt, J.; Strupinski, W. Properties of Chemical Vapor Deposition Graphene Transferred by High-Speed Electrochemical Delamination. J. Phys. Chem. C 2013, 117, 20833–20837. [Google Scholar] [CrossRef]
- Dub, M.; Sai, P.; Przewłoka, A.; Krajewska, A.; Sakowicz, M.; Prystawko, P.; Kacperski, J.; Pasternak, I.; Cywiński, G.; But, D.; et al. Graphene as a Schottky Barrier Contact to AlGaN/GaN Heterostructures. Materials 2020, 13, 4140. [Google Scholar] [CrossRef] [PubMed]
- Bogdan, G.; Godziszewski, K.; Yashchyshyn, Y.; Kim, C.H.; Hyun, S.-B. Time-Modulated Antenna Array for Real-Time Adaptation in Wideband Wireless Systems—Part I: Design and Characterization. IEEE Trans. Antennas Propag. 2019, 68, 6964–6972. [Google Scholar] [CrossRef]










| Structure | LG | Lgap | Lext | Lpad |
|---|---|---|---|---|
| E4 | 45 μm | 10 μm | 0 μm | 80 μm |
| E1 | 10 μm | 5 μm | 22.5 μm | 80 μm |
| G1 | 10 μm | 5 μm | 90 μm | 80 μm |
| Structure | Rise Time | Fall Time |
|---|---|---|
| E4 | 360 ns | 120 ns |
| E1 | 2900 ns | 1750 ns |
| G1 | 25 ns | 17 ns |
| Structure | State | R1 | C1 | R2 | R3 | C2 | C3 | R4 | R5 |
|---|---|---|---|---|---|---|---|---|---|
| E4 | ON | 0 Ω | 0 pF | 50 Ω | 320 Ω | 16 fF | 11.8 pF | 1 kΩ | 8 kΩ |
| OFF | ∞ | ||||||||
| E1 | ON | 160 Ω | 5.9 pF | 45 Ω | 72 Ω | 22 fF | 2.6 pF | 233 Ω | 8 MΩ |
| OFF | ∞ | ||||||||
| G1 | ON | 645 Ω | 24 pF | 45 Ω | 72 Ω | 22 fF | 2.6 pF | 233 Ω | 8 kΩ |
| OFF | ∞ |
| Ref. | Configuration | Max. Freq. (GHz) | Insertion Loss (dB) | Isolation (dB) | Rise/Fall Time (ns) | Control Voltage (V) | Driving Current (mA) | Validation of the Results |
|---|---|---|---|---|---|---|---|---|
| [19] | graphene shunt with graphene gate | 60.8 | 1.1 | 34.5 | n/a | 33 | ~0 (isolated gate) | simulation study |
| [20] | graphene shunt | 70 | 5 | >33 | n/a | 30 | n/a | simulation study |
| [23,24] | graphene NEMS shunt | 60 | 0.2 | >20 | n/a | 7 | ~0 (isolated membrane) | simulation study |
| [25] | graphene NEMS shunt | 110 | 1.2 | <15 | n/a | n/a | ~0 (isolated membrane) | simulation study |
| [27] | graphene shunt (attenuator) | 28 | 2.5 | 14 | n/a | 6 | 65 | measurement |
| [28] | graphene shunt (attenuator) | 40 | 3 | 11.5–15 | n/a | 4 | n/a | measurement |
| This work | 2DEG series circuit with graphene gate | 84 1 | 7.4–19.4 | 17.5–77 | 25/17 | 5 | ~0 (isolated gate) | measurement |
Publisher’s Note: MDPI stays neutral with regard to jurisdictional claims in published maps and institutional affiliations. |
© 2021 by the authors. Licensee MDPI, Basel, Switzerland. This article is an open access article distributed under the terms and conditions of the Creative Commons Attribution (CC BY) license (https://creativecommons.org/licenses/by/4.0/).
Share and Cite
Yashchyshyn, Y.; Bajurko, P.; Sobolewski, J.; Sai, P.; Przewłoka, A.; Krajewska, A.; Prystawko, P.; Dub, M.; Knap, W.; Rumyantsev, S.; et al. Graphene/AlGaN/GaN RF Switch. Micromachines 2021, 12, 1343. https://doi.org/10.3390/mi12111343
Yashchyshyn Y, Bajurko P, Sobolewski J, Sai P, Przewłoka A, Krajewska A, Prystawko P, Dub M, Knap W, Rumyantsev S, et al. Graphene/AlGaN/GaN RF Switch. Micromachines. 2021; 12(11):1343. https://doi.org/10.3390/mi12111343
Chicago/Turabian StyleYashchyshyn, Yevhen, Paweł Bajurko, Jakub Sobolewski, Pavlo Sai, Aleksandra Przewłoka, Aleksandra Krajewska, Paweł Prystawko, Maksym Dub, Wojciech Knap, Sergey Rumyantsev, and et al. 2021. "Graphene/AlGaN/GaN RF Switch" Micromachines 12, no. 11: 1343. https://doi.org/10.3390/mi12111343
APA StyleYashchyshyn, Y., Bajurko, P., Sobolewski, J., Sai, P., Przewłoka, A., Krajewska, A., Prystawko, P., Dub, M., Knap, W., Rumyantsev, S., & Cywiński, G. (2021). Graphene/AlGaN/GaN RF Switch. Micromachines, 12(11), 1343. https://doi.org/10.3390/mi12111343

