Mechanical Synchronization of MEMS Electrostatically Driven Coupled Beam Filters
Abstract
:1. Introduction
2. Design Problem for Coupled Beam Arrays
2.1. Electrostatic Synchronization
2.2. FEM Simulation
2.3. Dynamic Synchronization
3. Lumped Element Model
3.1. Resonant Modes of a Vibrating Beam
3.2. Lumped Element Model
3.3. Coupled Equations
3.4. Resonant Modes
4. Stiffness Matrix Model
4.1. Stiffness Matrix Model
4.2. Static Deflections
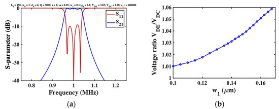
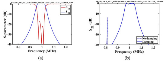
4.3. Frequency Responses
5. Conclusions
Author Contributions
Funding
Acknowledgments
Conflicts of Interest
References
- Adler, R. Compact electromechanical filters. Electronics 1947, 20, 100–105. [Google Scholar] [CrossRef]
- Roberts, W.V.B.; Burns, L.L. Mechanical filters for radio frequencies. RCA Rev. 1949, 10, 348–365. [Google Scholar]
- Lundgren, D.L. Electromechanical filters for single sideband applications. Proc. IRE 1956, 44, 1744–1749. [Google Scholar] [CrossRef]
- Hathaway, J.C.; Babcock, D.F. Survey of mechanical filters and their applications. Proc. IRE 1957, 45, 5–16. [Google Scholar] [CrossRef]
- Johnson, R.A.; Börner, M.; Konno, M. Mechanical filters—A review of progress. IEEE Trans. Sonics Ultrason. 1971, SU-18, 155–170. [Google Scholar] [CrossRef]
- Sheahan, D.F.; Johnson, R.A. Crystal and mechanical filters. IEEE Trans. Circuits Syst. 1975, CAS-22, 69–89. [Google Scholar] [CrossRef]
- Nathanson, H.C.; Wickstrom, R.A. A resonant-gate silicon surface transistor with high-Q bandpass properties. Appl. Phys. Lett. 1965, 7, 84–86. [Google Scholar] [CrossRef]
- Roszhart, T.V. The effect of thermoelastic friction on the Q of micro-machined silicon resonators. In Proceedings of the Technical Digest IEEE Solid-State Sensor Actuator Workshop, Hilton Head, SC, USA, 4–7 June 1990; pp. 13–16. [Google Scholar] [CrossRef]
- Blom, F.R.; Bouwstra, S.; Elwenspoek, M.; Fluitman, J.H.J. Dependence of the quality factor of micromachined silicon beam resonators on pressure and geometry. J. Vac. Sci. Technol. B 1992, 10, 19–26. [Google Scholar] [CrossRef] [Green Version]
- Zhang, X.; Tang, W.C. Viscous air damping in laterally driven micro-resonators. In Proceedings of the IEEE MEMS Conference, Oiso, Japan, 25–28 January 1994; pp. 199–204. [Google Scholar] [CrossRef]
- Yang, J.; Ono, T.; Esashi, M. Energy dissipation in submicrometer thick single-crystal silicon cantilevers. J. Microelectromech. Syst. 2002, 11, 775–783. [Google Scholar] [CrossRef]
- Srikar, V.T.; Senturia, S.D. Thermoelastic damping in fine-grained polysilicon flexural beam resonators. J. Microelectromech. Syst. 2002, 11, 499–504. [Google Scholar] [CrossRef]
- Tang, W.C.; Nguyen, T.-C.H.; Howe, R.T. Laterally driven polysilicon resonant microstructures. Sens. Actuators 1989, 20, 25–32. [Google Scholar] [CrossRef]
- Tang, W.C.; Nguyen, C.T.-C.; Judy, M.W. Electrostatic-comb drive of lateral polysilicon resonators. Sens. Actuators A 1990, 21, 328–331. [Google Scholar] [CrossRef]
- Wang, K.; Bannon, F.D.; Clark, H.R.; Nguyen, C.T.-C. Q-enhancement of microelectromechanical filters via low velocity spring coupling. In Proceedings of the IEEE Ultrasonics Symposium, Toronto, ON, Canada, 5–8 October 1997; pp. 323–332. [Google Scholar] [CrossRef] [Green Version]
- Lin, L.; Howe, R.T.; Pisano, A.P. Micromechanical filters for signal processing. J. Microelectromech. Syst. 1998, 7, 286–294. [Google Scholar] [CrossRef]
- Wang, K.; Nguyen, C.T.-C. High-order medium frequency micromechanical electronic filters. J. Microelectromech. Syst. 1999, 8, 534–556. [Google Scholar] [CrossRef] [Green Version]
- Nguyen, C.T.-C. Micromechanical resonators for oscillators and filters. In Proceedings of the IEEE Ultrasonics Symposium, Seattle, WA, USA, 7–10 November 1995; pp. 489–499. [Google Scholar] [CrossRef]
- Bannon, F.D.; Clark, J.R.; Nguyen, C.T.-C. High frequency microelectromechanical IF filters. In Proceedings of the Technical Digest IEEE Electron Devices Meeting, San Francisco, CA, USA, 8–11 December 1996; pp. 773–776. [Google Scholar] [CrossRef] [Green Version]
- Clark, J.R.; Bannon, F.D.; Wong, A.-C.; Nguyen, C.T.-C. Parallel-resonator HF micromechanical bandpass filters. In Proceedings of the Transducers Conference, Chicago, IL, USA, 16–19 June 1997; pp. 1161–1164. [Google Scholar] [CrossRef]
- Bannon, F.D.; Clark, J.R.; Nguyen, C.T.-C. High-Q HF microelectromechanical filters. IEEE J. Solid-State Circuits 2000, 35, 512–526. [Google Scholar] [CrossRef] [Green Version]
- Wang, K.; Wong, A.-C.; Nguyen, C.T.-C. VHF free-free beam high-Q micromechanical resonators. J. Microelectromech. Syst. 2000, 9, 347–360. [Google Scholar] [CrossRef] [Green Version]
- Li, S.-S.; Demirci, M.U.; Lin, Y.-W.; Rec, Z.; Nguyen, C.T.-C. Bridged micromechanical filters. In Proceedings of the IEEE Frequency Control Symposium and Exposition, Montreal, QC, Canada, 23–27 August 2004; pp. 144–150. [Google Scholar] [CrossRef]
- Li, M.-H.; Chen, W.-C.; Li, S.S. Mechanically coupled CMOS-MEMS free-free beam resonator arrays with enhanced power handling capability. IEEE Trans. Ultrason. Ferroelectr. Freq. Control 2012, 59, 346–356. [Google Scholar] [CrossRef] [PubMed]
- Naghsh Nilchi, J.; Liu, R.; Nguyen, C.T.-C. 7th order sharp-roll-off bridged micromechanical filter. In Proceedings of the Transducers Conference, Anchorage, AK, USA, 21–25 June 2015; pp. 137–140. [Google Scholar] [CrossRef]
- Galayko, D.; Kaiser, A.; Legrand, B.; Buchaillot, L.; Combi, C.; Collard, D. Coupled resonator micromechanical filters with voltage tunable bandpass characteristic in thick-film polysilicon technology. Sens. Actuators A 2006, 126, 227–240. [Google Scholar] [CrossRef]
- Hajhashemi, M.S.; Amini, A.; Bahreyni, B. A micromechanical bandpass filter with adjustable bandwidth and bidirectional control of centre frequency. Sens. Actuators A 2012, 187, 10–15. [Google Scholar] [CrossRef]
- Manav, M.; Reynen, G.; Sharma, M.; Cretu, E.; Phani, A.S. Ultrasensitive resonant MEMS transducers with tuneable coupling. J. Micromech. Microeng. 2014, 24, 055005. [Google Scholar] [CrossRef]
- Zhang, W.-M.; Hu, K.-M.; Peng, Z.-K.; Meng, G. Tunable micro- and nanomechanical resonators. Sensors 2015, 15, 26478–26566. [Google Scholar] [CrossRef] [Green Version]
- Al Hafiz, M.A.; Kosuru, L.; Hajjaj, Z.Z.; Younis, M.I. Highly tunable narrow bandpass MEMS filter. IEEE Trans. Electron Dev. 2017, 64, 3392–3398. [Google Scholar] [CrossRef]
- Galayko, D.; Kaiser, A.; Buchaillot, L.; Collard, D.; Combi, C. Microelectromechanical variable-bandwidth IF frequency filters with tunable electrostatic coupling spring. In Proceedings of the IEEE MEMS Conference, Kyoto, Japan, 19–23 January 2003; pp. 153–156. [Google Scholar] [CrossRef]
- Pourkamali, S.; Abdolvand, R.; Ayazi, F. A 600 kHz electrically-coupled MEMS bandpass filter. In Proceedings of the IEEE MEMS Conference, Kyoto, Japan, 19–23 January 2003; pp. 702–705. [Google Scholar] [CrossRef]
- Pourkamali, S.; Ayazi, F. Electrically-coupled MEMS bandpass filters: Part I. With coupling element. Sens. Actuators A 2005, 122, 307–316. [Google Scholar] [CrossRef] [Green Version]
- Pourkamali, S.; Ayazi, F. Electrically-coupled MEMS bandpass filters: Part II. Without coupling element. Sens. Actuators A 2005, 122, 317–325. [Google Scholar] [CrossRef] [Green Version]
- Verbiest, G.J.; Xu, D.; Goldsche, M.; Khodkov, T.; Barzanjeh, S.; von den Driesch, N.; Buca, D.; Stampfer, C. Tunable mechanical coupling between driven microelectromechanical resonators. Appl. Phys. Lett. 2016, 109, 143507. [Google Scholar] [CrossRef] [Green Version]
- Greywall, D.S.; Busch, P.A. Coupled micromechanical drumhead resonators with practical application as electromechanical bandpass filters. J. Micromech. Microeng. 2002, 12, 925–938. [Google Scholar] [CrossRef]
- Demirci, M.U.; Nguyen, C.T.C. Mechanically corner-coupled square microresonator array for reduced series motional resistance. J. Microelectromech. Syst. 2006, 15, 1419–1435. [Google Scholar] [CrossRef] [Green Version]
- Clark, J.R.; Pai, M.; Wissman, B.; He, G.; Hsu, W.-T. Parallel-coupled square-resonator micromechanical filter arrays. In Proceedings of the IEEE Int. Frequency Control Symposium and Exposition, Miami, FL, USA, 4–7 June 2006; pp. 485–490. [Google Scholar] [CrossRef]
- Chivukula, V.B.; Rhoads, J.F. Microelectromechanical bandpass filters based on cyclic coupling architectures. J. Sound Vibr. 2010, 329, 4313–4332. [Google Scholar] [CrossRef]
- Pachkawade, V.; Junghare, R.; Patrikar, R.; Kraft, M. Mechanically coupled ring-resonator filter and array (analytical and finite element model). IET Comput. Digit. Tech. 2016, 10, 261–267. [Google Scholar] [CrossRef] [Green Version]
- Chou, C.-Y.; Li, M.-H.; Chen, C.-Y.; Liu, C.-Y.; Li, S.-S. An innovative 3-D mechanically-coupled array design for MEMS resonator and oscillators. In Proceedings of the Transducers Conference, Kaohsiung, Taiwan, 18–22 June 2017; pp. 90–93. [Google Scholar] [CrossRef]
- Bouchaala, A.; Syms, R.R.A. New architectures for micromechanical coupled beam array filters. Microsyst. Technol. 2020, 27, 3377–3387. [Google Scholar] [CrossRef]
- Abdolvand, R.; Ho, G.K.; Ayazi, F. Poly-wire-coupled single crystal HARPSS micromechanical filters using oxide islands. In Proceedings of the Solid State Sensor, Actuator and Microsystems Workshop, Hilton Head, SC, USA, 6–10 June 2004; pp. 242–245. [Google Scholar]
- Arellano, N.; Quévy, E.P.; Provine, J.; Maboudian, R.; Howe, E.T. Silicon nanowire coupled micro-resonators. In Proceedings of the IEEE MEMS Conference, Tuczon, AZ, USA, 13–17 January 2008; pp. 721–724. [Google Scholar] [CrossRef]
- Liu, D.; Syms, R.R.A. NEMS by sidewall transfer lithography. IEEE J. Microelectromech. Syst. 2014, 23, 1366–1373. [Google Scholar] [CrossRef]
- Tasdemir, Z.; Wollschläger, N.; Österle, W.; Leblbici, Y.; Alaca, B.E. A deep etching mechanism for trench-bridging silicon nanowires. Nanotechnology 2016, 27, 095303. [Google Scholar] [CrossRef]
- Pourkamali, S.; Hashimura, A.; Abdolvand, R.; Ho, G.K.; Erbil, A.; Ayazi, F. High-Q single crystal silicon HARPSS capacitive beam resonators with self- aligned sub-100-nm transduction gaps. J. Microelectromech. Syst. 2003, 12, 487–496. [Google Scholar] [CrossRef] [Green Version]
- Kim, H.C.; Chun, K. Photo-assisted electrochemical etching of nano-gap trench with high aspect ratio for MEMS applications. J. Micromech. Microeng. 2006, 16, 906–913. [Google Scholar] [CrossRef]
- Mukakami, S.; Konno, M.; Ikehara, T.; Maeda, R.; Mihara, T. Fabrication of 150-nm-wide transducer gaps for disc-type resonators by single dry etching process. Jpn. J. Appl. Phys. 2010, 49, 06GN04. [Google Scholar] [CrossRef]
- Van Toan, N.G.; Toda, M.; Kawai, Y.; Ono, T. A capacitive silicon resonator with a movable electrode structure for gap width reduction. J. Micromech. Microeng. 2014, 24, 025006. [Google Scholar] [CrossRef]
- Zienkiewicz, O.C.; Taylor, R.L.; Zhu, J.Z. The Finite Element Method: Its Basis and Fundamentals; Butterworth Heinemann: Oxford, UK, 2013. [Google Scholar] [CrossRef]
- Senturia, S.D.; Harris, R.M.; Johnson, B.P.; Kim, S.; Nabors, K.; Shulman, M.A.; White, J.K. A computer-aided design system for microelectromechanical systems (MEMCAD). J. Microelectromech. Syst. 1992, 1, 3–13. [Google Scholar] [CrossRef]
- Gilbert, J.R.; Legtenberg, R.; Senturia, S.D. 3D coupled electro-mechanics: Applications of Co-Solve EM. In Proceedings of the IEEE MEMS Conference, Amsterdam, The Netherlands, 29 January–2 February 1995; pp. 122–127. [Google Scholar] [CrossRef] [Green Version]
- Livesey, R.K. Matrix Methods of Structural Analysis; Pergamon: Oxford, UK, 1964. [Google Scholar] [CrossRef]
- McGuire, W.; Gallagher, R.H.; Ziemian, R.D. Matrix Structural Analysis, 2nd ed.; John Wiley: New York, NY, USA, 2000. [Google Scholar] [CrossRef]
- Clark, J.V.; Zhou, N.; Pister, K.S.J. MEMS Simulation Using SUGAR v0.5. In Proceedings of the Solid-State Sensor and Actuator Workshop, Hilton Head, SC, USA, 8–11 June 1998; pp. 191–196. [Google Scholar]
- Clark, J.V.; Zhou, N.; Bindel, D.; Schenato, L.; Wu, W.; Demmel, J.; Pister, K.S.J. 3D MEMS simulation modeling using modified nodal analysis. In Proceedings of the Microscale Systems: Mechanics and Measurements Symposium, Orlando, FL, USA, 8 June 2000; pp. 68–75. [Google Scholar]
- Available online: https://uk.comsol.com (accessed on 6 September 2021).
- Hopcroft, M.A.; Nix, W.D.; Kenny, T.W. What is the Young’s modulus of silicon? J. Microelectromech. Syst. 2010, 19, 229–238. [Google Scholar] [CrossRef] [Green Version]
- Thomson, W.T. Theory of Vibration with Applications, 4th ed.; Prentice Hall: Englewood Cliffs, NJ, USA, 1993. [Google Scholar] [CrossRef]
- Available online: https://www.mathworks.com/products/matlab.html (accessed on 6 September 2021).








Publisher’s Note: MDPI stays neutral with regard to jurisdictional claims in published maps and institutional affiliations. |
© 2021 by the authors. Licensee MDPI, Basel, Switzerland. This article is an open access article distributed under the terms and conditions of the Creative Commons Attribution (CC BY) license (https://creativecommons.org/licenses/by/4.0/).
Share and Cite
Syms, R.; Bouchaala, A. Mechanical Synchronization of MEMS Electrostatically Driven Coupled Beam Filters. Micromachines 2021, 12, 1191. https://doi.org/10.3390/mi12101191
Syms R, Bouchaala A. Mechanical Synchronization of MEMS Electrostatically Driven Coupled Beam Filters. Micromachines. 2021; 12(10):1191. https://doi.org/10.3390/mi12101191
Chicago/Turabian StyleSyms, Richard, and Adam Bouchaala. 2021. "Mechanical Synchronization of MEMS Electrostatically Driven Coupled Beam Filters" Micromachines 12, no. 10: 1191. https://doi.org/10.3390/mi12101191
APA StyleSyms, R., & Bouchaala, A. (2021). Mechanical Synchronization of MEMS Electrostatically Driven Coupled Beam Filters. Micromachines, 12(10), 1191. https://doi.org/10.3390/mi12101191

