Experimental Investigation on Laser Assisted Diamond Turning of Binderless Tungsten Carbide by In-Process Heating
Abstract
1. Introduction
2. Thermal Field Analysis of Laser Heating
3. Experimental Approach
3.1. In-Process-Heat Laser Assisted Turning (In-LAT) Experiment Setup
3.2. Parameters Design
4. Results and Discussion
4.1. Effect of Test Parameters on Surface Roughness
4.1.1. Analysis of Variance
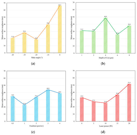
4.1.2. Analysis of the Signal-to-Noise Ratio and Mean Value
4.2. Mold Insert and Molded Glass Quality
4.2.1. Surface Finish
4.2.2. Form Error
5. Conclusions
Author Contributions
Funding
Acknowledgments
Conflicts of Interest
References
- Roeder, M.; Guenther, T.; Zimmermann, A. Review on Fabrication Technologies for Optical Mold Inserts. Micromachines 2019, 10, 233. [Google Scholar] [CrossRef] [PubMed]
- Yan, G.P.; Fang, F.Z. Fabrication of optical freeform molds using slow tool servo with wheel normal grinding. Cirp Ann. 2019, 68, 341–344. [Google Scholar] [CrossRef]
- Fähnle, O.; Doetz, M.; Dambon, O.; Klocke, F.; Vogt, C.; Rascher, R. Ductile mode single point diamond turning (SPDT) of binderless tungsten carbide molds. In Proceedings of the Optical Manufacturing and Testing XII, San Diego, CA, USA, 20–22 August 2018. [Google Scholar] [CrossRef]
- Doetz, M.; Dambon, O.; Klocke, F.; Fähnle, O. Influence of coolant on ductile mode processing of binderless nanocrystalline tungsten carbide through ultraprecision diamond turning. In Proceedings of the SPIE Optical Engineering + Applications, San Diego, CA, USA, 9–13 August 2015. [Google Scholar] [CrossRef]
- Wang, J.S.; Fang, F.Z.; Yan, G.P.; Guo, Y. Study on diamond cutting of ion implanted tungsten carbide with and without ultrasonic vibration. Nanomanuf. Metrol. 2019, 2, 177–185. [Google Scholar] [CrossRef]
- Fang, F.Z. Atomic and close-to-atomic scale manufacturing: Perspectives and measures. Int. J. Extrem. Manuf. 2020, 2, 030201. [Google Scholar] [CrossRef]
- Mathew, P.T.; Rodriguez, B.J.; Fang, F.Z. Atomic and Close-to-Atomic Scale Manufacturing: A Review on Atomic Layer Removal Methods Using Atomic Force Microscopy. Nanomanuf. Metrol. 2020, 16, 1–20. [Google Scholar] [CrossRef]
- You, K.Y.; Yan, G.P.; Luo, X.C.; Gilchrist, M.D.; Fang, F.Z. Advances in laser assisted machining of hard and brittle materials. J. Manuf. Process. 2020, 58, 677–692. [Google Scholar] [CrossRef]
- Song, H.W.; Dan, J.Q.; Li, J.L.; Du, J.; Xiao, J.F.; Xu, J.F. Experimental study on the cutting force during laser-assisted machining of fused silica based on the Taguchi method and response surface methodology. J. Manuf. Process. 2019, 38, 9–20. [Google Scholar] [CrossRef]
- Ravindra, D.; Ghantasala, M.K.; Patten, J. Ductile mode material removal and high-pressure phase transformation in silicon during micro-laser assisted machining. Precis. Eng. 2012, 36, 364–367. [Google Scholar] [CrossRef]
- Langan, S.M.; Ravindra, D.; Mann, A.B. Process parameter effects on residual stress and phase purity after microlaser-assisted machining of silicon. Mater. Manuf. Process. 2018, 33, 1578–1586. [Google Scholar] [CrossRef]
- Chen, X.; Liu, C.L.; Ke, J.Y.; Zhang, J.G.; Shu, X.W.; Xu, J.F. Subsurface damage and phase transformation in laser-assisted nanometric cutting of single crystal silicon. Mater. Des. 2020, 190, 108524. [Google Scholar] [CrossRef]
- Langan, S.M.; Ravindra, D.; Mann, A.B. Mitigation of damage during surface finishing of sapphire using laser-assisted machining. Precis. Eng. 2019, 56, 1–7. [Google Scholar] [CrossRef]
- Park, S.S.; Wei, Y.; Jin, X.L. Direct laser assisted machining with a sapphire tool for bulk metallic glass. CIRP Ann. 2018, 67, 193–196. [Google Scholar] [CrossRef]
- Kang, D.; Navare, J.; Su, Y.; Zaytsev, D.; Shahinian, H. Observations on Ductile Laser Assisted Diamond Turning of Tungsten Carbide. In Proceedings of the Freeform Optics, Washington, DC, USA, 10–12 June 2019. [Google Scholar] [CrossRef]
- Suthar, K.J.; Patten, J.; Dong, L.; Abdel-Aal, H. Estimation of Temperature Distribution in Silicon During Micro Laser Assisted Machining. In Proceedings of the ASME 2008 International Manufacturing Science and Engineering Conference collocated with the 3rd JSME/ASME International Conference on Materials and Processing, Evanston, IL, USA, 7–10 October 2008. [Google Scholar] [CrossRef]
- Li, J.F.; Li, L.; Stott, F.H. Comparison of volumetric and surface heating sources in the modeling of laser melting of ceramic materials. Int. J. Heat Mass Transf. 2004, 47, 1159–1174. [Google Scholar] [CrossRef]
- Shang, Z.D.; Liao, Z.R.; Sarasua, J.A.; Billingham, J.; Dragos, A. On modelling of laser assisted machining: Forward and inverse problems for heat placement control. Int. J. Mach. Tools Manuf. 2019, 138, 36–50. [Google Scholar] [CrossRef]
- Dai, H.F.; Li, S.B.; Chen, G.Y. Comparison of subsurface damages on mono-crystalline silicon between traditional nanoscale machining and laser-assisted nanoscale machining via molecular dynamics simulation. Nucl. Instrum. Methods Phys. Res. B 2018, 414, 61–67. [Google Scholar] [CrossRef]
- Kurgin, S.; Dasch, J.M.; Simon, D.L.; Zou, B.Q. Evaluation of the convective heat transfer coefficient for minimum quantity lubrication (MQL). Ind. Lubr. Tribol. 2012, 64, 376–386. [Google Scholar] [CrossRef]
- Romero, P.A.; Anciaux, G.; Molinari, A.; Molinari, J.F. Insights into the thermo-mechanics of orthogonal nanometric machining. Comput. Mater. Sci. 2013, 72, 116–126. [Google Scholar] [CrossRef]
- Fedoseev, D.V.; Vnukov, S.P.; Bukhovets, V.L.; Anikin, B.A. Surface graphitization of diamond at high temperatures. Surf. Coat. Technol. 1986, 28, 207–214. [Google Scholar] [CrossRef]
- Gilman, J.J. Insulator-metal transitions at microindentations. J. Mater. Res. 1992, 7, 535–538. [Google Scholar] [CrossRef]
- Fang, F.Z.; Wu, H.; Liu, Y.C. Modelling and experimental investigation on nanometric cutting of monocrystalline silicon. Int. J. Mach. Tools Manuf. 2005, 45, 1681–1686. [Google Scholar] [CrossRef]











| Parameters | Value |
|---|---|
| Laser wavelength (λ) | 1064 nm |
| Laser power (P) | 5 W, 10 W, 15 W, 20 W |
| Laser spot radius (r) | 85 μm |
| Laser translational velocity (f) | 1 mm/min |
| Workpiece material | Tungsten carbide |
| Rotation speed (n) | 2000 rev/min |
| Workpiece diameter | 4 mm |
| Workpiece thickness | 0.5 mm |
| Initial temperature (T0) | 293 K |
| Emissivity (ε) | 0.75 [19] |
| Absorptivity (δ) | 0.23 [21] |
| Convective heat transfer coefficient (h) | 300 W/(m2·K) [20] |
| Factors | Units | Levels of Factors | ||||
|---|---|---|---|---|---|---|
| Level 1 | Level 2 | Level 3 | Level 4 | Level 5 | ||
| Rake angle | ° | 0 | −15 | −25 | −35 | −45 |
| Depth of cut | μm | 1 | 2 | 4 | 6 | 8 |
| Feed rate | μm/rev | 0.5 | 1 | 2 | 3 | 4 |
| Laser power | W | 0 | 5 | 10 | 15 | 20 |
| Blank group | 1 | 2 | 3 | 4 | 5 | |
| Parameters | Description |
|---|---|
| Workpiece material | Binderless tungsten carbide |
| Rotation speed | 2000 rpm |
| Tool material | CVD monocrystalline diamond |
| Clearance angle | 10° |
| Nose radius | 0.3 mm |
| Laser spot radius | 85 μm |
| Laser position | Beam center coincides with tool tip |
| Cutting fluid | ISOPAR-H |
| Factors | Degree-of- Freedom | Sum-of- Squares | Mean-of- Squares | F-Value | p-Value | Contribution Rate |
|---|---|---|---|---|---|---|
| Rake angle | 4 | 7491.8 | 1872.9 | 5.36 | 0.021 | 48.85% |
| DoC | 4 | 1597.8 | 399.4 | 1.14 | 0.402 | 10.42% |
| Feed rate | 4 | 1238.6 | 309.6 | 0.89 | 0.514 | 8.08% |
| Laser power | 4 | 2211.8 | 552.9 | 1.58 | 0.269 | 14.42% |
| Error | 8 | 2795.5 | 349.4 | - | - | 18.23% |
| Total | 24 | 15335.4 | - | - | - | - |
| Control Factors | Resultant Surface Roughness | ||||||
|---|---|---|---|---|---|---|---|
| Level 1 | Level 2 | Level 3 | Level 4 | Level 5 | Delta | Row Rank | |
| Mean of S/N ratio (dB) | |||||||
| Rake angle | −26.22 | −28.08 | −24.86 | −29.88 | −36.15 | 11.30 | 1 |
| DoC | −28.26 | −29.01 | −31.98 | −26.70 | −29.23 | 5.28 | 2 |
| Feed rate | −28.86 | −25.75 | −30.08 | −30.36 | −30.14 | 4.61 | 3 |
| Laser power | −28.76 | −27.77 | −27.04 | −30.05 | −31.56 | 4.52 | 4 |
| Blank group | −30.48 | −29.63 | −28.26 | −29.45 | −27.36 | 3.12 | 5 |
| Mean of surface roughness (nm) | |||||||
| Rake angle | 21.00 | 28.40 | 18.80 | 39.80 | 66.20 | 47.40 | 1 |
| DoC | 31.20 | 30.40 | 48.80 | 25.80 | 38.00 | 23.00 | 3 |
| Feed rate | 34.80 | 22.80 | 33.60 | 44.00 | 39.00 | 21.20 | 4 |
| Laser power | 33.00 | 27.20 | 25.40 | 36.80 | 51.80 | 26.40 | 2 |
| Blank group | 46.4 | 33.20 | 27.80 | 32.80 | 34.00 | 18.60 | 5 |
Publisher’s Note: MDPI stays neutral with regard to jurisdictional claims in published maps and institutional affiliations. |
© 2020 by the authors. Licensee MDPI, Basel, Switzerland. This article is an open access article distributed under the terms and conditions of the Creative Commons Attribution (CC BY) license (http://creativecommons.org/licenses/by/4.0/).
Share and Cite
You, K.; Fang, F.; Yan, G.; Zhang, Y. Experimental Investigation on Laser Assisted Diamond Turning of Binderless Tungsten Carbide by In-Process Heating. Micromachines 2020, 11, 1104. https://doi.org/10.3390/mi11121104
You K, Fang F, Yan G, Zhang Y. Experimental Investigation on Laser Assisted Diamond Turning of Binderless Tungsten Carbide by In-Process Heating. Micromachines. 2020; 11(12):1104. https://doi.org/10.3390/mi11121104
Chicago/Turabian StyleYou, Kaiyuan, Fengzhou Fang, Guangpeng Yan, and Yue Zhang. 2020. "Experimental Investigation on Laser Assisted Diamond Turning of Binderless Tungsten Carbide by In-Process Heating" Micromachines 11, no. 12: 1104. https://doi.org/10.3390/mi11121104
APA StyleYou, K., Fang, F., Yan, G., & Zhang, Y. (2020). Experimental Investigation on Laser Assisted Diamond Turning of Binderless Tungsten Carbide by In-Process Heating. Micromachines, 11(12), 1104. https://doi.org/10.3390/mi11121104

