Analytical Solution of Mixed Electroosmotic/Pressure Driven Flow of Viscoelastic Fluids between a Parallel Flat Plates Micro-Channel: The Maxwell Model Using the Oldroyd and Jaumann Time Derivatives
Abstract
1. Introduction
2. Problem Formulation
2.1. Physical Model Description
- The flow is laminar and fully developed, .
- The fluid is incompressible.
- The fluid properties are constant. The temperature change of the fluid is less than 10 K [12] and throughout the flow domain, the temperature is uniform.
- The electrical double layers, do not overlap .
- The electrolyte is symmetric, .
- For the Poisson–Boltzmann solution, the electric potential in the vicinity of the wall is, mV; therefore, the Debye–Hückel linearization can be used.
2.2. Governing and Constitutive Equations
2.3. Poisson–Boltzmann Equation
2.4. Constitutive Equation
2.5. Cauchy Momentum Equation
2.6. Dimensionless Equations
2.7. Approximate Solution
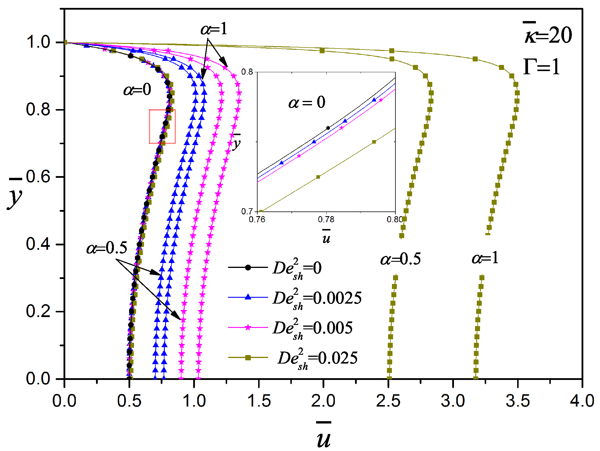
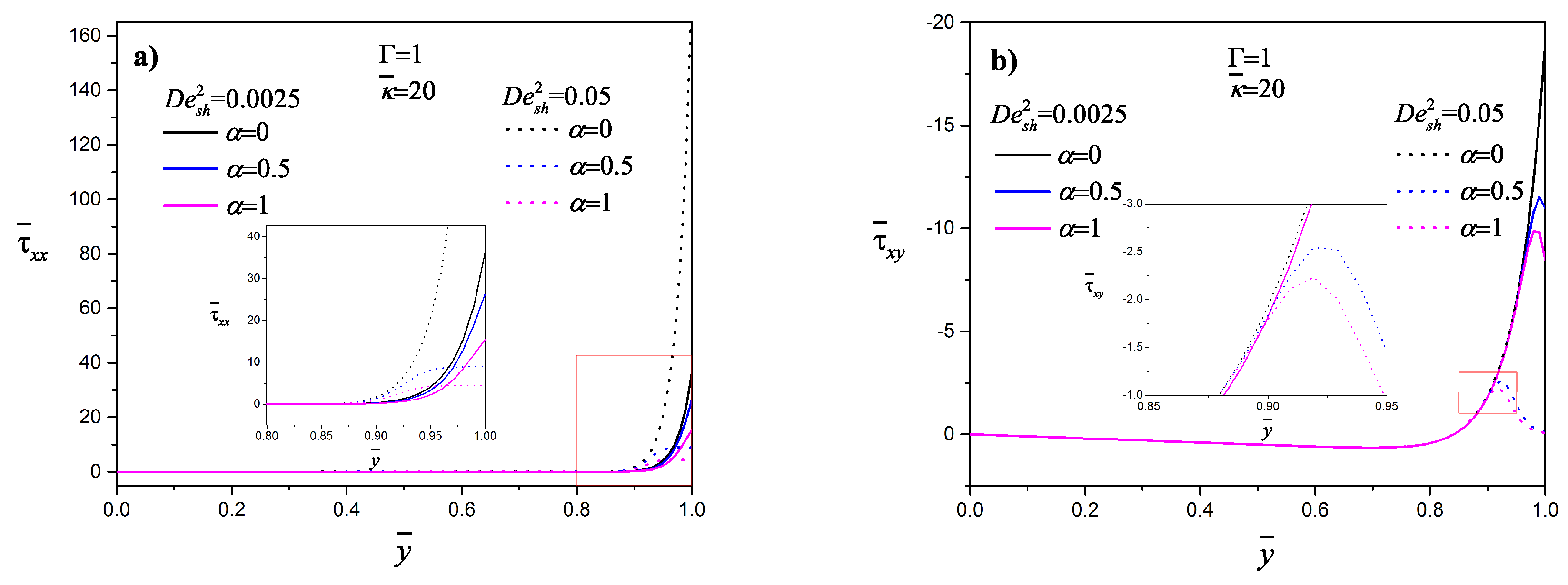
3. Results and Discussion
4. Conclusions
- The model was compared and validated with results published in the specialized literature.
- The approximate solution is only valid for low viscoelastic fluids.
- The approximate solution adequately captures the physics of the problem; it can be adjusted with experimental data of a specific viscoelastic fluid.
- The electrokinetic parameter changes the velocity profile, lower for Poiseuille-like and higher for plug-like flow, as is reported by other models.
- Higher values of lead to thinner EDL and consequently higher velocity gradients.
- The direction of gradient pressure modifies the velocity profile to concave or convex, as reported in the literature.
- An increment of the viscoelasticity fluid generates an increase of the velocity and the flow rate.
- The presence of the shear and normal stresses is only close to the wall.
- The configurational parameter performs the same function as the viscosity ratio used in other models; this parameter directly affects the velocity field magnitude.
- For practical applications, the volumetric flow rate can be controlled with two parameters, namely the gradient pressure and the electrokinetic parameter, once the fluid has been rheologically characterized.
Author Contributions
Funding
Acknowledgments
Conflicts of Interest
Nomenclature
| Deborah number | |
| e | electron charge, 1.602 × 10 C | 
| external electric field, Vm | |
| H | microchannel half-height, m | 
| Boltzmann constant, 1.381 × 10 JK | |
| L | microchannel length, m | 
| ionic density, m | |
| first normal stress difference, kgms | |
| p | pressure, kgms | 
| t | time, s | 
| T | absolute temperature, K | 
| u | axial velocity, ms | 
| Helmholtz-Smoluchowski electroosmotic velocity, ms | |
| x | axial coordinate, m | 
| y | transverse coordinate, m | 
| z | valence of the ions | 
| dimensionless flow rate | |
| dimensionless fluid axial velocity | |
| dimensionless transverse coordinate | |
| rate of deformation tensor, s | |
| electric field vector, Vm | |
| unit tensor | |
| velocity vector, ms | |
| vorticity tensor | |
| extra stress tensor, kgms | |
| total stress tensor, kgms | |
| total electric potential, V | |
| configurational parameter | |
| dimensionless axial coordinate | |
| zero-shear-rate viscosity, kgms | |
| ratio of pressure to electroosmotic driving forces | |
| Debye length, m | |
| Debye–Hückel parameter, m | |
| relaxation time, s | |
| external electric potential, V | |
| electric potential, V | |
| first normal stress coefficient, kgms | |
| fluid density, kgm | |
| electric charge density, Cm | |
| normal stresses, kgms | |
| shear stress, kgms | |
| dielectric permittivity, CVm | |
| zeta potential in the shear plane of the electric double layer, V | |
| shear rate, s | |
| ratio of the microchannel half-height to the Debye length | |
| dimensionless normal stresses | |
| dimensionless shear stress | |
| ∇ | codeformational time derivative | 
| ∘ | corotational time derivative | 
| ⋄ | configurational time derivative | 
| refers to Helmholtz-Smoluchowski | |
| x | refers to the axial coordinate | 
| 0 | indicates reference conditions | 
References
- Kuznetsov, I.A. Microfluidics: Theory and Applications; Nova Science Publishers, Inc.: Hauppauge, NY, USA, 2010. [Google Scholar]
- Masliyah, J.H.; Bhattacharjee, S. Electrokinetic and Colloid Transport Phenomena; Wiley-Interscience: Hoboken, NJ, USA, 2006. [Google Scholar]
- Probstein, R.F. Physicochemical Hydrodynamics: An Introduction; Wiley-Interscience: Hoboken, NJ, USA, 1994. [Google Scholar]
- Kirby, B.J.; Hasselbrink, E.F. Zeta potential of microfluidic substrates: 1. Theory, experimental techniques, and effects on separations. Electrophoresis 2004, 25, 187–202. [Google Scholar] [CrossRef] [PubMed]
- Karniadakis, G.; Beskok, A.; Aluru, N. Microflows and Nanoflows. Fundamentals and Simulation; Springer: Berlin/Heidelberg, Germany, 2005. [Google Scholar]
- Li, D. Encyclopedia of Microfluidics and Nanofluidics; Springer: Berlin/Heidelberg, Germany, 2008. [Google Scholar]
- Tang, G.Y.; Yang, C.; Chai, C.K.; Gong, H.Q. Numerical analysis of the thermal effect on electroosmotic flow and electrokinetic mass transport in microchannels. Anal. Chim. Acta 2004, 507, 27–37. [Google Scholar] [CrossRef]
- Xuan, X.; Sinton, D.; Li, D. Thermal end effects on electroosmotic flow in a capillary. Int. J. Heat Mass Transf. 2004, 47, 3145–3157. [Google Scholar] [CrossRef]
- Sánchez, S.; Méndez, F.; Martínez-Suástegui, L.; Bautista, O. Asymptotic analysis for the conjugate heat transfer problem in an electroosmotic flow with temperature-dependent properties in a capillary. Int. J. Heat Mass Transf. 2012, 55, 8163–8171. [Google Scholar]
- Das, S.; Chakraborty, S. Analytical solutions for velocity, temperature and concentration distribution in electroosmotic microchannel flows of a non-Newtonian bio-fluid. Anal. Chim. Acta 2006, 559, 15–24. [Google Scholar] [CrossRef]
- Maynes, D.; Webb, B.W. The effect of viscous dissipation in thermally fully-developed electroosmotic heat transfer in microchannels. Int. J. Heat Mass Transf. 2004, 47, 987–999. [Google Scholar] [CrossRef]
- Chen, C.H. Thermal Transport characteristics of mixed pressure and electroosmotically driven flow in micro- and nanochannels with Joule heating. J. Heat Trans T. ASME 2009, 131, 022401. [Google Scholar] [CrossRef]
- Berli, C.L.A.; Olivares, M.L. Electrokinetic flow of non-Newtonian fluids in microchannels. J. Colloid Inteface Sci. 2008, 320, 582–589. [Google Scholar] [CrossRef]
- Sánchez, S.; Arcos, J.; Bautista, O.; Méndez, F. Joule heating effect on a purely electroosmotic flow of non-Newtonian fluids in a slit microchannel. J. Non-Newton. Fluid Mech. 2013, 192, 1–9. [Google Scholar]
- Zhao, C.; Zholkovskij, E.; Masliyah, J.H.; Yang, C. Analysis of electroosmotic flow of power-law fluids in a slit microchannel. J. Colloid Inteface Sci. 2008, 326, 503–510. [Google Scholar] [CrossRef]
- Babaie, A.; Sadeghi, A.; Saidi, M.H. Combined electroosmotically and pressure driven flow of power-law fluids in a slit microchannel. J. Non-Newton. Fluid Mech. 2011, 166, 792–798. [Google Scholar] [CrossRef]
- Zhao, C.; Yang, C. Electrokinetics of non-Newtonian fluids: A review. Adv. Colloid Interface Sci. 2013, 201–202, 94–108. [Google Scholar] [CrossRef]
- Hadigol, M.; Nosrati, R.; Raisee, M. Numerical analysis of mixed electroosmotic/pressure driven flow of power-law fluids in microchannels and micropumps. Colloids Surf. A Physicochem. Eng. Asp. 2011, 374, 142–153. [Google Scholar] [CrossRef]
- Chen, C.-H. Fully-developed thermal transport in combined electroosmotic and pressure driven flow of power-law fluids in microchannels. Int. J. Heat Mass Transf. 2012, 55, 2173–2183. [Google Scholar] [CrossRef]
- Vasu, N.; De, S. Electroosmotic flow of power-law fluids at high zeta potentials. Colloids Surf. A Physicochem. Eng. Asp. 2010, 368, 44–52. [Google Scholar] [CrossRef]
- Babaie, A.; Saidi, M.H.; Sadeghi, A. Heat transfer characteristics of mixed electroosmotic and pressure driven flow of power-law fluids in a slit microchannel. Int. J. Heat Mass Transf. 2012, 53, 71–79. [Google Scholar] [CrossRef]
- Zhao, C.; Yang, C. An exact solution for electroosmosis of non-Newtonian fluids in microchannels. J. Non-Newton. Fluid Mech. 2011, 166, 1076–1079. [Google Scholar] [CrossRef]
- Afonso, A.M.; Alves, M.A.; Pinho, F.T. Analytical solution of mixed electroosmotic/pressure driven flows of viscoelastic fluids in microchannels. J. Non-Newton. Fluid Mech. 2009, 159, 50–63. [Google Scholar] [CrossRef]
- Park, H.M.; Lee, W.M. Helmholtz-Smoluchowski velocity for viscoelastic electroosmotic flows. J. Colloid Inteface Sci. 2008, 317, 631–636. [Google Scholar] [CrossRef]
- Dhinakaran, S.; Afonso, A.M.; Alves, M.A.; Pinho, F.T. Steady viscoelastic fluid flow between parallel plates under electroosmotic forces: Phan-Thien-Tanner model. J. Colloid Inteface Sci. 2010, 344, 513–520. [Google Scholar] [CrossRef]
- Escandón, J.P.; Bautista, O.; Méndez, F.; Bautista, E. Theoretical conjugate heat transfer analysis in a parallel flat plate microchannel under electroosmotic and pressure forces with a Phan-Thien-Tanner fluid. Int. J. Therm. Sci. 2011, 50, 1022–1030. [Google Scholar]
- Xuan, X.; Li, D. Joule heating in Electrokinetic Flow: Theorical Models; Springer: Berlin/Heidelberg, Germany, 2015. [Google Scholar]
- Sadek, S.H.; Pinho, F.T. Electroosmotic oscillatory flow of viscoelastic fluids in a microchannel. J. Non-Newton. Fluid Mech. 2019, 266, 46–58. [Google Scholar] [CrossRef]
- Tang, G.Y.; Yang, C.; Chai, J.C.; Gong, H.Q. Joule heating effect on electroosmotic flow and mass species transport in microcapillary. Int. J. Heat Mass Transf. 2004, 47, 215–227. [Google Scholar] [CrossRef]
- Dey, M.; Joo, S.W. Joule heating induced interfacial instabilities in free-surface electroosmotic flows. Int. J. Heat Mass Transf. 2015, 87, 295–302. [Google Scholar] [CrossRef]
- Shamloo, A.; Mirzakhanloo, M.; Dabirzadeh, M.R. Numerical simulation for efficient mixing of Newtonian and non-Newtonian fluids in an electroosmotic micro-mixer. Chem. Eng. Process. 2016, 107, 11–20. [Google Scholar] [CrossRef]
- Tatlsoz, M.M.; Canpolat, C. Pulsatile flow micromixing coupled with ICEO for non-Newtonian fluids. Chem. Eng. Process. 2018, 131, 12–19. [Google Scholar] [CrossRef]
- Misra, J.C.; Sinha, A. Electroosmotic flow and heat transfer of a non-Newtonian fluid in a hydrophobic microchannel with Navier slip. J. Hydrodyn. 2015, 27, 647–657. [Google Scholar] [CrossRef]
- Misra, J.C.; Chandra, S. Electroosmotic flow of a second-grade fluid in a porous microchannel subject to an AC electric field. J. Hydrodyn. 2013, 25, 309–316. [Google Scholar] [CrossRef]
- Matías, A.; Sánchez, S.; Méndez, F.; Bautista, O. Influence of slip wall effect on a non-isothermal electroosmotic flow of a viscoelastic fluid. Int. J. Therm. Sci. 2015, 98, 352–363. [Google Scholar]
- Tang, G.; Yan, D.; Yang, C.; Gong, H.; Chai, C.; Lam, Y. Joule heating and its effects on electrokinetic transport of solutes in rectangular microchannels. Sens. Actuator A Phys. 2007, 139, 221–232. [Google Scholar] [CrossRef]
- Akgul, M.B.; Pakdemirli, M. Analytical and numerical solutions of electroosmotically driven flow of a third grade fluid between micro-parallel plates. Int. J. Nonlinear Mech. 2008, 43, 985–992. [Google Scholar] [CrossRef]
- Bird, R.B.; Hassager, O.; Abdel-Khalik, S. Co-rotational rheological models and the Goddard expansion. AIChE J. 1974, 20, 1041–1066. [Google Scholar] [CrossRef]
- Astarita, G.; Marrucci, G. Principles of Non-Newtonian Fluid Mechanics; McGraw-Hill: New York, NY, USA, 1974. [Google Scholar]
- Middleman, S. Fundamentals of Polymer Processing; McGraw-Hill: New York, NY, USA, 1977. [Google Scholar]
- Liu, Q.-S.; Jian, Y.-J.; Yang, L.-G. Time periodic electroosmotic flow of the generalized Maxwell fluids between two micro-parallel plates. J. Non-Newton. Fluid Mech. 2011, 166, 478–486. [Google Scholar] [CrossRef]
- Escandón, J.; Jiménez, E.; Hernández, C.; Bautista, O.; Méndez, F. Transient electroosmotic flow of Maxwell fluids in a slit microchannel with asymmetric zeta potentials. Eur. J. Mech. B Fluids 2015, 53, 180–189. [Google Scholar]
- Li, X.-X.; Yin, Z.; Jian, Y.-J.; Chang, L.; Su, J.; Liu, Q.-S. Transient electroosmotic flow of generalized Maxwell fluids through a microchannel. J. Non-Newton. Fluid Mech. 2012, 187–188, 43–47. [Google Scholar] [CrossRef]
- Wang, S.; Zhao, M.; Li, X. Transient electroosmotic flow of generalized Maxwell fluids in a straight pipe of circular cross section. Cent. Eur. J. Phys. 2014, 12, 445–451. [Google Scholar]
- Jian, Y.-J.; Liu, Q.-S.; Yang, L.-G. A–C electroosmotic flow of generalized Maxwell fluids in a rectangular microchannel. J. Non-Newton. Fluid Mech. 2011, 166, 1304–1314. [Google Scholar] [CrossRef]
- Jiménez, E.; Escandón, J.; Bautista, O.; Méndez, F. Start-up electroosmotic flow of Maxwell fluids in a rectangular microchannel with high zeta potentials. J. Non-Newton. Fluid Mech. 2016, 227, 17–29. [Google Scholar]
- Zhao, C.; Yang, C. Exact solutions for electroosmotic flow of viscoelastic fluids in rectangular micro-channels. J. Non-Newton. Fluid Mech. 2009, 211, 502–509. [Google Scholar]
- Sadeghi, A.; Saidi, M.H.; Mozafari, A.A. Heat transfer due to electroosmotic flow of viscoelastic fluids in a slit microchannel. Int. J. Heat Mass Transf. 2011, 54, 4069–4077. [Google Scholar] [CrossRef]
- Afonso, A.M.; Alves, M.A.; Pinho, F.T. Electroosmotic flow of viscoelastic fluids in microchannels under asymmetric zeta potentials. J. Eng. Math. 2011, 71, 15–30. [Google Scholar] [CrossRef]
- Zimmerman, W.B.; Rees, J.M.; Craven, T.J. Rheometry of non-Newtonian electrokinetic flow in a microchannel T-junction. Microfluid. Nanofluid. 2006, 2, 481–492. [Google Scholar] [CrossRef]
- Ferrás, L.L.; Cavadas, A.S.; Resende, P.R.; Afonso, A.M.; Pinho, F.T. Effect of the solvent viscosity on pure electroosmotic flow of viscoelastic fluids. J. Non-Newton. Fluid Mech. 2018, 259, 125–129. [Google Scholar]
- Song, L.; Jagdale, P.; Yu, L.; Liu, Z.; Li, D.; Zhang, C.; Xuan, X. Electrokinetic instability in microchannel viscoelastic fluid flows with conductivity gradients. Phys. Fluids 2019, 31, 082001. [Google Scholar]
- Ko, C.-H.; Malekanfard, A.; Wang, Y.-N.; Fu, L.-M.; Xuan, X. Electroosmotic flow of non-Newtonian fluids in a constriction microchannel. Electrophoresis 2018, 40, 1387–1394. [Google Scholar] [CrossRef]
- Mukherjee, S.; Das, S.S.; Dhar, J.; Chakraborty, S.; DasGupta, S. Electroosmosis of viscoelastic fluids: Role of wall depletion layer. Langmuir 2017, 33, 12046–12055. [Google Scholar] [CrossRef]
- Pimenta, F.; Alves, M.A. Electro-elastic instabilities in cross-shaped microchannels. J. Non-Newton. Fluid Mech. 2018, 259, 61–77. [Google Scholar] [CrossRef]
- Bello, M.S.; Besi, P.; Rezzonico, R.; Righetti, P.G.; Casiraghi, E. Electroosmosis of polymer solutions in fused silica capillaries. Electrophoresis 1994, 15, 623–626. [Google Scholar] [CrossRef]
- Olivares, M.L.; Vera-Candioti, L.; Berli, C.L.A. The EOF of polymer solutions. Electrophoresis 2009, 30, 921–929. [Google Scholar] [CrossRef]
- Huang, Y.; Chen, J.; Wong, T.N.; Liow, J.-L. Experimental and theoretical investigations of non-Newtonian electroosmotic driven flow in rectangular microchannels. Soft Matter 2016, 12, 6206–6213. [Google Scholar] [CrossRef]
- Lu, X. Particle Transport Phenomena in Non-Newtonian Microfluidics. Ph.D. Thesis, Clemson University, Clemson, SC, USA, 2016; p. 1716. [Google Scholar]
- Berli, C.L.A. Output pressure and efficiency of electrokinetic pumping of non-Newtonian fluids. Microfluid. Nanofluid. 2010, 8, 197–207. [Google Scholar] [CrossRef]
- Boyko, E.; Bercovici, M.; Gat, A.D. Flow of power-law liquids in a Hele-Shaw cell driven by non-uniform electroosmotic slip in the case of strong depletion. J. Fluid Mech. 2016, 807, 235–257. [Google Scholar] [CrossRef][Green Version]
- Mei, L.; Qian, S. Electroosmotic flow of viscoelastic fluid in a nanochannel connecting two reservoirs. Micromachines 2019, 10, 747. [Google Scholar] [CrossRef] [PubMed]
- Dutta, P.; Beskok, A. Analytical solution of combined electroosmotic/pressure driven flows in two-dimensional straight channels: Finite Debye layer effects. Anal. Chem. 2001, 73, 1979–1986. [Google Scholar] [CrossRef]









| Variables | Oldroyd | Jaumann | Configurational (Mixed) | 
|---|---|---|---|
| 0 | |||
| Publisher’s Note: MDPI stays neutral with regard to jurisdictional claims in published maps and institutional affiliations. | 
© 2020 by the authors. Licensee MDPI, Basel, Switzerland. This article is an open access article distributed under the terms and conditions of the Creative Commons Attribution (CC BY) license (http://creativecommons.org/licenses/by/4.0/).
Share and Cite
Casas, L.; Ortega, J.A.; Gómez, A.; Escandón, J.; Vargas, R.O. Analytical Solution of Mixed Electroosmotic/Pressure Driven Flow of Viscoelastic Fluids between a Parallel Flat Plates Micro-Channel: The Maxwell Model Using the Oldroyd and Jaumann Time Derivatives. Micromachines 2020, 11, 986. https://doi.org/10.3390/mi11110986
Casas L, Ortega JA, Gómez A, Escandón J, Vargas RO. Analytical Solution of Mixed Electroosmotic/Pressure Driven Flow of Viscoelastic Fluids between a Parallel Flat Plates Micro-Channel: The Maxwell Model Using the Oldroyd and Jaumann Time Derivatives. Micromachines. 2020; 11(11):986. https://doi.org/10.3390/mi11110986
Chicago/Turabian StyleCasas, Laura, José A. Ortega, Aldo Gómez, Juan Escandón, and René O. Vargas. 2020. "Analytical Solution of Mixed Electroosmotic/Pressure Driven Flow of Viscoelastic Fluids between a Parallel Flat Plates Micro-Channel: The Maxwell Model Using the Oldroyd and Jaumann Time Derivatives" Micromachines 11, no. 11: 986. https://doi.org/10.3390/mi11110986
APA StyleCasas, L., Ortega, J. A., Gómez, A., Escandón, J., & Vargas, R. O. (2020). Analytical Solution of Mixed Electroosmotic/Pressure Driven Flow of Viscoelastic Fluids between a Parallel Flat Plates Micro-Channel: The Maxwell Model Using the Oldroyd and Jaumann Time Derivatives. Micromachines, 11(11), 986. https://doi.org/10.3390/mi11110986
 
        



 
       