Roll Angular Rate Measurement for High Spinning Projectiles Based on Redundant Gyroscope System
Abstract
1. Introduction
2. Effect of Gyroscope Random Error on Angular Rate Accuracy
2.1. Conventional Random Error Model of Gyroscope
2.2. Problem Formulation
3. The Proposed Roll Angular Rate Measurement Method
3.1. ARIMA Model
3.2. Improved Gyroscope Random Error Model for High Spinning Projectiles
3.3. Sage-Husa Adaptive Kalman Filter Design
4. Simulation and Experiment Results
4.1. Performance Assessment in Static
4.2. Performance Assessment in Dynamic
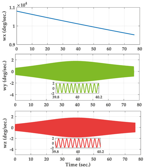
4.2.1. Performance Analysis Using Simulation Data
4.2.2. Performance Analysis Using Experimental Data
5. Conclusions
- In order to update the attitude of projectile by using angular rate information measured by gyroscope in real time, the accuracy of sensor should be high enough, and the higher it is, the smaller the error of attitude angle of projectile is.
- The optimal geometric layout of gyroscopes of the inertial measurement unit (IMU) suitable for the high dynamic of high-spin projectiles is designed. In this configuration method, the output angular rate model of redundant gyroscope system based on ARIMA is established, and then the conventional random error model is improved with the ARIMA model. The maximum amount of accuracy can be extracted from a given number of redundant single-degree-of-freedom gyroscopes with optimal geometric configurations.
- The SHAKF algorithm is designed to suppress the time-varying process and measurement noise under the flight condition of the high dynamic of the projectile. It can reduce noise and minimize bias instability. In addition, the robustness of the system is also enhanced.
Author Contributions
Funding
Conflicts of Interest
References
- Hahn, P.V.; Frederick, R.A.; Slegers, N. Predictive Guidance of a Projectile for Hit-to-Kill Interception. IEEE Trans. Control Syst. Technol. 2009, 17, 745–755. [Google Scholar] [CrossRef]
- Johansson, F.; Falkman, G. Real-time allocation of defensive resources to rockets, artillery, and mortars. In Proceedings of the 2010 13th International Conference on Information Fusion, Edinburgh, UK, 26–29 July 2010; pp. 1–8. [Google Scholar]
- Anichkina, T.; Péczeli, A.; Roth, N. The future of US–Russian nuclear deterrence and arms control. Bull. At. Sci. 2017, 73, 271–278. [Google Scholar] [CrossRef]
- Teruo, M.; Kazuhiro, N.; Yoshinori, S.; Seido, Y. Artificial cartilage with optimum adsorbed films for low wear and low friction. J. Biol. Chem. 2010, 283, 8756–8764. [Google Scholar]
- Liu, F.; Su, Z.; Zhao, H.; Chao, Q. Attitude Measurement for High-Spinning Projectile with a Hollow MEMS IMU Consisting of Multiple Accelerometers and Gyros. Sensors 2019, 19, 1799. [Google Scholar] [CrossRef]
- Xu, G.Y.; Liao, P.C. Spinning missile attitude estimation system based on the sun vector and MEMS. In Proceedings of the 2016 Sixth International Conference on Instrumentation & Measurement, Computer, Communication and Control (IMCCC), Harbin, China, 21–23 July 2016; pp. 394–399. [Google Scholar]
- Peng-wei, D.; Zhi-xue, L.; Zhi-hua, G.; Xue-bing, L.; Li-tao, D. Extracting method of projectile spin speed based on hilbert-huang transform. In Proceedings of the 2015 Joint International Mechanical, Electronic and Information Technology Conference (JIMET-15), Chongqing, China, 18–20 December 2015. [Google Scholar]
- Xu, M.; Bu, X.; Yu, J.; He, Z. Spinning Projectile’s Attitude Measurement with LW Infrared Radiation under Sea-sky Background. Infrared Phys. Technol. 2018, 90, 214–220. [Google Scholar] [CrossRef]
- Deng, Z.; Shen, Q.; Deng, Z. Roll angle measurement for a spinning vehicle based on GPS signals received by a single-patch antenna. Sensors 2018, 18, 3479. [Google Scholar] [CrossRef] [PubMed]
- Zhou, Y.; Zhang, X.; Xiao, W. Spinning projectile’s angular measurement using crest and trough data of a geomagnetic sensor. Meas. Sci. Technol. 2018, 29, 095007. [Google Scholar] [CrossRef]
- Combettes, C.; Changey, S.; Adam, R.; Pecheur, E. Attitude and velocity estimation of a projectile using low cost magnetometers and accelerometers. In Proceedings of the 2018 IEEE/ION Position, Location and Navigation Symposium (PLANS), Monterey, CA, USA, 23–26 April 2018; pp. 650–657. [Google Scholar]
- Abruzzo, B.A.; Recchia, T.G. Online calibration of inertial sensors for range correction of spinning projectiles. J. Guid. Control Dyn. 2016, 39, 1918–1924. [Google Scholar] [CrossRef]
- Xiang, C.; Bu, X.Z.; Yang, B. Three different attitude measurements of spinning projectile based on magnetic sensors. Measurement 2014, 47, 331–340. [Google Scholar] [CrossRef]
- Yu, J.; Bu, X.; Xiang, C.; Yang, B. Spinning projectile’s attitude measurement using intersection ratio of magnetic sensors. Proc. Inst. Mech. Eng. Part G 2017, 231, 866–876. [Google Scholar] [CrossRef]
- Goldenberg, F. Geomagnetic navigation beyond the magnetic compass. In Proceedings of the 2006 IEEE/ION Position, Location, And Navigation Symposium, San Diego, CA, USA, 25–27 April 2006; pp. 684–694. [Google Scholar]
- Vaccaro, R.J.; Zaki, A.S. Statistical modeling of rate gyros. IEEE Trans. Instrum. Meas. 2011, 61, 673–684. [Google Scholar] [CrossRef]
- Tian, Z.; Fang, X.; Zhou, M.; Li, L. Smartphone-based indoor integrated WiFi/MEMS positioning algorithm in a multi-floor environment. Micromachines 2015, 6, 347–363. [Google Scholar] [CrossRef]
- Liu, J.; Shen, Q.; Qin, W. Signal processing technique for combining numerous MEMS gyroscopes based on dynamic conditional correlation. Micromachines 2015, 6, 684–698. [Google Scholar] [CrossRef]
- Yuan, D.; Ma, X.; Liu, Y.; Shang, Z.; Yan, S. Statistical modeling of random walk errors for triaxial rate gyros. IEEE Trans. Instrum. Meas. 2015, 65, 286–296. [Google Scholar] [CrossRef]
- Song, J.W.; Park, C.G. Optimal Configuration of Redundant Inertial Sensors Considering Lever Arm Effect. IEEE Sens. J. 2016, 16, 3171–3180. [Google Scholar] [CrossRef]
- Jafari, M.; Roshanian, J. Optimal Redundant Sensor Configuration for Accuracy and Reliability Increasing in Space Inertial Navigation Systems. J. Navig. 2013, 66, 199–208. [Google Scholar] [CrossRef]
- Shim, D.-S.; Yang, C.-K. Optimal configuration of redundant inertial sensors for navigation and FDI performance. Sensors 2010, 10, 6497–6512. [Google Scholar] [CrossRef]
- Jafari, M. Optimal redundant sensor configuration for accuracy increasing in space inertial navigation system. Aerosp. Sci. Technol. 2015, 47, 467–472. [Google Scholar] [CrossRef]
- Bancroft, J.B.; Lachapelle, G. Data Fusion Algorithms for Multiple Inertial Measurement Units. Sensors 2011, 11, 6771–6798. [Google Scholar] [CrossRef]
- Zhang, Y.; Peng, C.; Mou, D.; Li, M.; Quan, W. An adaptive filtering approach based on the dynamic variance model for reducing MEMS gyroscope random error. Sensors 2018, 18, 3943. [Google Scholar] [CrossRef]
- Ham, S.; Kim, S.; Lee, N.; Kim, P.; Eom, I.; Lee, B.; Tsai, P.-J.; Lee, K.; Yoon, C. Comparison of data analysis procedures for real-time nanoparticle sampling data using classical regression and ARIMA models. J. Appl. Stat. 2017, 44, 685–699. [Google Scholar] [CrossRef]
- Wang, W.; Lv, X.; Sun, F. Design of a novel MEMS gyroscope array. Sensors 2013, 13, 1651–1663. [Google Scholar] [CrossRef] [PubMed]
- Song, J.; Shi, Z.; Wang, L.; Wang, H. Improved Virtual Gyroscope Technology Based on the ARMA Model. Micromachines 2018, 9, 348. [Google Scholar] [CrossRef] [PubMed]
- Chang, H.; Xue, L.; Qin, W.; Yuan, G.; Yuan, W. An Integrated MEMS Gyroscope Array with Higher Accuracy Output. Sensors 2008, 8, 2886–2899. [Google Scholar] [CrossRef] [PubMed]
- Xue, L.; Jiang, C.Y.; Chang, H.L.; Yang, Y.; Qin, W.; Yuan, W.Z. A novel Kalman filter for combining outputs of MEMS gyroscope array. Measurement 2012, 45, 745–754. [Google Scholar] [CrossRef]
- Song, J.; Shi, Z.; Li, B.; Wang, H.; Han, L.; Du, B. Analysis of influencing factors on fusion accuracy of virtual gyroscope technology and new data fusion method. ISA Trans. 2020, 100, 422–435. [Google Scholar] [CrossRef]
- Y, Q.; H, Z.; S, W. Kalman Filter and Principle of Integrated Navigation; Northwest Polytechnic University Press: Xi’an, China, 2012; pp. 332–334. [Google Scholar]
- Vaccaro, R.J.; Zaki, A.S. Statistical Modeling of Rate Gyros. In Proceedings of the 2012 IEEE/ION Position, Location and Navigation Symposium, Myrtle Beach, SC, USA, 23–26 April 2012. [Google Scholar]
- Bayard, D.S.; Ploen, S.R. High Accuracy Inertial Sensors from Inexpensive Components. U.S. Patent 6,882,964, 19 April 2005. [Google Scholar]
- Zhang, G.P. Time series forecasting using a hybrid ARIMA and neural network model. Neurocomputing 2003, 50, 159–175. [Google Scholar] [CrossRef]
- Lam, Q.; Stamatakos, N.; Woodruff, C.; Ashton, S. Gyro modeling and estimation of its random noise sources. In Proceedings of the AIAA Guidance, Navigation, and Control Conference and Exhibit, Austin, TX, USA, 11–14 August 2003; p. 5562. [Google Scholar]
- Yang, Y.; Xu, T. An adaptive Kalman filter based on Sage windowing weights and variance components. J. Navig. 2003, 56, 231–240. [Google Scholar] [CrossRef]
- Narasimhappa, M.; Rangababu, P.; Sabat, S.L.; Nayak, J. A modified sage-husa adaptive kalman filter for denoising fiber optic gyroscope signal. In Proceedings of the 2012 Annual IEEE India Conference (INDICON), Kochi, India, 7–9 December 2012; pp. 1266–1271. [Google Scholar]
- Narasimhappa, M.; Mahindrakar, A.D.; Guizilini, V.C.; Terra, M.H.; Sabat, S.L. An improved Sage Husa adaptive robust Kalman Filter for de-noising the MEMS IMU drift signal. In Proceedings of the 2018 Indian Control Conference (ICC), Kanpur, India, 4–6 January 2018; pp. 229–234. [Google Scholar]
- Yang, Y.; Gao, W. Comparison of adaptive factors in Kalman filters on navigation results. J. Navig. 2005, 58, 471–478. [Google Scholar] [CrossRef]
- El-Sheimy, N.; Hou, H.; Niu, X. Analysis and modeling of inertial sensors using Allan variance. IEEE Trans. Instrum. Meas. 2007, 57, 140–149. [Google Scholar] [CrossRef]















| Noise Type | Allan Variance | Units | Slope |
|---|---|---|---|
| Quantization noise | 1 | ||
| Angle rate random walk | −1/2 | ||
| Bias instability | 0 | ||
| Rate random walk | 1/2 | ||
| Rate ramp | 1 |
| Method | BI | ARW | Variance |
|---|---|---|---|
| Gyro1 raw data | |||
| Gyro2 raw data | |||
| Gyro3 raw data | |||
| Average | |||
| CKF | |||
| OBARS |
| Angular Rate Resolution | Angular Rate Accuracy | |||
|---|---|---|---|---|
| Roll | Pitch | Yaw | ||
Publisher’s Note: MDPI stays neutral with regard to jurisdictional claims in published maps and institutional affiliations. |
© 2020 by the authors. Licensee MDPI, Basel, Switzerland. This article is an open access article distributed under the terms and conditions of the Creative Commons Attribution (CC BY) license (http://creativecommons.org/licenses/by/4.0/).
Share and Cite
Mi, J.; Li, J.; Zhang, X.; Feng, K.; Hu, C.; Wei, X.; Yuan, X. Roll Angular Rate Measurement for High Spinning Projectiles Based on Redundant Gyroscope System. Micromachines 2020, 11, 940. https://doi.org/10.3390/mi11100940
Mi J, Li J, Zhang X, Feng K, Hu C, Wei X, Yuan X. Roll Angular Rate Measurement for High Spinning Projectiles Based on Redundant Gyroscope System. Micromachines. 2020; 11(10):940. https://doi.org/10.3390/mi11100940
Chicago/Turabian StyleMi, Jing, Jie Li, Xi Zhang, Kaiqiang Feng, Chenjun Hu, Xiaokai Wei, and Xiaoqiao Yuan. 2020. "Roll Angular Rate Measurement for High Spinning Projectiles Based on Redundant Gyroscope System" Micromachines 11, no. 10: 940. https://doi.org/10.3390/mi11100940
APA StyleMi, J., Li, J., Zhang, X., Feng, K., Hu, C., Wei, X., & Yuan, X. (2020). Roll Angular Rate Measurement for High Spinning Projectiles Based on Redundant Gyroscope System. Micromachines, 11(10), 940. https://doi.org/10.3390/mi11100940
