Tuning Electronic Properties of the SiC-GeC Bilayer by External Electric Field: A First-Principles Study
Abstract
1. Introduction
2. Materials and Methods
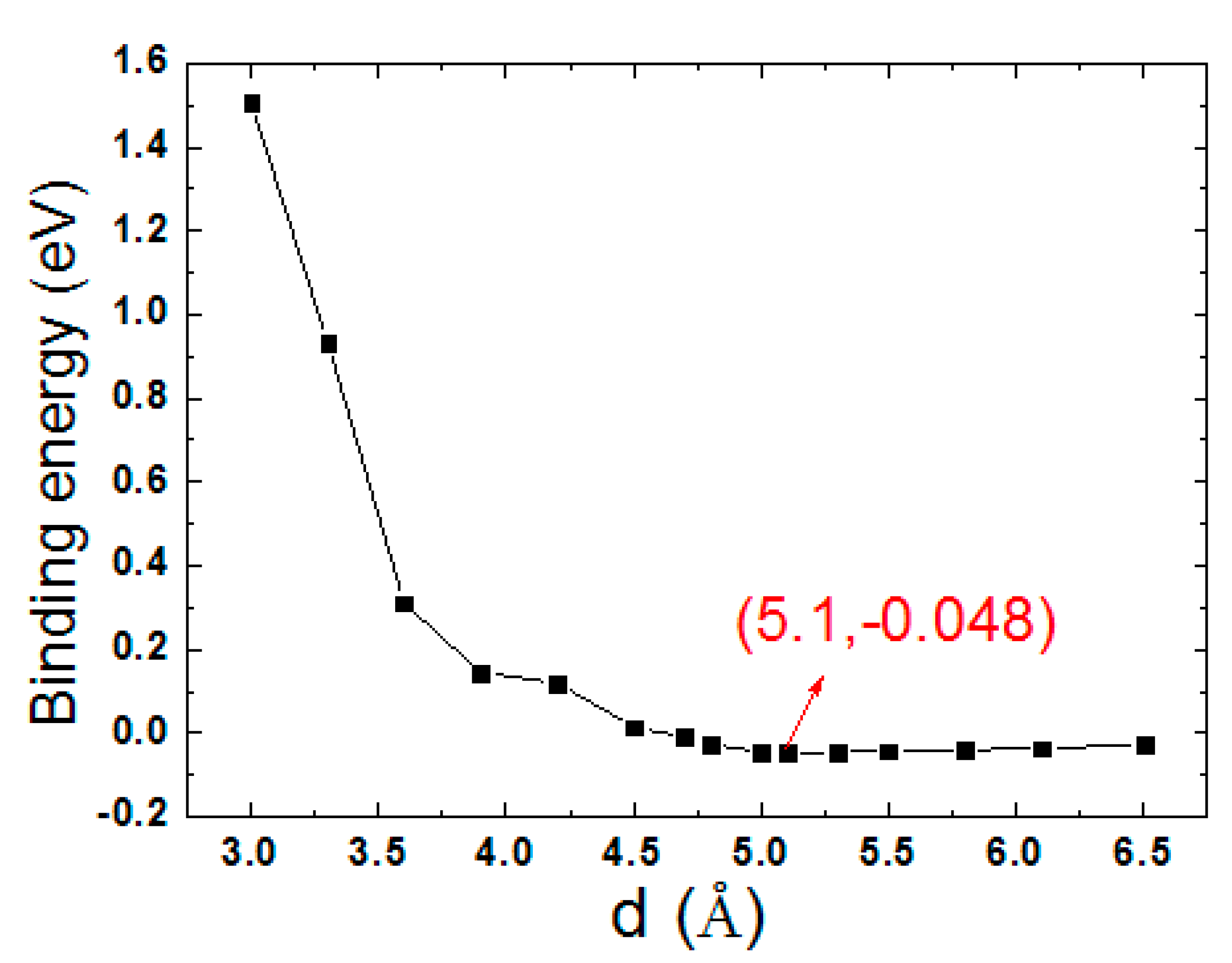
3. Results
4. Conclusions
Author Contributions
Funding
Conflicts of Interest
References
- Novoselov, K.S.; Geim, A.K.; Morozov, S.V.; Jiang, D.; Zhang, Y.; Dubonos, S.V.; Grigorieva, I.V.; Firsov, A.A. Electric field effect in atomically thin carbon films. Science 2004, 306, 666–669. [Google Scholar] [CrossRef]
- Geim, A.K.; Novoselovhe, K.S. The rise of graphene. Nat. Mater. 2007, 6, 183–191. [Google Scholar] [CrossRef] [PubMed]
- Castro Neto, A.H.; Guinea, F.; Peres, N.M.R.; Novoselov, K.S.; Geim, A.K. The electronic properties of graphene. Rev. Mod. Phys. 2009, 81, 109–162. [Google Scholar] [CrossRef]
- Mak, K.F.; Lee, C.; Hone, J.; Shan, J.; Heinz, T.F. Atomically thin MoS2: A new direct-gap semiconductor. Phys. Rev. Lett. 2010, 105, 136805–136807. [Google Scholar] [CrossRef]
- Radisavljevic, B.; Radenovic, A.; Brivio, J.; Giacometti, V.; Kis, A. Single-layer MoS2 transistors. Nat. Nanotechnol. 2011, 6, 147–150. [Google Scholar] [CrossRef] [PubMed]
- Rodin, S.; Carvalho, A.; Castro Neto, A.H. Strain-induced gap modification in black phosphorus. Phys. Rev. Lett. 2014, 112, 176801–176804. [Google Scholar] [CrossRef] [PubMed]
- Woodward, R.I.; Kelleher, J.R. 2D saturable absorbers for fibre lasers. Appl. Sci. 2015, 5, 1440–1456. [Google Scholar] [CrossRef]
- Fei, R.; Faghaninia, A.; Soklaski, R.; Yan, J.A.; Lo, C.; Yang, L. Enhanced thermoelectric efficiency via orthogonal electrical and thermal conductances in phosphorene. Nano Lett. 2014, 14, 6393–6399. [Google Scholar]
- Ramasubramaniam, A.; Muniz, A.R. Ab initio studies of thermodynamic and electronic properties of phosphorene nanoribbons. Phys. Rev. B 2014, 90, 085424–085428. [Google Scholar] [CrossRef]
- Qi, J.; Li, X.; Qian, X.; Feng, J. Bandgap engineering of rippled MoS2 monolayer under external electric field. Appl. Phys. Lett. 2013, 102, 173112–173117. [Google Scholar] [CrossRef]
- Wang, Q.H.; Kalantar-Zadeh, K.; Kis, A.; Coleman, J.N.; Strano, M.S. Electronics and optoelectronics of two-dimensional transition metal dichalcogenides. Nat. Nanotechnol. 2012, 7, 699–712. [Google Scholar] [CrossRef]
- Lin, Y.; Connell, J.W. Advances in 2D boron nitride nanostructures: Nanosheets, nanoribbons, nanomeshes, and hybrids with graphene. Nanoscale 2012, 4, 6908–6939. [Google Scholar] [CrossRef]
- Woessner, A.; Lundeberg, M.B.; Gao, Y.; Principi, A.; Alonso-Gonzalez, P.; Carrega, M.; Watanabe, K.; Taniguchi, T.; Vignale, G.; Polini, M.; et al. Highly confined low-loss plasmons in graphene-boron nitride heterostructures. Nat. Mater. 2015, 14, 421–425. [Google Scholar] [CrossRef]
- Zhang, C.H.; Jin, C.H.; Koh, A.L.; Zhou, Y.; Xu, W.G.; Li, Q.C.; Xiong, Q.H.; Peng, H.L.; Liu, Z.F. Direct growth of large-area graphene and boron nitride heterostructures by a co-segregation method. Nat. Commun. 2015, 6, 6519–6525. [Google Scholar] [CrossRef]
- Yankowitz, M.; Larentis, S.; Kim, K.; Xue, J.; McKenzie, D.; Huang, S.; Paggen, M.; Ali, M.N.; Cava, R.J.; Tutuc, E.; et al. Intrinsic disorder in graphene on transition metal dichalcogenide heterostructure. Nano Lett. 2015, 15, 1925–1929. [Google Scholar] [CrossRef]
- Li, M.; Zhang, J.C.; Hu, X.J.; Yue, Y.N. Thermal transport across graphene/SiC interface: Effects of atomic bond and crystallinity of substrate. Appl. Phys. A 2015, 119, 415–424. [Google Scholar] [CrossRef]
- Pereira, V.M.; Neto, A.H.C. Strain engineering of graphene’s electronic structure. Phys. Rev. Lett. 2009, 103, 046801–046805. [Google Scholar] [CrossRef]
- Nigam, S.; Gupta, S.K.; Majumder, C.; Pandey, R. Modulation of band gap by an applied electric field in silicene-based hetero-bilayers. Phys. Chem. Chem. Phys. 2015, 17, 11324–11328. [Google Scholar] [CrossRef]
- Kripalani, D.R.; Kistanov, A.A.; Cai, Y.Q.; Xue, M.; Zhou, K. Strain engineering of antimonene by a first-principles study: Mechanical and electronic properties. Phys. Rev. B 2018, 98, 085410. [Google Scholar] [CrossRef]
- Sahin, H.; Cahangirov, S.; Topsakal, M.; Bekaroglu, E.; Akturk, E.; Senge, R.T.; Ciraci, S. Monolayer honeycomb structures of group-IV elements and III-V binary compounds: First-principles calculations. Phys. Rev. B 2009, 80, 155453. [Google Scholar] [CrossRef]
- Hsueh, H.C.; Guo, G.Y.; Louie, S.G. Excitonic effects in the optical properties of a SiC sheet and nanotubes. Phys. Rev. B 2011, 84, 085404. [Google Scholar] [CrossRef]
- Li, P.; Zhou, R.; Zeng, X.C. The search for the most stable structures of silicon-carbon monolayer compounds. Nanoscale 2014, 6, 11685–11691. [Google Scholar] [CrossRef]
- Majidi, S.; Elahi, S.M.; Esmailian, A.; Kanjouri, F. First Principle Study of Electronic and Optical Properties of Planar GeC, SnC and SiC Nanosheets. Prot. Met. Phys. Chem. 2017, 53, 773–779. [Google Scholar] [CrossRef]
- Kityk, I.V.; Kassiba, A.; Plucinski, K.; Berdowski, J. Band structure of large-sized SiC nanocomposites. Phys. Lett. A 2000, 265, 403–410. [Google Scholar] [CrossRef]
- Kityk, I.V. Specific features of band structure in large-sized Si2−xCx (1.04 ≤ x < 1.10) nanocrystallites. Semicond. Sci. Technol. 2003, 18, 1001–1009. [Google Scholar]
- Shi, J.Y.; Ou, Y.; Migliorato, M.A.; Wang, H.Y.; La, H.; Zhang, Y.; Gu, Y.S.; Zou, M.Q. Tuning the electronic structure of GeC/WS2 van der Waals heterostructure by electric field and strain: A first principles study. Comput. Mater. Sci. 2019, 160, 301–308. [Google Scholar] [CrossRef]
- Rao, Y.C.; Yu, S.; Duan, X.M. Electrical and optical behaviors of SiC(GeC)/MoS2 heterostructures: A first principles study. Phys. Chem. Chem. Phys. 2017, 19, 17250–17255. [Google Scholar] [CrossRef]
- Kresse, G.; Furthmüller, J. Efficient iterative schemes for ab initio total-energy calculations using a plane-wave basis set. Phys. Rev. B 1996, 54, 11169–11186. [Google Scholar] [CrossRef]
- Kresse, G.; Joubert, D. From ultrasoft pseudopotentials to the projector augmented-wave method. Phys. Rev. B 1999, 59, 1758–1775. [Google Scholar] [CrossRef]
- Perdew, J.P.; Burke, K.; Ernzerhof, M. Generalized gradient approximation made simple. Phys. Rev. Lett. 1996, 77, 3865–3868. [Google Scholar] [CrossRef]
- Grimme, S. Semiempirical GGA-type density functional constructed with a long-range dispersion correction. J. Comput. Chem. 2006, 27, 1787–1799. [Google Scholar] [CrossRef]
- Lin, S.S. Light-Emitting Two-dimensional ultrathin silicon carbide. J. Phys. Chem. C 2012, 116, 3951–3955. [Google Scholar] [CrossRef]
- Yu, W.Z.; Yan, J.A.; Gao, S.P. Band gap characters and ferromagnetic/antiferromagnetic coupling in group-IV monolayers tuned by chemical species and hydrogen adsorption configurations. Nanoscale Res. Lett. 2015, 10, 351. [Google Scholar] [CrossRef]
- Xia, C.X.; Xue, B.; Wang, T.X.; Peng, Y.T.; Jia, Y. Interlayer coupling effects on Schottky barrier in the arsenene-graphene van der Waals heterostructures. Appl. Phys. Lett. 2015, 107, 193107. [Google Scholar] [CrossRef]
- Liu, B.; Wu, L.J.; Zhao, Y.Q.; Wang, L.Z.; Cai, M.Q. First-principles investigation of the Schottky contact for the two-dimensional MoS2 and graphene heterostructure. RSC Adv. 2016, 6, 60271. [Google Scholar] [CrossRef]
- Li, H.L.; Cui, Y.T.; Luo, H.J. The modulation of Schottky contacts of p-type graphene-GeC/GeS heterointerface. Eur. Phys. J. Appl. Phys. 2018, 84, 30101. [Google Scholar] [CrossRef]
- Ni, Z.; Liu, Q.; Tang, K.; Zheng, J.; Zhou, J.; Qin, R.; Gao, Z.; Yu, D.; Lu, J. Tunable bandgap in silicene and germanene. Nano Lett. 2012, 12, 113–118. [Google Scholar] [CrossRef]
- Drummond, N.D.; Zolyomi, V.; Falko, V.I. Electrically tunable band gap in silicene. Phys. Rev. B 2012, 85, 075423–075429. [Google Scholar] [CrossRef]
- Luo, M.; Xu, Y.E.; Song, Y.X. Tunable band gap of MoS2-SiC Van der Waals heterostructures under normal strain and an external electric field. AIP Adv. 2017, 7, 015116. [Google Scholar]







© 2019 by the authors. Licensee MDPI, Basel, Switzerland. This article is an open access article distributed under the terms and conditions of the Creative Commons Attribution (CC BY) license (http://creativecommons.org/licenses/by/4.0/).
Share and Cite
Luo, M.; Yu, B.; Xu, Y.-e. Tuning Electronic Properties of the SiC-GeC Bilayer by External Electric Field: A First-Principles Study. Micromachines 2019, 10, 309. https://doi.org/10.3390/mi10050309
Luo M, Yu B, Xu Y-e. Tuning Electronic Properties of the SiC-GeC Bilayer by External Electric Field: A First-Principles Study. Micromachines. 2019; 10(5):309. https://doi.org/10.3390/mi10050309
Chicago/Turabian StyleLuo, Min, Bin Yu, and Yu-e Xu. 2019. "Tuning Electronic Properties of the SiC-GeC Bilayer by External Electric Field: A First-Principles Study" Micromachines 10, no. 5: 309. https://doi.org/10.3390/mi10050309
APA StyleLuo, M., Yu, B., & Xu, Y.-e. (2019). Tuning Electronic Properties of the SiC-GeC Bilayer by External Electric Field: A First-Principles Study. Micromachines, 10(5), 309. https://doi.org/10.3390/mi10050309
