A Continuous Flow-through Microfluidic Device for Electrical Lysis of Cells
Abstract
:1. Introduction
2. Materials and Methods
2.1. Experimental
2.2. Theory
2.2.1. Fluid Flow
2.2.2. Electric Field and Maxwell Stress Tensor
3. Results
3.1. Experiments
3.2. Calculations
4. Discussion
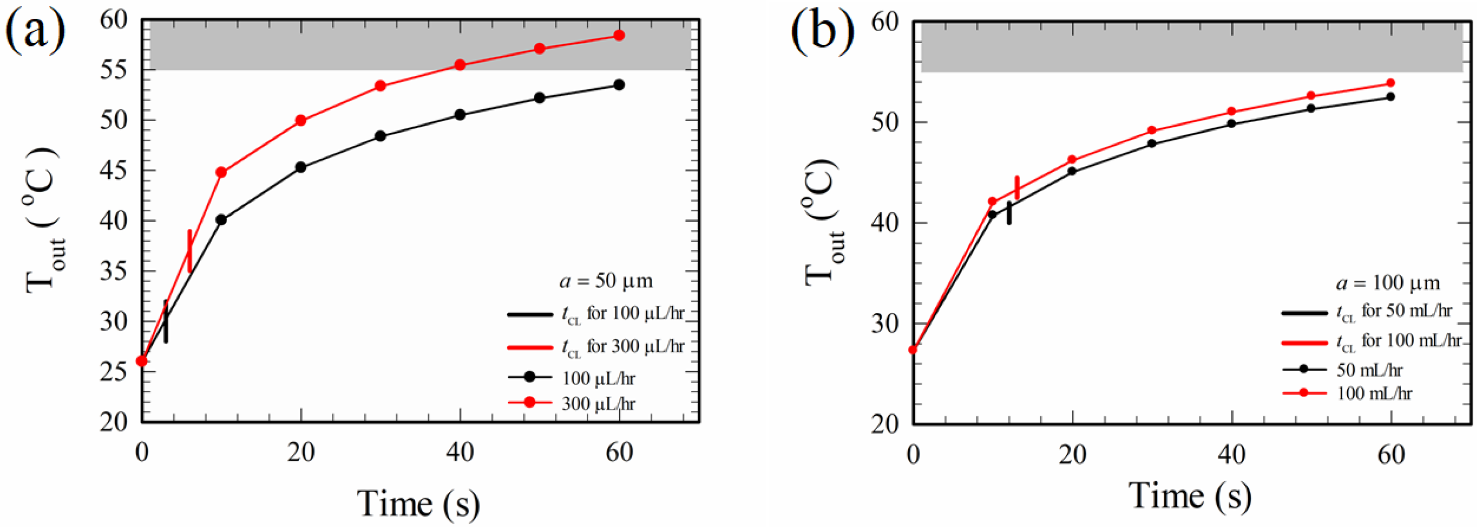
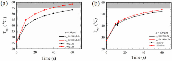
4.1. Thermal or Electrical Lysis
4.2. Electric Field and Cell Lysis
4.3. Maxwell Shear Stress and Mechanical Shear Stress in Electrical Cell Lysis
4.4. Parameters of the Applied Electric Field for Cell Lysis
4.5. Applications
5. Conclusions
Supplementary Materials
Author Contributions
Funding
Conflicts of Interest
References
- Brown, R.B.; Audet, J. Current techniques for single-cell lysis. J. R. Soc. Interface 2008, 5, S131–S138. [Google Scholar] [CrossRef]
- Middleberg, A.P.J. Process-scale disruption of microorganisms. Biotech. Adv. 1995, 13, 491–551. [Google Scholar] [CrossRef]
- Harrison, S.T.L. Bacterial cell disruption: A key unit operation in the recovery of intracellular products. Biotech. Adv. 1991, 9, 217–240. [Google Scholar] [CrossRef]
- Morshed, B.I.; Shams, M.; Mussivand, T. Electrical lysis: Dynamics revisited and advances in in-chip operation. Critical Reviews in Biotechnology 2013, 41, 37–50. [Google Scholar] [CrossRef]
- Neumann, E.; Schaefer-Ridder, M.; Wang, Y.; Hofshneider, P.H. Gene transfer into mouse lyoma cells by electroporation in high electric field. EMBO J. 1982, 1, 841–845. [Google Scholar] [CrossRef] [PubMed]
- Wong, T.-K.; Neumann, E. Electric field mediated gene transfer. Biomed. Biophys. Res. Comm. 1982, 102, 584–587. [Google Scholar] [CrossRef]
- Sale, A.J.H.; Hamilton, W.A. Effects of high electric fields on microorganisms. Biochim. Biophys. Acta. 1967, 148, 781–788. [Google Scholar] [CrossRef]
- Han, F.; Wang, Y.; Sims, C.E.; Bachman, M.; Chang, R.; Li, C.P.; Allbrittin, N.L. Fast electrical lysis of cells for capillary electrophoresis. Anal. Chem. 2003, 75, 3688–3696. [Google Scholar] [CrossRef] [PubMed]
- Al-Sakere, B.; Andre’, F.; Bernat, C.; Connault, E.; Opolon, P.; Davalos, R.V.; Rubinsky, B.; Mir, L.M. Tumor ablation with irreversible electroporation. PLoS ONE 2007, 2, e1135. [Google Scholar] [CrossRef]
- Nashimoto, Y.; Takshashi, Y.; Yamakawa, T.; Torisawa, Y.; Yasukawa, Y.; Ito-Sasaki, T.; Yokoo, M.; Abe, H.; Shlku, H.; Kambara, H.; et al. Measurement of gene expression from single adherent cells and spheroids collected using fast electrical lysis. Anal. Chem. 2007, 79, 6823–6830. [Google Scholar] [CrossRef]
- Munce, N.R.; Li, J.; Herman, P.R.; Lilge, L. Microfabricated system for parallel single-cell capillary electrophoresis. Anal. Chem. 2004, 76, 4983–4989. [Google Scholar] [CrossRef] [PubMed]
- McClain, M.A.; Culbertson, C.T.; Jacobson, S.C.; Allbritton, N.L.; Sims, C.E.; Ramsey, J.M. Microfluidic devices for the high-throughput chemical analysis of cells. Anal. Chem. 2003, 75, 5646–5655. [Google Scholar] [CrossRef]
- Lee, D.W.; Cho, Y.H. A continuous electrical cell lysis device using a low dc voltage for a cell transport and rupture. Sens. Actuators B 2007, 124, 84–89. [Google Scholar] [CrossRef]
- Lu, H.; Schmidt, M.A.; Jensen, K.F. A microfluidic electroporation device for cell lysis. Lab Chip 2005, 5, 23–29. [Google Scholar] [CrossRef] [PubMed]
- Shahini, M.; Yeow, J.T.W. Carbon nanotubes for voltage reduction and throughput enhancement of electrical cell lysis on a lab-on-a-chip. Nanotechnology 2011, 22, 325705. [Google Scholar] [CrossRef]
- Riaz, K.; Leung, S.-F.; Fan, Z.; Lee, Y.-K. Low-cost energy-efficient 3-D nano-spikes-based electric cell lysis chips. J. Microelectromech. Syst. 2017, 26, 910–920. [Google Scholar] [CrossRef]
- Mernier, G.; Martubez-Duarte, R.; Lehal, R.; Radtke, F.; Renaud, P. Very high throughput electrical cell lysis and extraction of intracellular compounds using 3D carbon electrodes in Lab-on-a-Chip devices. Micromachines 2012, 3, 574–581. [Google Scholar] [CrossRef]
- Hughes, M.P. Nanoelectromechanics in Engineering and Biology; CRC Press: Boca Raton, FL, USA, 2003; ISBN 0-8493-1183-7. [Google Scholar]
- Ramos, A.; Morgan, H.; Green, N.G.; Castellanos, A. AC electrokinetics: A review of forces in microelectrode structures. J. Phys. D: Appl. Phys. 1998, 31, 2338–2353. [Google Scholar] [CrossRef]
- Castellanos, A.; Ramos, A.; González, A.; Green, N.G.; Morgan, H. Electrohydrodynamics and dielectrophoresis in microsystems: Scaling laws. J. Phys. D: Appl. Phys. 2003, 36, 2584–2597. [Google Scholar] [CrossRef]
- Weaver, J.C. Theory of electroporation: A review. Bioelectrochem. Bioenerg. 1996, 41, 135–160. [Google Scholar] [CrossRef]
- Sugar, I.P.; Neumann, E. Stochastic model for electric field-induced membrane pores electroporation. Biophys. Chem. 1984, 19, 211–225. [Google Scholar] [CrossRef]
- Kinosita, K., Jr.; Tsong, T.Y. Formation and resealing of pores of controlled sizes in human erythrocyte membrane. Nature 1977, 268, 438–440. [Google Scholar] [CrossRef]
- Griffiths, D.J. Introduction to electrodynamics, 2nd ed.; Prentice-Hall: Englewood Cliffs, NJ, USA, 1989; pp. 326–330. ISBN 0-13-481367-7. [Google Scholar]
- Lei, U.; Huang, C.W.; Chen, J.; Yang, C.Y.; Lo, Y.J.; Wo, A.; Chen, C.F.; Fung, T.W. A travelling wave dielectrophoretic pump for blood delivery. Lab Chip 2009, 9, 1349–1356. [Google Scholar] [CrossRef] [PubMed]
- White, F.M. Viscous fluid flow, 2nd ed.; McGraw-Hill: New York, NY, USA, 1991; pp. 120–121. ISBN 0-7-069712-4. [Google Scholar]
- Berger, S.A.; Talbot, L.; Yao, L.S. Flow in curved pipes. Annu. Rev. Fluid Mech. 1983, 15, 461–512. [Google Scholar] [CrossRef]
- Lei, U.; Lo, Y.J. Review of the theory of generalised dielectrophoresis. IET Nanobiotechnol. 2011, 5, 86–106. [Google Scholar] [CrossRef]
- Ugural, A.C.; Fenster, S.K. Advanced Mechanics of Materials and Applied Elasticity, 5th ed.; Prentice-Hall: Upper Saddle River, NJ, USA, 2011; pp. 22–46. ISBN 0-13-707920-6. [Google Scholar]
- Leverett, L.B.; Hellums, J.D.; Alfrey, C.P.; Lynch, E.C. Red blood cell damage by shear stress. Biophys. J. 1972, 12, 257–273. [Google Scholar] [CrossRef]
- Sutera, S.P. Flow-induced trauma to blood cells. Circulation Res. 1977, 41, 2–7. [Google Scholar] [CrossRef]
- Blackshear, P.L.; Blackshear, G.L. Mechanical hemolysis. In Handbook of Bioengineering; Skalak, R., Chien, S., Eds.; McGraw-Hill: New York, NY, USA, 1987; pp. 15.1–15.19. ISBN 9780070577831. [Google Scholar]
- Chisti, Y. Hydrodynamic damage to animal cells. Critical Reviews in Biotechnology 2001, 21, 67–110. [Google Scholar] [CrossRef]
- Down, L.A.; Papavassiliou, D.V.; O’Rear, E.A. Significance of extensional stresses to red blood cell lysis in a shearing flow. Annals Biomed. Bioeng. 2011, 39, 1632–1642. [Google Scholar] [CrossRef]
- Tanzeglock, T.; Soos, M.; Stephanopoulos, G.; Morbidelli, M. Induction of mammalian cell death by simple shear and extensional flows. Biotech. Bioeng. 2009, 104, 360–370. [Google Scholar] [CrossRef]
- Baar, S.; Arrowsmith, D.J. Thermal damage to red cells. J. Clin. Pathol. 1970, 23, 572–576. [Google Scholar] [CrossRef]
- Stroock, A.D.; Dertinger, S.K.W.; Ajdari, A.; Mezić, I.; Stone, H.A.; Whitesides, G.M. Chaotic mixer for microchannels. Science 2002, 295, 647–651. [Google Scholar] [CrossRef] [PubMed]
- Nagrath, S.; Sequist, L.V.; Maheswaran, S.; Bell, D.W.; Irimia, D.; Ulkus, L.; Smith, M.R.; Kwak, E.L.; Digumarthy, S.; Muzikansky, A.; et al. Isolation of rare circulating tumor cells in cancer patients by microchip technology. Nature 2007, 450, 1235–1239. [Google Scholar] [CrossRef] [PubMed]
- Lo, Y.J. Generalized dielectrophoresis near walls—Theory, experiment and application. Ph.D. Dissertation, National Taiwan University, Taipei, Taiwan, 2010. [Google Scholar]











| Case1 | a (μm) | Q (μL/hr) | −dp/dx (Pa/m) | τmax (Pa) | uav (mm/s) | ttr (s) | tCL (s) | TCL (oC) | τscale (Pa) | Inlet/Outlet | 
|---|---|---|---|---|---|---|---|---|---|---|
| B1 | 50 | 50 | 1.04 × 105 | 1.66 | 6.46 | 1.59 | 3 | 28 | 0.18 | Bell-shape | 
| B2 | 50 | 100 | 2.08 × 105 | 3.32 | 12.9 | 0.8 | 3 | 30 | 0.36 | Bell-shape | 
| B3 | 50 | 200 | 4.15 × 105 | 6.64 | 25.8 | 0.4 | 4 | 32 | 0.72 | Bell-shape | 
| B4 | 50 | 300 | 6.22 × 105 | 9.97 | 38.8 | 0.26 | 6 | 37 | 1.08 | Bell-shape | 
| B5 | 50 | 400 | 8.29 × 105 | 13.3 | 51.7 | 0.2 | 7 | 40 | 1.44 | Bell-shape | 
| T1 | 50 | 50 | 1.04 × 105 | 1.66 | 6.46 | 1.59 | 10 | 38 | 0.18 | Tapered | 
| T2 | 50 | 100 | 2.08 × 105 | 3.32 | 12.9 | 0.8 | 10 | 40 | 0.38 | Tapered | 
| B11 | 100 | 25 | 1.73 × 104 | 0.36 | 1.62 | 6.36 | 10 | 39 | 0.023 | Bell-shape | 
| B12 | 100 | 50 | 3.44 × 104 | 0.71 | 3.23 | 3.18 | 12 | 42 | 0.045 | Bell-shape | 
| B13 | 100 | 100 | 6.94 × 10 | 1.42 | 6.46 | 1.59 | 13 | 43 | 0.09 | Bell-shape | 
| B21 | 150 | 20 | 8.18 × 103 | 0.18 | 0.86 | 11.9 | 18 | 42 | 0.008 | Bell-shape | 
| B22 | 150 | 40 | 1.63 × 104 | 0.35 | 1.72 | 5.97 | 18 | 42 | 0.016 | Bell-shape | 
| B23 | 150 | 60 | 2.46 × 104 | 0.53 | 2.58 | 3.98 | 18 | 42 | 0.024 | Bell-shape | 
| References | a × b × L | Q | Voltage | Ncell | Cells | Lysis rate | N | 
|---|---|---|---|---|---|---|---|
| Lee & Cho [13] | 10 × 10 × 40 | 0.18 | 50 V (DC) | NA | RBC | 100% | 1 | 
| Lu et al. [14] | 30 × 50 × 16200 | 1 | 8.5 Vpp | 105–106 | HT-29 | 74% | 4 | 
| Shahini & Yeow [15] | 1000 × 75 × 10000 | 167 | 40 Vpp | NA | E. Coli | 100% | 1 | 
| Shahini & Yeow [15] | 1000 × 75 × 10000 | 333 | 75 Vpp | NA | E. Coli | 100% | 1 | 
| Mernier et al. [17] | 2000 × 100 × 20000* | 100 | 65 Vpp | 108 | Yeast | 98% | 1 | 
| Mernier et al. [17] | 2000 × 100 × 20000* | 600 | 130 Vpp | 108 | Yeast | 90% | 1 | 
| Present work | 50 × 43 × 10700 | 6.67 | 20 Vpp | 6 × 108 | RBC | 100% | 1 | 
| Proposed device | 50 × 43 × 10700 | 100 | 20 Vpp | 6 × 108 | RBC | 100% | 15 | 
© 2019 by the authors. Licensee MDPI, Basel, Switzerland. This article is an open access article distributed under the terms and conditions of the Creative Commons Attribution (CC BY) license (http://creativecommons.org/licenses/by/4.0/).
Share and Cite
Lo, Y.-J.; Lei, U. A Continuous Flow-through Microfluidic Device for Electrical Lysis of Cells. Micromachines 2019, 10, 247. https://doi.org/10.3390/mi10040247
Lo Y-J, Lei U. A Continuous Flow-through Microfluidic Device for Electrical Lysis of Cells. Micromachines. 2019; 10(4):247. https://doi.org/10.3390/mi10040247
Chicago/Turabian StyleLo, Ying-Jie, and U Lei. 2019. "A Continuous Flow-through Microfluidic Device for Electrical Lysis of Cells" Micromachines 10, no. 4: 247. https://doi.org/10.3390/mi10040247
APA StyleLo, Y.-J., & Lei, U. (2019). A Continuous Flow-through Microfluidic Device for Electrical Lysis of Cells. Micromachines, 10(4), 247. https://doi.org/10.3390/mi10040247
 
        

 
       