Aspergillus and Fusarium Mycotoxin Contamination in Maize (Zea mays L.): The Interplay of Nitrogen Fertilization and Hybrids Selection
Abstract
1. Introduction
2. Results
2.1. Nitrogen Fertilization, Hybrids Tolerance, Ear Rot Severity, and Mycotoxin Contamination
2.2. Interactions between Nitrogen Fertilization and Hybrids on Ear Rot Severity and Mycotoxin Contamination
2.2.1. Influence of Nitrogen Fertilization and Hybrids on Ear Rot Severity
2.2.2. Effects of Nitrogen Fertilization and Hybrids on Mycotoxin Contamination
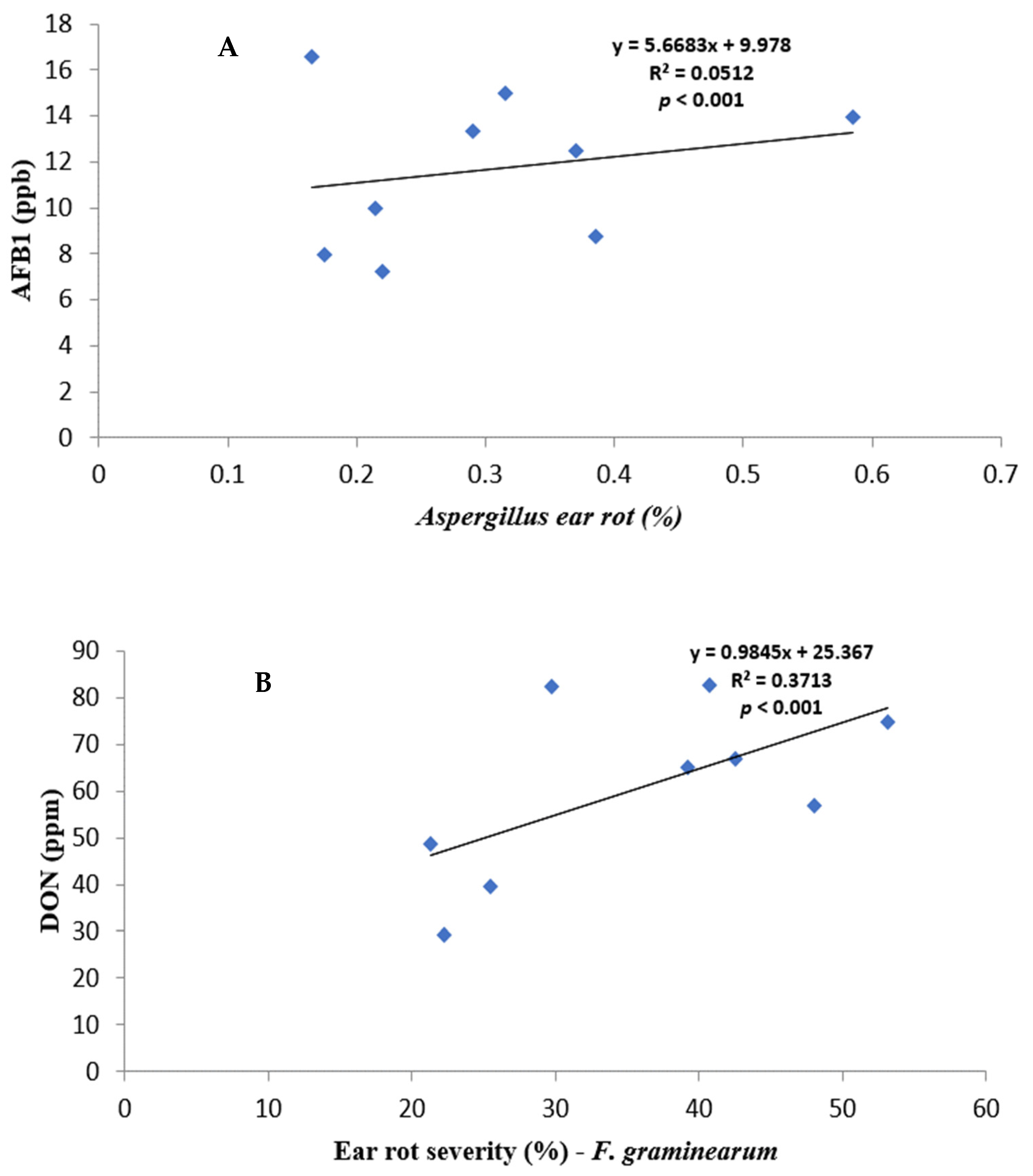
2.3. Relationship between Ear Rot and Kernel Severity and Production of Mycotoxins
3. Discussion
3.1. Effects of Nitrogen Fertilization on Mycotoxin Contamination
3.2. Influence of Hybrids on Mycotoxin Contamination
3.3. Interactions between Nitrogen Fertilization and Hybrids
4. Materials and Methods
4.1. Experimental Site and Treatments
4.2. Isolates and Inoculation
4.3. Evaluation of Ear and Kernel Rot Severity
4.4. Sample Preparations and Measurement of Mycotoxins
4.5. Statistical Data Analysis
Author Contributions
Funding
Institutional Review Board Statement
Informed Consent Statement
Data Availability Statement
Acknowledgments
Conflicts of Interest
References
- Food and Agriculture Organization of the United Nations Statistics (FAOstat). Available online: https://www.fao.org/faostat/en/#home (accessed on 12 February 2023).
- Erenstein, O.; Jaleta, M.; Sonder, K.; Mottaleb, K.; Prasanna, B.M. Global maize production, consumption and trade: Trends and R&D implications. Food Secur. 2022, 14, 1295–1319. [Google Scholar] [CrossRef]
- Shiferaw, B.; Prasanna, B.M.; Hellin, J.; Bänziger, M. Crops that feed the world 6. Past successes and future challenges to the role played by maize in global food security. Food Secur. 2011, 3, 307–327. [Google Scholar] [CrossRef]
- Mesterhazy, A.; Szieberth, D.; Toldine, E.T.; Nagy, Z.; Szabó, B.; Herczig, B.; Bors, I.; Tóth, B. Updating the Methodology of Identifying Maize Hybrids Resistant to Ear Rot Pathogens and Their Toxins—Artificial Inoculation Tests for Kernel Resistance to Fusarium graminearum, F. verticillioides, and Aspergillus flavus. J. Fungi 2022, 8, 293. [Google Scholar] [CrossRef] [PubMed]
- Geary, P.A.; Chen, G.; Kimanya, M.E.; Shirima, C.P.; Oplatowska-Stachowiak, M.; Elliott, C.T.; Routledge, M.N.; Gong, Y.Y. Determination of multi-mycotoxin occurrence in maize-based porridges from selected regions of Tanzania by liquid chromatography tandem mass spectrometry (LC-MS/MS), a longitudinal study. Food Control 2016, 68, 337–343. [Google Scholar] [CrossRef]
- CAST-Council for Agriculture, Science and Technology. Mycotoxins: Risks in Plant, Animal, and Human Systems Task Force Reports—R139. 2003. Available online: https://www.cast-science.org/wp-content/uploads/2002/11/CAST_R139_Mycotoxins_Risks_Plant_Animal_Health_Systems.pdf (accessed on 30 April 2024).
- Nada, S.; Nikola, T.; Bozidar, U.; Ilija, D.; Andreja, R. Prevention and practical strategies to control mycotoxins in the wheat and maize chain. Food Control 2022, 136, 108855. [Google Scholar] [CrossRef]
- Chilaka, C.A.; De Boevre, M.; Atanda, O.O.; De Saeger, S. The status of Fusarium mycotoxins in sub-Saharan Africa: A review of emerging trends and post-harvest mitigation strategies towards food control. Toxins 2017, 9, 19. [Google Scholar] [CrossRef]
- Borràs-Vallverdú, B.; Ramos, A.J.; Cantero-Martínez, C.; Marín, S.; Sanchis, V.; Fernández-Ortega, J. Influence of agronomic factors on mycotoxin contamination in maize and changes during a 10-day harvest-till-drying simulation period: A different perspective. Toxins 2022, 14, 620. [Google Scholar] [CrossRef] [PubMed]
- Mosier, A.; Syers, J.K.; Freney, J.R. (Eds.) Agriculture and the Nitrogen Cycle: Assessing the Impacts of Fertilizer Use on Food Production and the Environment; Island Press: Washington, DC, USA, 2013; Volume 65. [Google Scholar]
- Asibi, A.E.; Chai, Q.; Coulter, J.A. Mechanisms of nitrogen use in maize. Agronomy 2019, 9, 775. [Google Scholar] [CrossRef]
- Zhang, Y.; Wang, H.; Lei, Q.; Luo, J.; Lindsey, S.; Zhang, J.; Zhai, L.; Wu, S.; Zhang, J.; Liu, X.; et al. Optimizing the nitrogen application rate for maize and wheat based on yield and environment on the Northern China Plain. Sci. Total Environ. 2018, 618, 1173–1183. [Google Scholar] [CrossRef]
- Souza, T.M.; Bernd, L.P.; Okumura, R.S.; Takahashi, H.W.; Ono, E.Y.S.; Hirooka, E.Y. Nitrogen fertilization effect on chemical composition and contamination by fungal-fumonisin of maize kernels. Rev. Bras. Ciências Agrárias 2016, 11, 218–233. [Google Scholar] [CrossRef]
- Shahid, M.R. Effects of nitrogen fertilization rate and harvest time on maize (Zea mays L.) fodder yield and its quality attributes. Asian J. Pharm. Biol. Res. 2012, 2, 19–26. [Google Scholar]
- Holou, R.A.Y.; Kindomihou, V. Impact of nitrogen fertilization on the oil, protein, starch, and ethanol yield of corn (Zea mays L.) grown for biofuel production. J. Life Sci. 2011, 5, 1013–1021. [Google Scholar]
- Blandino, M.; Reyneri, A.; Vanara, F. Influence of nitrogen fertilization on mycotoxin contamination of maize kernels. Crop Prot. 2008, 27, 222–230. [Google Scholar] [CrossRef]
- Scarpino, V.; Sulyok, M.; Krska, R.; Reyneri, A.; Blandino, M. The role of nitrogen fertilization on the occurrence of regulated, modified and emerging mycotoxins and fungal metabolites in Maize Kernels. Toxins 2022, 14, 448. [Google Scholar] [CrossRef] [PubMed]
- Lanubile, A.; Ferrarini, A.; Maschietto, V.; Delledonne, M.; Marocco, A.; Bellin, D. Functional genomic analysis of constitutive and inducible defense responses to Fusarium verticillioides infection in maize genotypes with contrasting ear rot resistance. BMC Genom. 2014, 15, 710. [Google Scholar] [CrossRef] [PubMed]
- Hawkins, L.K.; Mylroie, J.E.; Oliveira, D.A.; Smith, J.S.; Ozkan, S.; Windham, G.L.; Williams, W.P.; Warburton, M.L. Characterization of the maize chitinase genes and their effect on Aspergillus flavus and aflatoxin accumulation resistance. PLoS ONE 2015, 10, e0126185. [Google Scholar] [CrossRef] [PubMed]
- Logrieco, A.; Battilani, P.; Leggieri, M.C.; Jiang, Y.; Haesaert, G.; Lanubile, A.; Mahuku, G.; Mesterházy, A.; Ortega-Beltran, A.; Pasti, M.; et al. Perspectives on global mycotoxin issues and management from the MycoKey Maize Working Group. Plant Dis. 2021, 105, 525–537. [Google Scholar] [CrossRef] [PubMed]
- Brown, R.L.; Williams, W.P.; Windham, G.L.; Menkir, A.; Chen, Z.-Y. Evaluation of African-bred maize germplasm lines for resistance to aflatoxin accumulation. Agronomy 2016, 6, 24. [Google Scholar] [CrossRef]
- Williams, W.P.; Krakowsky, M.D.; Scully, B.T.; Brown, R.L.; Menkir, A.; Warburton, M.L.; Windham, G.L. Identifying and developing maize germplasm with resistance to accumulation of aflatoxins. World Mycotoxin J. 2015, 8, 193–209. [Google Scholar] [CrossRef]
- Mayfield, K.; Betrán, F.J.; Isakeit, T.; Odvody, G.; Murray, S.C.; Rooney, W.L.; Landivar, J.C. Registration of maize germplasm lines Tx736, Tx739, and Tx740 for reducing preharvest aflatoxin accumulation. J. Plant Regist. 2012, 6, 88–94. [Google Scholar] [CrossRef]
- Williams, W.; Krakowsky, M.D.; Windham, G.L.; Balint-Kurti, P.; Hawkins, L.K.; Henry, W. Identifying maize germplasm with resistance to aflatoxin accumulation. Toxin Rev. 2008, 27, 319–345. [Google Scholar] [CrossRef]
- Williams, W.P.; Windham, G.L. Registration of maize germplasm line Mp717. Crop Sci. 2006, 46, 1407. [Google Scholar] [CrossRef]
- Williams, W.P.; Windham, G.L. Registration of maize germplasm line Mp715. Crop Sci. 2001, 41, 1374. [Google Scholar] [CrossRef]
- Scott, G.E.; Zummo, N. Registration of Mp420 germplasm line of maize. Crop Sci. 1992, 32, 1296. [Google Scholar] [CrossRef]
- Scott, G.E.; Zummo, N. Registration of Mp313E parental line of maize. Crop Sci. 1990, 30, 1378. [Google Scholar] [CrossRef]
- Zafar, S.; Iqbal, N.A.E.E.M.; Haidar, M.Z.; Rafique, M.; Ali, M. Responses of spring sown maize (Zea mays L.) genotypes to Aspergillus flavus inoculation: Grain yield and quality attributes. Pak. J. Bot. 2021, 53, 1507–1513. [Google Scholar] [CrossRef]
- Szabo, B.; Toth, B.; Toth Toldine, E.; Varga, M.; Kovacs, N.; Varga, J.; Kocsube, S.; Palagyi, A.; Bagi, F.; Budakov, D.; et al. A new concept to secure food safety standards against Fusarium species and Aspergillus flavus and their toxins in maize. Toxins 2018, 10, 372. [Google Scholar] [CrossRef] [PubMed]
- Williams, W.P.; Windham, G.L. Diallel analysis of fumonisin accumulation in maize. Field Crops Res. 2009, 114, 324–326. [Google Scholar] [CrossRef]
- Giomi, G.M.; Kreff, E.D.; Iglesias, J.; Fauguel, C.M.; Fernandez, M.; Oviedo, M.S.; Presello, D.A. Quantitative trait loci for Fusarium and Gibberella ear rot resistance in Argentinian maize germplasm. Euphytica 2016, 211, 287–294. [Google Scholar] [CrossRef]
- Mideros, S.X.; Warburton, M.L.; Jamann, T.M.; Windham, G.L.; Williams, W.P.; Nelson, R.J. Quantitative trait loci influencing mycotoxin contamination of maize: Analysis by linkage mapping, characterization of near-isogenic lines, and meta-analysis. Crop Sci. 2014, 54, 127–142. [Google Scholar] [CrossRef]
- Commission Regulation (EC). No 1881/2006 of 19 December 2006 setting maximum levels for certain contaminants in foodstuffs. Off. J. Eur. Union 2006, 20, 364–365. Available online: https://eur-lex.europa.eu/LexUriServ/LexUriServ.do?uri=OJ:L:2006:364:0005:0024:EN:PDF (accessed on 3 July 2024).
- Commission Regulation (EC). No 1126/2007 of 28 September 2007, amending regulation (EC) No 1881/2006 setting maximum levels for certain contaminants in foodstuffs as regards Fusarium toxins in maize and maize products. Off. J. Eur. Union 2007, L255, 14–17. Available online: https://eur-lex.europa.eu/LexUriServ/LexUriServ.do?uri=OJ:L:2007:255:0014:0017:EN:PDF (accessed on 3 July 2024).
- Commission regulation (EC). Directive 2002/32/EC of the European Parliament and of the Council of 7 May 2002 on undesirable substances in animal feed. OJL 2002, 30, 10. Available online: https://eur-lex.europa.eu/LexUriServ/LexUriServ.do?uri=CONSLEG:2002L0032:20061020:EN:PDF (accessed on 3 July 2024).
- Tubajika, K.M.; Mascagni, H.J.; Damann, K.E.; Russin, J.S. Nitrogen fertilizer influence on aflatoxin contamination of corn in Louisiana. J. Agric. Food Chem. 1999, 47, 5257–5260. [Google Scholar] [CrossRef] [PubMed]
- Madege, R.R.; Audenaert, K.; Kimanya, M.; Tiisekwa, B.; De Meulenaer, B.; Bekaert, B.; Landschoot, S.; Haesaert, G. Control of Fusarium verticillioides (Sacc.) nirenberg and fumonisins by using a combination of crop protection products and fertilization. Toxins 2018, 10, 67. [Google Scholar] [CrossRef] [PubMed]
- Simões, D.; Carbas, B.; Soares, A.; Freitas, A.; Silva, A.S.; Brites, C.; Andrade, E.D. Assessment of agricultural practices for controlling Fusarium and mycotoxins contamination on maize grains: Exploratory study in maize farms. Toxins 2023, 15, 136. [Google Scholar] [CrossRef] [PubMed]
- Krnjaja, V.; Mandić, V.; Bijelić, Z.; Stanković, S.; Obradović, A.; Petrović, T.; Vasić, T.; Radović, Č. Influence of nitrogen rates and Fusarium verticillioides infection on Fusarium spp. and fumonisin contamination of maize kernels. Crop Prot. 2021, 144, 105601. [Google Scholar] [CrossRef]
- Santos, F.C.; Figueiredo, J.E.F.; Pinheiro, R.B.; Cota, L.V.; Vasconcelos, A.A.; Albuquerque Filho, M.R.; Costa, R.V.; Pastina, M.M.; Silva-Araújo, D.D. Effects of maize genotypes, nitrogen rates and sources in yield, nutritional status, and fumonisins incidence. Braz. J. Biol. 2023, 83, e274081. [Google Scholar] [CrossRef]
- Bocianowski, J.; Szulc, P.; Waśkiewicz, A.; Cyplik, A. The effect of agrotechnical factors on Fusarium mycotoxins level in maize. Agriculture 2020, 10, 528. [Google Scholar] [CrossRef]
- Barošević, T.; Bagi, F.; Savić, Z.; Ljubičić, N.; Ivanović, I. Assessment of maize hybrids resistance to Aspergillus ear rot and aflatoxin production in environmental conditions in Serbia. Toxins 2022, 14, 887. [Google Scholar] [CrossRef]
- Leite, M.; Freitas, A.; Silva, A.S.; Barbosa, J.; Ramos, F. Maize food chain and mycotoxins: A review on occurrence studies. Trends Food Sci. Technol. 2021, 115, 307–331. [Google Scholar] [CrossRef]
- Scarpino, V.; Reyneri, A.; Sulyok, M.; Krska, R.; Blandino, M. Impact of the insecticide application to maize cultivated in different environmental conditions on emerging mycotoxins. Field Crops Res. 2018, 217, 188–198. [Google Scholar] [CrossRef]
- Giorni, P.; Bertuzzi, T.; Battilani, P. Impact of fungi co-occurrence on mycotoxin contamination in maize during the growing season. Front. Microbiol. 2019, 10, 461889. [Google Scholar] [CrossRef] [PubMed]
- Casu, A.; Camardo Leggieri, M.; Toscano, P.; Battilani, P. Changing climate, shifting mycotoxins: A comprehensive review of climate change impact on mycotoxin contamination. Compr. Rev. Food Sci. Food Saf. 2024, 23, e13323. [Google Scholar] [CrossRef] [PubMed]




| Source of Variation | Ear Rot Severity (%) | Mycotoxin Contamination | |||||
|---|---|---|---|---|---|---|---|
| AF | FV | FG | AFB1 (ppb) | FB (ppm) | DON (ppm) | ||
| Nitrogen fertilization rates | |||||||
| 2022 | Ø | 0.08 a | 0.07 a | 7.6 a | 9.83 a | 1.17 a | 4.37 a |
| N90 | 0.21 b | 0.16 b | 13.1 a | 43.11 ab | 2.39 b | 3.84 a | |
| N150 | 0.22 b | 0.26 c | 13.7 a | 67.9 b | 2.89 b | 3.96 a | |
| 2023 | Ø | 0.15 ab | 0.17 b | 23.5 b | <LOD | 2.69 ab | 60.3 b |
| N90 | 0.21 b | 0.24 c | 24.9 b | <LOD | 3.57 b | 59 b | |
| N150 | 0.18 ab | 0.16 b | 25.1 b | <LOD | 1.88 a | 50.5 b | |
| LSD(0.05) | 0.1222 | 0.0864 | 7.305 | 34.265 | 1.048 | 26.960 | |
| Maize hybrid effects | |||||||
| 2022 | DKC4590 | 0.09 a | 0.13 a | 7.3 a | 37.08 a | 1.73 a | 2.11 a |
| GKT376 | 0.22 b | 0.24 c | 9.6 a | 51.38 a | 2.62 a | 4.73 a | |
| P9610 | 0.19 ab | 0.11 a | 17.5 b | 32.38 a | 2.11 a | 5.34 ab | |
| 2023 | DKC4590 | 0.21 ab | 0.21 bc | 15.8 b | <LOD | 2.51 ab | 37.1 bc |
| GKT376 | 0.17 ab | 0.22 bc | 27.7 c | <LOD | 3.7 b | 66.5 c | |
| P9610 | 0.16 ab | 0.14 ab | 29.9 c | <LOD | 1.94 a | 66.2 c | |
| LSD(0.05) | 0.1205 | 0.0916 | 6.740 | 44.364 | 0.983 | 32.269 | |
| Inoculation effects | |||||||
| 2022 | Treated | 0.282 b | 0.325 b | 22.9 b | 62.59 b | 3.02 b | 8.11 a |
| Untreated control | 0.053 a | 0.001 a | 0.1 a | 17.97 a | 1.29 a | 0.34 a | |
| 2023 | Treated | 0.321 b | 0.327 b | 48.8 c | <LOD | 4.66 c | 113.2 b |
| Untreated control | 0.034 a | 0.052 a | 0.1 a | <LOD | 0.77 a | <LOD | |
| LSD(0.05) | 0.0887 | 0.0838 | 5.519 | 28.877 | 0.945 | 25.002 | |
| N Level | Hybrids | Artificial Inoculated | Mean | Untreated Control | Mean | ||||
|---|---|---|---|---|---|---|---|---|---|
| AF% | FV% | FG% | Aspergillus (%) | Fusarium (%) | |||||
| 2022 | Ø | DKC4590 | 0.04 | 0.09 | 10.30 | 3.48 | 0.01 | 0.10 | 0.06 |
| GKT376 | 0.15 | 0.22 | 9.60 | 3.32 | 0.00 | 0.00 | 0.00 | ||
| P9610 | 0.21 | 0.12 | 25.60 | 8.64 | 0.05 | 0.00 | 0.03 | ||
| N90 | DKC4590 | 0.29 | 0.14 | 19.70 | 6.71 | 0.08 | 0.10 | 0.09 | |
| GKT376 | 0.34 | 0.57 | 19.50 | 6.80 | 0.09 | 0.11 | 0.10 | ||
| P9610 | 0.24 | 0.21 | 39.00 | 13.15 | 0.21 | 0.10 | 0.16 | ||
| N150 | DKC4590 | 0.07 | 0.57 | 13.90 | 4.85 | 0.03 | 0.00 | 0.02 | |
| GKT376 | 0.77 | 0.66 | 28.20 | 9.88 | 0.01 | 0.10 | 0.06 | ||
| P9610 | 0.43 | 0.34 | 40.10 | 13.62 | 0.01 | 0.20 | 0.11 | ||
| Mean | 0.28 | 0.32 | 22.88 | 7.83 | 0.05 | 0.08 | 0.07 | ||
| 2023 | Ø | DKC4590 | 0.39 | 0.37 | 34.20 | 11.66 | 0.10 | 0.13 | 0.11 |
| GKT376 | 0.20 | 0.25 | 49.90 | 16.78 | 0.00 | 0.10 | 0.05 | ||
| P9610 | 0.23 | 0.34 | 55.90 | 18.82 | 0.00 | 0.15 | 0.08 | ||
| N90 | DKC4590 | 0.29 | 0.29 | 22.90 | 7.83 | 0.20 | 0.15 | 0.18 | |
| GKT376 | 0.40 | 0.56 | 59.00 | 19.99 | 0.00 | 0.00 | 0.00 | ||
| P9610 | 0.39 | 0.27 | 67.30 | 22.65 | 0.00 | 0.00 | 0.00 | ||
| N150 | DKC4590 | 0.26 | 0.25 | 37.10 | 12.54 | 0.00 | 0.05 | 0.03 | |
| GKT376 | 0.40 | 0.38 | 56.90 | 19.23 | 0.00 | 0.15 | 0.08 | ||
| P9610 | 0.34 | 0.23 | 55.90 | 18.82 | 0.00 | 0.05 | 0.03 | ||
| Mean | 0.32 | 0.33 | 48.78 | 16.48 | 0.03 | 0.09 | 0.06 | ||
| LSD(0.05) | 0.2045 | 0.1544 | 11.517 | 0.1722 | |||||
| N Level | Hybrids | Artificial Inoculated | Untreated Control | |||||
|---|---|---|---|---|---|---|---|---|
| DON (ppm) | FB (ppm) | AFB1 (ppb) | DON (ppm) | FB (ppm) | AFB1 (ppb) | |||
| 2022 | Ø | DKC4590 | 4.11 | 0.97 | 19.95 | <LOD | 0.47 | 4.44 |
| GKT376 | 9.78 | 2.49 | 15.94 | <LOD | 0.93 | 4.23 | ||
| P9610 | 12.33 | 1.71 | 14.41 | <LOD | 0.48 | <LOD | ||
| N90 | DKC4590 | 5.82 | 3.06 | 26.68 | <LOD | 2.34 | 14.21 | |
| GKT376 | 8.98 | 3.90 | 124.2 | <LOD | 1.48 | 0.88 | ||
| P9610 | 8.21 | 2.26 | 29.99 | <LOD | 1.33 | 62.67 | ||
| N150 | DKC4590 | 2.71 | 2.37 | 119.4 | <LOD | 1.15 | 37.8 | |
| GKT376 | 9.60 | 6.59 | 128.56 | 3.10 | 0.33 | 34.46 | ||
| P9610 | 11.48 | 3.81 | 84.2 | <LOD | 3.09 | 3.00 | ||
| Mean | 8.11 | 3.02 | 62.59 | 3.1 | 1.29 | 20.21 | ||
| 2023 | Ø | DKC4590 | 54.40 | 5.34 | <LOD | <LOD | 1.09 | <LOD |
| GKT376 | 154.60 | 5.19 | <LOD | <LOD | 0.66 | <LOD | ||
| P9610 | 152.90 | 3.87 | <LOD | <LOD | <LOD | <LOD | ||
| N90 | DKC4590 | 91.40 | 4.33 | < LOD | <LOD | 1.99 | <LOD | |
| GKT376 | 120.90 | 8.81 | <LOD | <LOD | 1.44 | <LOD | ||
| P9610 | 141.50 | 4.86 | <LOD | <LOD | <LOD | <LOD | ||
| N150 | DKC4590 | 76.60 | 2.32 | <LOD | <LOD | <LOD | <LOD | |
| GKT376 | 123.90 | 4.60 | <LOD | <LOD | 1.47 | <LOD | ||
| P9610 | 102.40 | 2.59 | <LOD | <LOD | 0.3 | <LOD | ||
| Mean | 113.17 | 4.66 | 1.16 | |||||
| LSD(0.05) | 52.347 | 1.717 | 70.469 | 1.717 | 70.469 | |||
| AF% | FV% | FG% | DON (ppm) | FB (ppm) | AFB1 (ppb) | |
|---|---|---|---|---|---|---|
| AF% | 1 | |||||
| FV% | 0.57917 | 1 | ||||
| FG% | 0.53016 | 0.17876 | 1 | |||
| DON (ppm) | 0.15678 | −0.0168 | 0.60933 | 1 | ||
| FUM (ppm) | 0.69222 | 0.73135 | 0.24318 | 0.2631 | 1 | |
| AFB1 (ppm) | 0.22637 | 0.44445 | −0.0351 | −0.3457 | 0.15046 | 1 |
| Company and Hybrid Code | Type | Characters |
|---|---|---|
| Pioneer (P9610) | Commercial | Unknown sensitivity and High-yielding |
| Bayer (DKC4590) | Commercial | DON, FUM and AFB tolerant |
| Cereal Research Nonprofit Ltd-GK Szeged (GKT376) | Commercial | DON, FUM and AFB susceptible |
Disclaimer/Publisher’s Note: The statements, opinions and data contained in all publications are solely those of the individual author(s) and contributor(s) and not of MDPI and/or the editor(s). MDPI and/or the editor(s) disclaim responsibility for any injury to people or property resulting from any ideas, methods, instructions or products referred to in the content. |
© 2024 by the authors. Licensee MDPI, Basel, Switzerland. This article is an open access article distributed under the terms and conditions of the Creative Commons Attribution (CC BY) license (https://creativecommons.org/licenses/by/4.0/).
Share and Cite
Nyandi, M.S.; Pepó, P. Aspergillus and Fusarium Mycotoxin Contamination in Maize (Zea mays L.): The Interplay of Nitrogen Fertilization and Hybrids Selection. Toxins 2024, 16, 318. https://doi.org/10.3390/toxins16070318
Nyandi MS, Pepó P. Aspergillus and Fusarium Mycotoxin Contamination in Maize (Zea mays L.): The Interplay of Nitrogen Fertilization and Hybrids Selection. Toxins. 2024; 16(7):318. https://doi.org/10.3390/toxins16070318
Chicago/Turabian StyleNyandi, Muhoja Sylivester, and Péter Pepó. 2024. "Aspergillus and Fusarium Mycotoxin Contamination in Maize (Zea mays L.): The Interplay of Nitrogen Fertilization and Hybrids Selection" Toxins 16, no. 7: 318. https://doi.org/10.3390/toxins16070318
APA StyleNyandi, M. S., & Pepó, P. (2024). Aspergillus and Fusarium Mycotoxin Contamination in Maize (Zea mays L.): The Interplay of Nitrogen Fertilization and Hybrids Selection. Toxins, 16(7), 318. https://doi.org/10.3390/toxins16070318

