Comparative Effects of Acetate- and Citrate-Based Dialysates on Dialysis Dose and Protein-Bound Uremic Toxins in Hemodiafiltration Patients: Exploring the Impact of Calcium and Magnesium Concentrations
Abstract
1. Introduction
2. Results
2.1. Citrate vs. Acetate
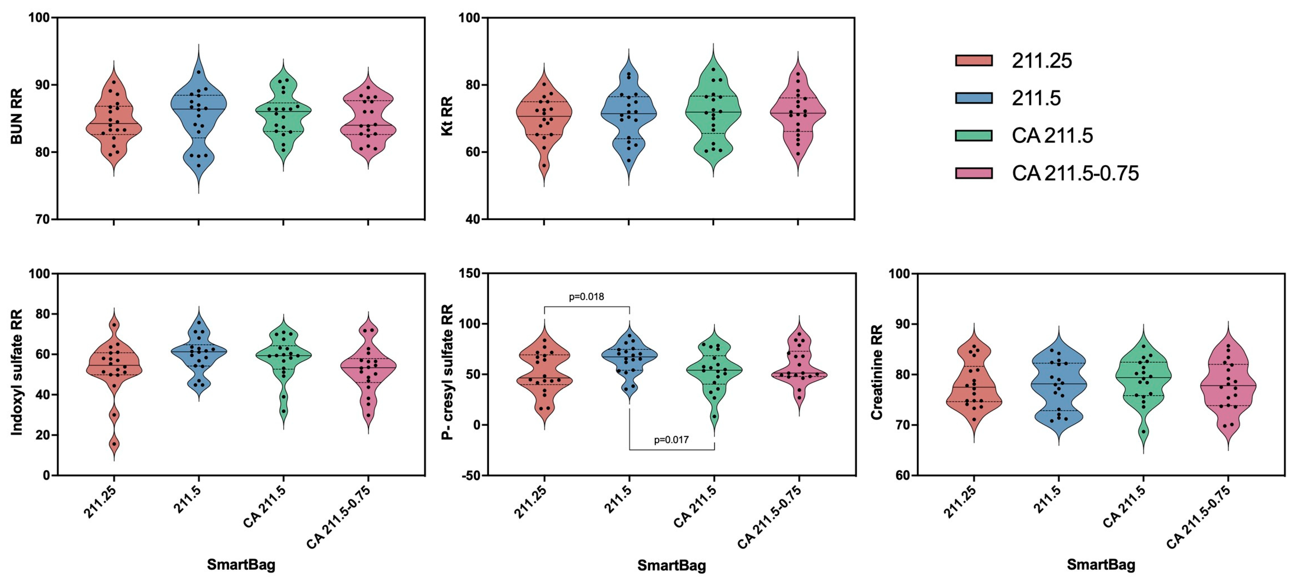
2.2. Analysis between Different Cation Concentrations
2.3. Four Dialysates against Each Other
3. Discussion
4. Conclusions
5. Materials and Methods
Author Contributions
Funding
Institutional Review Board Statement
Informed Consent Statement
Data Availability Statement
Conflicts of Interest
References
- Petitclerc, T.; Diab, R.; Le Roy, F.; Mercadal, L.; Hmida, J. Acetate-Free Hemodialysis: What Does It Mean? Nephrol. Ther. 2011, 7, 92–98. [Google Scholar] [CrossRef] [PubMed]
- Kuragano, T.; Kida, A.; Furuta, M.; Yahiro, M.; Kitamura, R.; Otaki, Y.; Nonoguchi, H.; Matsumoto, A.; Nakanishi, T. Effects of Acetate-Free Citrate-Containing Dialysate on Metabolic Acidosis, Anemia, and Malnutrition in Hemodialysis Patients. Artif. Organs 2012, 36, 282–290. [Google Scholar] [CrossRef]
- Todeschini, M.; Macconi, D.; Fernández, N.G.; Ghilardi, M.; Anabaya, A.; Binda, E.; Morigi, M.; Cattaneo, D.; Perticucci, E.; Remuzzi, G.; et al. Effect of Acetate-Free Biofiltration and Bicarbonate Hemodialysis on Neutrophil Activation. Am. J. Kidney Dis. 2002, 40, 783–793. [Google Scholar] [CrossRef]
- Daimon, S.; Dan, K.; Kawano, M. Comparison of Acetate-Free Citrate Hemodialysis and Bicarbonate Hemodialysis Regarding the Effect of Intra-Dialysis Hypotension and Post-Dialysis Malaise. Ther. Apher. Dial. 2011, 15, 460–465. [Google Scholar] [CrossRef]
- Pizzarelli, F.; Cerrai, T.; Dattolo, P.; Ferro, G. On-Line Haemodiafiltration with and without Acetate. Nephrol. Dial. Transplant. 2006, 21, 1648–1651. [Google Scholar] [CrossRef] [PubMed]
- Vida, C.; Carracedo, J.; de Sequera, P.; Bodega, G.; Pérez, R.; Alique, M.; Ramírez, R. Increasing the Magnesium Concentration in Various Dialysate Solutions Differentially Modulates Oxidative Stress in a Human Monocyte Cell Line. Antioxidants 2020, 9, 319. [Google Scholar] [CrossRef]
- Quinaux, T.; Pongas, M.; Guissard, É.; Ait-Djafer, Z.; Camoin-Schweitzer, M.C.; Ranchin, B.; Vrillon, I. Comparison between Citrate and Acetate Dialysate in Chronic Online Hemodiafiltration: A Short-Term Prospective Study in Pediatric Settings. Nephrol. Ther. 2020, 16, 158–163. [Google Scholar] [CrossRef] [PubMed]
- Molina Nuñez, M.; De Alarcón, R.; Roca, S.; Álvarez, G.; Ros, M.S.; Jimeno, C.; Bucalo, L.; Villegas, I.; García, M.Á. Citrate versus Acetate-Based Dialysate in On-Line Haemodiafiltration. A Prospective Cross-Over Study. Blood Purif. 2015, 39, 181–187. [Google Scholar] [CrossRef]
- Grundström, G.; Christensson, A.; Alquist, M.; Nilsson, L.G.; Segelmark, M. Replacement of Acetate with Citrate in Dialysis Fluid: A Randomized Clinical Trial of Short Term Safety and Fluid Biocompatibility. BMC Nephrol. 2013, 14, 216. [Google Scholar] [CrossRef]
- Leung, K.C.W.; Tai, D.J.; Ravani, P.; Quinn, R.R.; Scott-Douglas, N.; MacRae, J.M. Citrate vs. Acetate Dialysate on Intradialytic Heparin Dose: A Double Blind Randomized Crossover Study. Hemodial. Int. 2016, 20, 537–547. [Google Scholar] [CrossRef]
- Broseta, J.J.; López-Romero, L.C.; Cerveró, A.; Devesa-Such, R.; Soldevila, A.; Bea-Granell, S.; Sánchez-Pérez, P.; Hernández-Jaras, J. Improvements in Inflammation and Calcium Balance of Citrate versus Acetate as Dialysate Buffer in Maintenance Hemodialysis: A Unicentric, Cross-Over, Prospective Study. Blood Purif. 2021, 50, 914–920. [Google Scholar] [CrossRef]
- Villa-Bellosta, R.; Hernández-Martínez, E.; Mérida-Herrero, E.; González-Parra, E. Impact of Acetate- or Citrate-Acidified Bicarbonate Dialysate on Ex Vivo Aorta Wall Calcification. Sci. Rep. 2019, 9, 11374. [Google Scholar] [CrossRef]
- Ahmad, S.; Callan, R.; Cole, J.J.; Blagg, C.R. Dialysate Made from Dry Chemicals Using Citric Acid Increases Dialysis Dose. Am. J. Kidney Dis. 2000, 35, 493–499. [Google Scholar] [CrossRef]
- Dellepiane, S.; Medica, D.; Guarena, C.; Musso, T.; Quercia, A.D.; Leonardi, G.; Marengo, M.; Migliori, M.; Panichi, V.; Biancone, L.; et al. Citrate Anion Improves Chronic Dialysis Efficacy, Reduces Systemic Inflammation and Prevents Chemerin-Mediated Microvascular Injury. Sci. Rep. 2019, 9, 10622. [Google Scholar] [CrossRef]
- Kossmann, R.J.; Gonzales, A.; Callan, R.; Ahmad, S. Increased Efficiency of Hemodialysis with Citrate Dialysate: A Prospective Controlled Study. Clin. J. Am. Soc. Nephrol. 2009, 4, 1459–1464. [Google Scholar] [CrossRef]
- Ahmad, S.; Callan, R.; Cole, J.; Blagg, C. Increased Dialyzer Reuse with Citrate Dialysate. Hemodial. Int. 2005, 9, 264–267. [Google Scholar] [CrossRef]
- Trakarnvanich, T.; Thirathanakul, S.; Sriphueng, N.; Thumrongthongjaroon, P.; Kurathong, S.; Ngamvichchukorn, T. The Effect of Citrate on Clot Formation, Dialyzer Reuse, and Anemia in Hemodialysis Patients. Blood Purif. 2019, 47, 361–368. [Google Scholar] [CrossRef]
- de Sequera, P.; Pérez-García, R.; Molina, M.; Álvarez-Fernández, G.; Muñoz-González, R.I.; Mérida, E.; Camba, M.J.; Blázquez, L.A.; Alcaide, M.P.; Echarri, R. Advantages of the Use of Citrate over Acetate as a Stabilizer in Hemodialysis Fluid: A Randomized ABC-Treat Study. Nefrología 2022, 42, 327–337. [Google Scholar] [CrossRef]
- Gotch, F.A.; Sargent, J.A. A Mechanistic Analysis of the National Cooperative Dialysis Study (NCDS). Kidney Int. 1985, 28, 526–534. [Google Scholar] [CrossRef]
- Rafoth, R.J.; Onstad, G.R. Urea Synthesis after Oral Protein Ingestion in Man. J. Clin. Investig. 1975, 56, 1170. [Google Scholar] [CrossRef]
- Kornberg, H.L.; Davies, R.E.; Wood, D.R. Measurement of Total Body-Water with Urea. Nature 1952, 169, 502–503. [Google Scholar] [CrossRef]
- Chertow, G.M.; Owen, W.F.; Lazarus, J.M.; Lew, N.L.; Lowrie, E.G. Exploring the Reverse J-Shaped Curve between Urea Reduction Ratio and Mortality. Kidney Int. 1999, 56, 1872–1878. [Google Scholar] [CrossRef]
- Daugirdas, J.T.; Greene, T.; Depner, T.A.; Chumlea, C.; Rocco, M.J.; Chertow, G.M. Anthropometrically Estimated Total Body Water Volumes Are Larger than Modeled Urea Volume in Chronic Hemodialysis Patients: Effects of Age, Race, and Gender. Kidney Int. 2003, 64, 1108–1119. [Google Scholar] [CrossRef]
- Maduell, F.; Siguenza, F.; Caridad, A.; Miralles, F.; Serrato, F. Analysis of Urea Distribution Volume in Hemodialysis. Nephron 1994, 66, 312–316. [Google Scholar] [CrossRef]
- Lowrie, E.G. The Normalized Treatment Ratio (Kt/V) Is Not the Best Dialysis Dose Parameter. Blood Purif. 2000, 18, 286–294. [Google Scholar] [CrossRef]
- Maduell, F.; Ramos, R.; Palomares, I.; Martín-Malo, A.; Molina, M.; Bustamante, J.; Pérez-García, R.; Grassmann, A.; Merello, J.I. Impact of Targeting Kt Instead of Kt/V. Nephrol. Dial. Transplant. 2013, 28, 2595–2603. [Google Scholar] [CrossRef][Green Version]
- Maduell, F.; Ramos, R.; Varas, J.; Martin-Malo, A.; Molina, M.; Pérez-Garcia, R.; Marcelli, D.; Moreso, F.; Aljama, P.; Merello, J.I. Hemodialysis Patients Receiving a Greater Kt Dose than Recommended Have Reduced Mortality and Hospitalization Risk. Kidney Int. 2016, 90, 1332–1341. [Google Scholar] [CrossRef]
- Perez-Garcia, R.; Jaldo, M.; Alcázar, R.; de Sequera, P.; Albalate, M.; Puerta, M.; Ortega, M.; Ruiz, M.C.; Corchete, E. Unlike Kt, High Kt/V Is Associated with Greater Mortality: The Importance of Low V. Nefrología 2019, 39, 58–66. [Google Scholar] [CrossRef]
- Farrington, K.; Davenport, A. The ESHOL Study: Hemodiafiltration Improves Survival-But How? Kidney Int. 2013, 83, 979–981. [Google Scholar] [CrossRef]
- Maduell, F.; Moreso, F.; Pons, M.; Ramos, R.; Mora-Macià, J.; Carreras, J.; Soler, J.; Torres, F.; Campistol, J.M.; Martinez-Castelao, A. High-Efficiency Postdilution Online Hemodiafiltration Reduces All-Cause Mortality in Hemodialysis Patients. J. Am. Soc. Nephrol. 2013, 24, 487–497. [Google Scholar] [CrossRef]
- Blankestijn, P.J.; Bots, M.L. Effect of Hemodiafiltration or Hemodialysis on Mortality in Kidney Failure. Reply. N. Engl. J. Med. 2023, 389, e42. [Google Scholar] [CrossRef]
- Di Paola, R.; De, A.; Izhar, R.; Abate, M.; Zappavigna, S.; Capasso, A.; Perna, A.F.; La Russa, A.; Capasso, G.; Caraglia, M.; et al. Possible Effects of Uremic Toxins P-Cresol, Indoxyl Sulfate, p-Cresyl Sulfate on the Development and Progression of Colon Cancer in Patients with Chronic Renal Failure. Genes 2023, 14, 1257. [Google Scholar] [CrossRef]
- Daneshamouz, S.; Eduok, U.; Abdelrasoul, A.; Shoker, A. Protein-Bound Uremic Toxins (PBUTs) in Chronic Kidney Disease (CKD) Patients: Production Pathway, Challenges and Recent Advances in Renal PBUTs Clearance. NanoImpact 2021, 21, 100299. [Google Scholar] [CrossRef]
- Takkavatakarn, K.; Wuttiputinun, T.; Phannajit, J.; Praditpornsilpa, K.; Eiam-Ong, S.; Susantitaphong, P. Protein-Bound Uremic Toxin Lowering Strategies in Chronic Kidney Disease: A Systematic Review and Meta-Analysis. J. Nephrol. 2021, 34, 1805–1817. [Google Scholar] [CrossRef]
- Maheshwari, V.; Tao, X.; Thijssen, S.; Kotanko, P. Removal of Protein-Bound Uremic Toxins Using Binding Competitors in Hemodialysis: A Narrative Review. Toxins 2021, 13, 622. [Google Scholar] [CrossRef]
- Sánchez-Ospina, D.; Mas-Fontao, S.; Gracia-Iguacel, C.; Avello, A.; González de Rivera, M.; Mujika-Marticorena, M.; Gonzalez-Parra, E. Displacing the Burden: A Review of Protein-Bound Uremic Toxin Clearance Strategies in Chronic Kidney Disease. J. Clin. Med. 2024, 13, 1428. [Google Scholar] [CrossRef]
- Viaene, L.; Annaert, P.; De Loor, H.; Poesen, R.; Evenepoel, P.; Meijers, B. Albumin Is the Main Plasma Binding Protein for Indoxyl Sulfate and P-Cresyl Sulfate. Biopharm. Drug Dispos. 2013, 34, 165–175. [Google Scholar] [CrossRef]
- Al-Harthi, S.; Lachowicz, J.I.; Nowakowski, M.E.; Jaremko, M.; Jaremko, Ł. Towards the Functional High-Resolution Coordination Chemistry of Blood Plasma Human Serum Albumin. J. Inorg. Biochem. 2019, 198, 110716. [Google Scholar] [CrossRef]
- Eatough, D.J.; Jensen, T.E.; Hansen, L.D.; Loken, H.F.; Rehfeld, S.J. The Binding of Ca2+ and Mg2+ to Human Serium Albumin: A Calorimetric Study. Thermochim. Acta 1978, 25, 289–297. [Google Scholar] [CrossRef]
- Carr, C.W. Competitive Binding of Calcium and Magnesium with Serum Albumin. Proc. Soc. Exp. Biol. Med. 1955, 89, 546–549. [Google Scholar] [CrossRef]
- Broseta, J.J.; Roca, M.; Rodríguez-Espinosa, D.; López-Romero, L.C.; Gómez-Bori, A.; Cuadrado-Payán, E.; Bea-Granell, S.; Devesa-Such, R.; Soldevila, A.; Sánchez-Pérez, P.; et al. The Metabolomic Differential Plasma Profile between Dialysates. Pursuing to Understand the Mechanisms of Citrate Dialysate Clinical Benefits. Front. Physiol. 2022, 13, 2372. [Google Scholar] [CrossRef] [PubMed]
- Gabutti, L.; Lucchini, B.; Marone, C.; Alberio, L.; Burnier, M. Citrate- vs. Acetate-Based Dialysate in Bicarbonate Haemodialysis: Consequences on Haemodynamics, Coagulation, Acid-Base Status, and Electrolytes. BMC Nephrol. 2009, 10, 7. [Google Scholar] [CrossRef] [PubMed]
- Barbero, S.A.; Bel Cegarra, R.; Arellano, J.C.; Martínez, A.M.; Magdalena Badallo Mira, M.; Clavel, M.S.; Olivares, S.C.; Domingo, S.M. Líquido Dializante Con Citrato Frente a Acetato En Pacientes En Hemodiafiltración On-Line de Alta Eficacia: Parámetros a Estudio. Enfermería Nefrológica 2014, 17, 192–197. [Google Scholar] [CrossRef]
- Rosner, M.H.; Reis, T.; Husain-Syed, F.; Vanholder, R.; Hutchison, C.; Stenvinkel, P.; Blankestijn, P.J.; Cozzolino, M.; Juillard, L.; Kashani, K.; et al. Classification of Uremic Toxins and Their Role in Kidney Failure. Clin. J. Am. Soc. Nephrol. 2021, 16, 1918–1928. [Google Scholar] [CrossRef]
- Gryp, T.; Vanholder, R.; Vaneechoutte, M.; Glorieux, G. p-Cresyl Sulfate. Toxins 2017, 9, 52. [Google Scholar] [CrossRef]
- Meijers, B.K.I.; Van Kerckhoven, S.; Verbeke, K.; Dehaen, W.; Vanrenterghem, Y.; Hoylaerts, M.F.; Evenepoel, P. The uremic retention solute p-cresyl sulfate and markers of endothelial damage. Am. J. Kidney Dis. 2009, 54, 891–901. [Google Scholar] [CrossRef]
- Gross, P.; Massy, Z.A.; Henaut, L.; Boudot, C.; Cagnard, J.; March, C.; Kamel, S.; Drueke, T.B.; Six, I. Para-cresyl sulfate acutely impairs vascular reactivity and induces vascular remodeling. J. Cell. Physiol. 2015, 230, 2927–2935. [Google Scholar] [CrossRef]
- Han, H.; Zhu, J.; Zhu, Z.; Ni, J.; Du, R.; Dai, Y.; Chen, Y.; Wu, Z.; Lu, L.; Zhang, R. p-Cresyl sulfate aggravates cardiac dysfunction associated with chronic kidney disease by enhancing apoptosis of cardiomyocytes. J. Am. Heart Assoc. 2015, 4, e001852. [Google Scholar] [CrossRef]
- Koppe, L.; Pillon, N.J.; Vella, R.E.; Croze, M.L.; Pelletier, C.C.; Chambert, S.; Massy, Z.; Glorieux, G.; Vanholder, R.; Dugenet, Y.; et al. p-Cresyl sulfate promotes insulin resistance associated with CKD. J. Am. Soc. Nephrol. 2013, 24, 88–99. [Google Scholar] [CrossRef]
- Shiba, T.; Kawakami, K.; Sasaki, T.; Makino, I.; Kato, I.; Kobayashi, T.; Uchida, K.; Kaneko, K. Effects of intestinal bacteria-derived p-cresyl sulfate on Th1-type immune response in vivo and in vitro. Toxicol. Appl. Pharmacol. 2014, 274, 191–199. [Google Scholar] [CrossRef]
- Shiba, T.; Makino, I.; Kawakami, K.; Kato, I.; Kobayashi, T.; Kaneko, K. p-Cresyl sulfate suppresses lipopolysaccharide-induced anti-bacterial immune responses in murine macrophages in vitro. Toxicol. Lett. 2016, 245, 24–30. [Google Scholar] [CrossRef] [PubMed]
- Rodríguez-Espinosa, D.; Cuadrado-Payán, E.; Rico, N.; Torra, M.; Fernández, R.M.; Casals, G.; Rodríguez-García, M.; Maduell, F.; Broseta, J.J. Citrate Dialysate with and without Magnesium Supplementation in Hemodiafiltration: A Comparative Study Versus Acetate. Int. J. Mol. Sci. 2024, 25, 8491. [Google Scholar] [CrossRef] [PubMed]
- Bergström, J.; Wehle, B. No change in corrected β2-microglobulin concentration after cuprophane hemodialysis. Lancet 1987, 1, 628–629. [Google Scholar] [CrossRef]

| Variable | Acetate | Citrate | p-Value |
|---|---|---|---|
| Kt (L, mean ± SD) | 70.52 ± 6.58 | 71.56 ± 6.88 | 0.087 |
| BUN RR (%, mean ± SD) | 84.93 ± 3.53 | 85.19 ± 2.98 | 0.489 |
| Creatinine RR (%, mean ± SD) | 77.95 ± 4.5 | 78.4 ± 4.44 | 0.188 |
| P-cresyl sulfate RR (%, mean ± SD) | 58.4 ± 18.58 | 55.84 ± 18.39 | 0.449 |
| Indoxyl-sulfate RR (%, mean ± SD) | 56.39 ± 11.6 | 55.11 ± 10.96 | 0.56 |
| Variable | SmartBag 211.25 | SmartBag 211.5 | SmartBag CA 211.5 | SmartBag CA 211.5-0.75 | p-Value |
|---|---|---|---|---|---|
| Kt (L, mean ± SD) | 70.7 ± 1.44 | 70.97 ± 1.70 | 71.64 ± 1.77 | 71.48 ± 1.52 | 0.353 |
| BUN RR (%, mean ± SD) | 84.62 ± 0.76 | 85.23 ± 0.94 | 85.60 ± 0.72 | 84.79 ± 0.69 | 0.347 |
| Creatinine RR (%, mean ± SD) | 78.05 ± 1.05 | 77.84 ± 1.1 | 78.89 ± 0.99 | 77.9 ± 1.11 | 0.273 |
| p-cresyl sulfate RR (%, mean ± SD) | 51.56 ± 4.75 | 65.25 ± 3.38 | 53.02 ± 4.52 | 58.66 ± 4.16 | 0.007 |
| Indoxyl-sulfate RR (%, mean ± SD) | 52.84 ± 3.1 | 58.94 ± 2.07 | 57.87 ± 2.43 | 52.35 ± 2.64 | 0.063 |
| Dialysate | Adjusted Marginal Mean % (95% CI) | Mean Difference ± SD | Bonferroni-Adjusted CI | p-Value |
|---|---|---|---|---|
| SmartBag 211.5 | 65.25 (58.12, 72.38) | |||
| SmartBag 211.25 | 13.69 ± 3.97 | 1.86, 25.53 | 0.018 | |
| SmartBag CA 211.5 | 12.23 ± 3.51 | 1.76, 22.7 | 0.017 | |
| SmartBag CA 211.5-0.75 | 6.59 ± 3.47 | −3.75, 16.94 | 0.45 | |
| SmartBag 211.25 | 51.56 (41.53, 61.58) | |||
| SmartBag 211.5 | −13.69 ± 3.97 | 1.86, 25.53 | 0.018 | |
| SmartBag CA 211.5 | −1.47 ± 4.23 | −14.08, 11.14 | 1 | |
| SmartBag CA 211.5-0.75 | −7.1 ± 4.78 | −21.36, 7.16 | 0.93 | |
| SmartBag CA 211.5 | 53.02 (43.49, 62.56) | |||
| SmartBag 211.5 | −12.23 ± 3.51 | −22.7, −1.76 | 0.017 | |
| SmartBag 211.25 | 1.47 ± 4.23 | −11.14, 14.08 | 1 | |
| SmartBag CA 211.5-0.75 | −5.63 ± 4.85 | −20.1, 8.83 | 1 | |
| SmartBag CA 211.5-0.75 | 58.65 (49.87, 67.44) | |||
| SmartBag 211.5 | −6.59 ± 3.47 | −16.94, 3.75 | 0.45 | |
| SmartBag 211.25 | 7.1 ± 4.78 | −7.16, 21.36 | 0.93 | |
| SmartBag CA 211.5 | 5.63 ± 4.85 | −8.83, 20.1 | 1 |
| Components | SmartBag 211.25 | SmartBag 211.5 | SmartBagCA 211.5 | SmartBagCA 211.5-0.75 |
|---|---|---|---|---|
| Sodium (mmol/L) | 138 | 138 | 138 | 138 |
| Potassium (mmol/L) | 2 | 2 | 2 | 2 |
| Calcium (mmol/mL) | 1.25 | 1.5 | 1.5 | 1.5 |
| Magnesium (mmol/mL) | 0.5 | 0.5 | 0.5 | 0.75 |
| Chloride (mmol/mL) | 108.5 | 109 | 109 | 109.5 |
| Acetate (mmol/L) | 3 | 3 | - | - |
| Citrate (mmol/L) | - | - | 1 | 1 |
| Glucose (g/L) | 1 | 1 | 1 | 1 |
| Bicarbonate (mmol/L) | 32 | 32 | 32 | 32 |
| Osmolarity (mosm/L) | 290.8 | 291.55 | 290 | 290 |
Disclaimer/Publisher’s Note: The statements, opinions and data contained in all publications are solely those of the individual author(s) and contributor(s) and not of MDPI and/or the editor(s). MDPI and/or the editor(s) disclaim responsibility for any injury to people or property resulting from any ideas, methods, instructions or products referred to in the content. |
© 2024 by the authors. Licensee MDPI, Basel, Switzerland. This article is an open access article distributed under the terms and conditions of the Creative Commons Attribution (CC BY) license (https://creativecommons.org/licenses/by/4.0/).
Share and Cite
Rodríguez-Espinosa, D.; Cuadrado-Payán, E.; Rico, N.; Torra, M.; Fernández, R.M.; Gómez, M.; Morantes, L.; Casals, G.; Rodriguez-Garcia, M.; Maduell, F.; et al. Comparative Effects of Acetate- and Citrate-Based Dialysates on Dialysis Dose and Protein-Bound Uremic Toxins in Hemodiafiltration Patients: Exploring the Impact of Calcium and Magnesium Concentrations. Toxins 2024, 16, 426. https://doi.org/10.3390/toxins16100426
Rodríguez-Espinosa D, Cuadrado-Payán E, Rico N, Torra M, Fernández RM, Gómez M, Morantes L, Casals G, Rodriguez-Garcia M, Maduell F, et al. Comparative Effects of Acetate- and Citrate-Based Dialysates on Dialysis Dose and Protein-Bound Uremic Toxins in Hemodiafiltration Patients: Exploring the Impact of Calcium and Magnesium Concentrations. Toxins. 2024; 16(10):426. https://doi.org/10.3390/toxins16100426
Chicago/Turabian StyleRodríguez-Espinosa, Diana, Elena Cuadrado-Payán, Naira Rico, Mercè Torra, Rosa María Fernández, Miquel Gómez, Laura Morantes, Gregori Casals, Maria Rodriguez-Garcia, Francisco Maduell, and et al. 2024. "Comparative Effects of Acetate- and Citrate-Based Dialysates on Dialysis Dose and Protein-Bound Uremic Toxins in Hemodiafiltration Patients: Exploring the Impact of Calcium and Magnesium Concentrations" Toxins 16, no. 10: 426. https://doi.org/10.3390/toxins16100426
APA StyleRodríguez-Espinosa, D., Cuadrado-Payán, E., Rico, N., Torra, M., Fernández, R. M., Gómez, M., Morantes, L., Casals, G., Rodriguez-Garcia, M., Maduell, F., & Broseta, J. J. (2024). Comparative Effects of Acetate- and Citrate-Based Dialysates on Dialysis Dose and Protein-Bound Uremic Toxins in Hemodiafiltration Patients: Exploring the Impact of Calcium and Magnesium Concentrations. Toxins, 16(10), 426. https://doi.org/10.3390/toxins16100426

