OnabotulinumtoxinA Treatment in Chronic Migraine: Investigation of Its Effects on Disability, Headache and Neck Pain Intensity
Abstract
1. Introduction
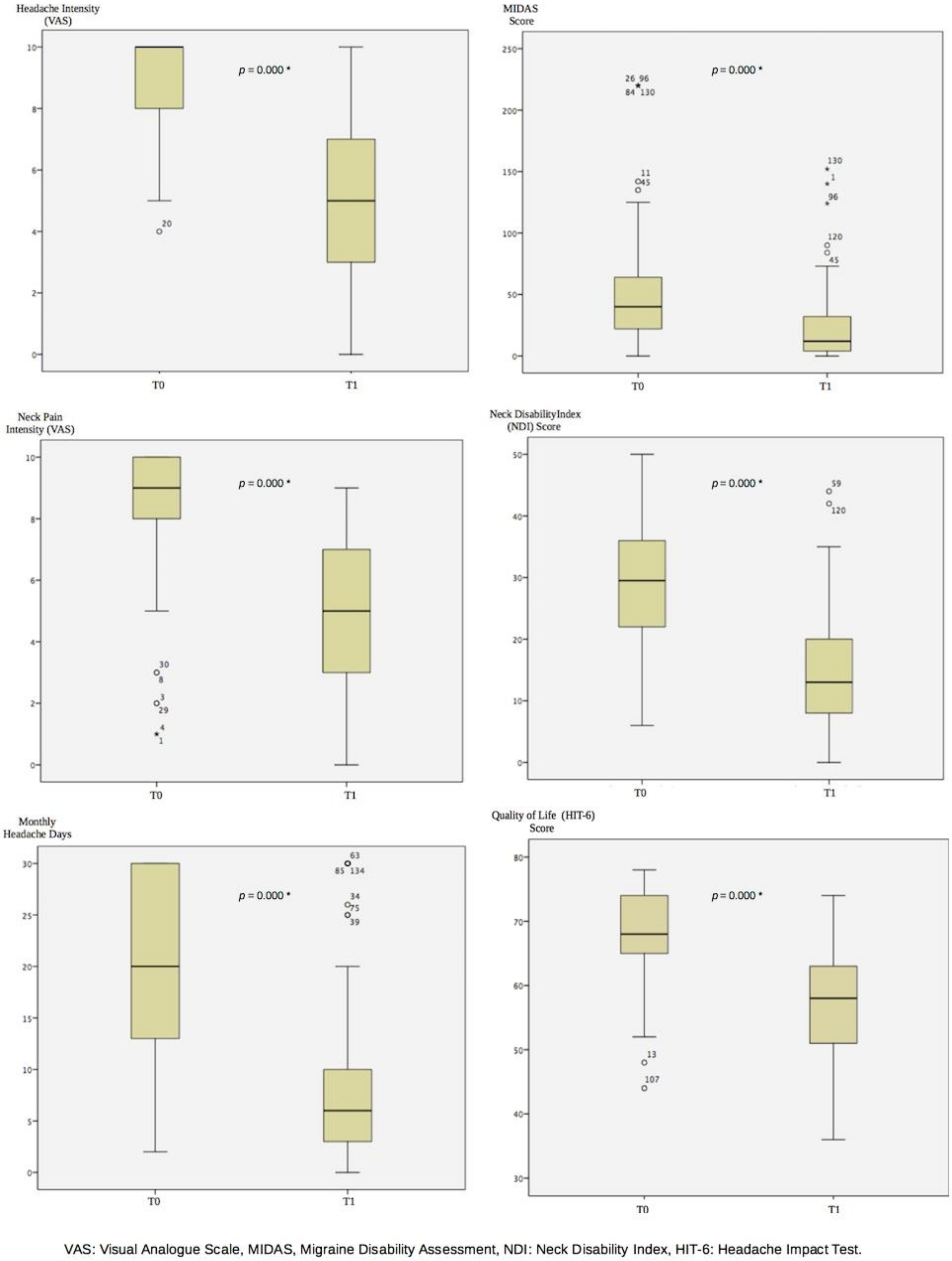
2. Results
2.1. Primary Outcomes
2.2. Secondary Outcome
3. Discussion
4. Conclusions
5. Materials and Methods
5.1. Study Design
5.2. Intervention
5.3. Outcome Measures
5.4. The Primary Outcomes
5.5. The Secondary Outcome
5.6. Sample Size
5.7. Statistical Analysis
Author Contributions
Funding
Institutional Review Board Statement
Informed Consent Statement
Data Availability Statement
Acknowledgments
Conflicts of Interest
References
- Stovner, L.J.; Hagen, K.; Linde, M.; Steiner, T.J. The global prevalence of headache: An update, with analysis of the influences of methodological factors on prevalence estimates. J. Headache Pain 2022, 23, 34. [Google Scholar] [CrossRef] [PubMed]
- Rosignoli, C.; Ornello, R.; Onofri, A.; Caponnetto, V.; Grazzi, L.; Raggi, A.; Leonardi, M.; Sacco, S. Applying a biopsychosocial model to migraine: Rationale and clinical implications. J. Headache Pain 2022, 23, 100. [Google Scholar] [CrossRef]
- Tolentino, G.A.; Bevilaqua-Grossi, D.; Carvalho, G.F.; Carnevalli, A.P.O.; Dach, F.; Florencio, L.L. Relationship between headaches and neck pain characteristics with neck muscle strength. J. Manip. Physiol. Ther. 2018, 41, 650–657. [Google Scholar] [CrossRef] [PubMed]
- Plesh, O.; Adams, S.H.; Gansky, S.A. Self-reported comorbid pains in severe headaches or migraines in a US national sample. Headache 2012, 52, 946–956. [Google Scholar] [CrossRef] [PubMed]
- Florencio, L.L.; Chaves, T.C.; Carvalho, G.F.; Gonçalves, M.C.; Casimiro, E.C.; Dach, F.; Bigal, M.E.; Bevilaqua-Grossi, D. Neck pain disability is related to the frequency of migraine attacks: A cross-sectional study. Headache 2014, 54, 1203–1210. [Google Scholar] [CrossRef]
- Available online: https://www.who.int/news-room/fact-sheets/detail/headache-disorders (accessed on 8 April 2016).
- Available online: https://www.who.int/news-room/fact-sheets/detail/musculoskeletal-conditions (accessed on 14 July 2022).
- Al-Khazali, H.M.; Younis, S.; Al-Sayegh, Z.; Ashina, S.; Ashina, M.; Schytz, H.W. Prevalence of neck pain in migraine: A systematic review and meta-analysis. Cephalalgia 2022, 42, 663–673. [Google Scholar] [CrossRef]
- Lampl, C.; Rudolph, M.; Deligianni, C.I.; Mitsikostas, D.D. Neck pain in episodic migraine: Premonitory symptom or part of the attack? J. Headache Pain 2015, 16, 80. [Google Scholar] [CrossRef]
- Aprill, C.; Axinn, M.J.; Bogduk, N. Occipital headaches stemming from the lateral atlanto-axial (C1–2) joint. Cephalalgia 2002, 22, 15–22. [Google Scholar] [CrossRef]
- Messina, R.; Cetta, I.; Colombo, B.; Filippi, M. Tracking the evolution of non-headache symptoms through the migraine attack. J. Headache Pain 2022, 23, 149. [Google Scholar] [CrossRef]
- Goadsby, P.J. Migraine pathophysiology. Headache 2005, 45, S14–S24. [Google Scholar] [CrossRef]
- Bartsch, T. Migraine and the neck: New insights from basic data. Curr. Pain Head Rep. 2005, 9, 191–196. [Google Scholar] [CrossRef]
- Becser, N.; Bovim, G.; Sjaastad, O. Extracranial nerves in the posterior part of the head: Anatomic variations and their possible clinical significance. Spine 1998, 23, 1435–1441. [Google Scholar] [CrossRef]
- Bartsch, T.; Goadsby, P.J. Increased responses in trigeminocervical nociceptive neurons to cervical input after stimulation of the dura mater. Brain 2003, 126, 1801–1813. [Google Scholar] [CrossRef]
- Bragatto, M.M.; Bevilaqua-Grossi, D.; Benatto, M.T.; Lodovichi, S.S.; Pinheiro, C.F.; Carvalho, G.F.; Dach, F.; Fernández-de-Las-Peñas, C.; Florencio, L.L. Is the presence of neck pain associated with more severe clinical presentation in patients with migraine? A cross-sectional study. Cephalalgia 2019, 39, 1500–1508. [Google Scholar] [CrossRef]
- Oliveira-Souza, A.I.S.; Florencio, L.L.; Carvalho, G.F.; Fernández-De-Las-Peñas, C.; Dach, F.; Bevilaqua-Grossi, D. Reduced flexion rotation test in women with chronic and episodic migraine. Braz. J. Phys. Ther. 2019, 23, 387–394. [Google Scholar] [CrossRef]
- Pinheiro, C.F.; Oliveira, A.S.; Will-Lemos, T.; Florencio, L.L.; Fernández-de-Las-Peñas, C.; Dach, F.; Bevilaqua-Grossi, D. Neck Active Movements Assessment in Women with Episodic and Chronic Migraine. J. Clin. Med. 2021, 10, 3805. [Google Scholar] [CrossRef]
- Liang, Z.; Thomas, L.; Jull, G.; Treleaven, J. Cervical musculoskeletal impairments in migraine. Arch. Physiother. 2021, 11, 27. [Google Scholar] [CrossRef]
- Florencio, L.L.; de Oliveira, A.S.; Pinheiro, C.F.; Will-Lemos, T.; Dach, F.; Fernández-de-Las-Peñas, C.; Bevilaqua-Grossi, D. Comparison of cervical muscle isometric force between migraine subgroups or migraine-associated neck pain: A controlled study. Sci. Rep. 2021, 11, 15434. [Google Scholar]
- Ferreira, M.C.; Bevilaqua-Grossi, D.; Speciali, J.G.; Gonçalves, M.C.; Chaves, T.C. Body posture changes in women with migraine with and without temporomandibular disorders. Braz. J. Phys. Ther. 2014, 18, 19–29. [Google Scholar] [CrossRef]
- Falla, D.L.; Jull, G.A.; Hodges, P.W. Patients with neck pain demonstrate reduced electromyographic activity of the deep cervical flexor muscles during performance of the craniocervical flexion test. Spine 2004, 29, 2108–2114. [Google Scholar] [CrossRef]
- Aoyama, N. Involvement of cervical disability in migraine: A literature review. Br. J. Pain 2021, 15, 199–212. [Google Scholar] [CrossRef] [PubMed]
- Aurora, S.K.; Dodick, D.W.; Turkel, C.C.; DeGryse, R.E.; Silberstein, S.D.; Lipton, R.B.; Diener, H.C.; Brin, M.F.; PREEMPT 1 Chronic Migraine Study Group. OnabotulinumtoxinA for treatment of chronic migraine: Results from the double-blind, randomized, placebo-controlled phase of the PREEMPT 1 trial. Cephalalgia 2010, 30, 793–803. [Google Scholar] [CrossRef] [PubMed]
- Diener, H.C.; Dodick, D.W.; Aurora, S.K.; Turkel, C.C.; DeGryse, R.E.; Lipton, R.B.; Silberstein, S.D.; Brin, M.F. OnabotulinumtoxinA for treatment of chronic migraine: Results from the double-blind, randomized, placebo-controlled phase of the PREEMPT 2 trial. Cephalalgia 2010, 30, 804–814. [Google Scholar] [CrossRef] [PubMed]
- NICE Technology Appraisal Guidance 260 (2012) Botulinum Toxin Type A for the Prevention of Headaches in Adults with Chronic Migraine. Available online: https://www.nice.org.uk/guidance/ta260 (accessed on 27 June 2012).
- Bendtsen, L.; Sacco, S.; Ashina, M.; Mitsikostas, D.; Ahmed, F.; Pozo-Rosich, P.; Martelletti, P. Guideline on the use of onabotulinumtoxinA in chronic migraine: A consensus statement from the European Headache Federation. J. Headache Pain 2018, 19, 91. [Google Scholar] [CrossRef] [PubMed]
- Sacco, S.; Russo, A.; Geppetti, P.; Grazzi, L.; Negro, A.; Tassorelli, C.; Tedeschi, G.; Martelletti, P. What is changing in chronic migraine treatment? An algorithm for onabotulinumtoxinA treatment by the Italian chronic migraine group. Expert Rev. Neurother. 2020, 20, 1275–1286. [Google Scholar] [CrossRef] [PubMed]
- Blumenfeld, A.; Silberstein, S.D.; Dodick, D.W.; Aurora, S.K.; Turkel, C.C.; Binder, W.J. Method of injection of onabotulinumtoxinA for chronic migraine: A safe, well-tolerated, and effective treatment paradigm based on the PREEMPT clinical program. Headache 2010, 50, 1406–1418. [Google Scholar] [CrossRef]
- Gazerani, P.; Pedersen, N.S.; Staahl, C.; Drewes, A.M.; Arendt-Nielsen, L. Subcutaneous Botulinum toxin type A reduces capsaicin-induced trigeminal pain and vasomotor reactions in human skin. Pain 2009, 141, 60–69. [Google Scholar] [CrossRef]
- Meng, J.; Wang, J.; Lawrence, G.; Dolly, J.O. Synaptobrevin I mediates exocytosis of CGRP from sensory neurons and inhibition by botulinum toxins reflects their anti-nociceptive potential. J. Cell Sci. 2007, 120, 2864–2874. [Google Scholar] [CrossRef]
- Gazerani, P.; Staahl, C.; Drewes, A.M.; Arendt-Nielsen, L. The effects of Botulinum Toxin type A on capsaicin-evoked pain, flare, and secondary hyperalgesia in an experimental human model of trigeminal sensitization. Pain 2006, 122, 315–325. [Google Scholar] [CrossRef]
- Cui, M.; Khanijou, S.; Rubino, J.; Aoki, K.R. Subcutaneous administration of botulinum toxin A reduces formalin-induced pain. Pain 2004, 107, 125–133. [Google Scholar] [CrossRef]
- Durham, P.L.; Cady, R.; Cady, R. Regulation of calcitonin gene-related peptide secretion from trigeminal nerve cells by botulinum toxin type A: Implications for migraine therapy. Headache 2004, 44, 35–42. [Google Scholar] [CrossRef]
- Welch, M.J.; Purkiss, J.R.; Foster, K.A. Sensitivity of embryonic rat dorsal root ganglia neurons to Clostridium botulinum neurotoxins. Toxicon 2000, 38, 245–258. [Google Scholar] [CrossRef]
- Aydinlar, E.I.; Dikmen, P.Y.; Kocaman, A.S. Botulinum Toxin in Migraine Treatment. Nöropsikiyatri Arşivi 2013, 50 (Suppl. 1), S36. [Google Scholar]
- Torres-Ferrus, M.; Gallardo, V.J.; Alpuente, A.; Pozo-Rosich, P. Influence of headache pain intensity and frequency on migraine-related disability in chronic migraine patients treated with OnabotulinumtoxinA. J. Headache Pain 2020, 21, 88. [Google Scholar]
- Demiryurek, B.E.; Ertem, D.H.; Tekin, A.; Ceylan, M.; Aras, Y.G.; Gungen, B.D. Effects of onabotulinumtoxinA treatment on efficacy, depression, anxiety, and disability in Turkish patients with chronic migraine. Neurol. Sci. 2016, 37, 1779–1784. [Google Scholar] [CrossRef]
- Beckmann, Y.; Üncü, F.Ç.; İncesu, T.K.; Türe, S. Effectiveness, Safety, and Health-Related Quality of Life of Chronic Migraine Patients Treated with Onabotulinum Toxin, A. Eur. Neurol. 2020, 83, 517–522. [Google Scholar] [CrossRef]
- Vernon, H.; Mior, S. The Neck Disability Index: A study of reliability and validity. J. Manip. Physiol. Ther. 1991, 14, 409–415. [Google Scholar]
- Monticone, M.; Ferrante, S.; Vernon, H.; Rocca, B.; Dal Farra, F.; Foti, C. Development of the Italian Version of the Neck Disability Index: Cross-cultural adaptation, factor analysis, reliability, validity, and sensitivity to change. Spine 2012, 37, E1038–E1044. [Google Scholar] [CrossRef]
- Stewart, W.F.; Lipton, R.B.; Dowson, A.J.; Sawyer, J. Development and testing of the Migraine Disability Assessment (MIDAS) Questionnaire to assess headache- related disability. Neurology 2001, 56, S20–S28. [Google Scholar] [CrossRef]
- Stewart, W.F.; Lipton, R.B.; Whyte, J.; Dowson, A.; Kolodner, K.; Liberman, J.N.; Sawyer, J. An international study to assess reliability of the Migraine Disability Assessment (MIDAS) score. Neurology 1999, 53, 988–994. [Google Scholar] [CrossRef]
- D’Amico, D.; Mosconi, P.; Genco, S.; Usai, S.; Prudenzano, A.M.; Grazzi, L.; Leone, M.; Puca, F.M.; Bussone, G. The Migraine Disability Assessment (MIDAS) questionnaire: Translation and reliability of the Italian version. Cephalalgia 2001, 21, 947–952. [Google Scholar] [CrossRef] [PubMed]
- Ashina, M.; Goadsby, P.J.; Reuter, U.; Silberstein, S.; Dodick, D.W.; Xue, F.; Zhang, F.; da Silva Lima, G.P.; Cheng, S.; Mikol, D.D. Long-term efficacy and safety of erenumab in migraine prevention: Results from a 5-year, open-label treatment phase of a randomized clinical trial. Eur. J. Neurol. 2021, 28, 1716–1725. [Google Scholar] [PubMed]
- Sandrini, G.; Perrotta, A.; Tassorelli, C.; Torelli, P.; Brighina, F.; Sances, G.; Nappi, G. Botulinum toxin type-A in the prophylactic treatment of medication-overuse headache: A multicenter, double-blind, randomized, placebo-controlled, parallel group study. J. Headache Pain 2011, 12, 427–433. [Google Scholar] [CrossRef] [PubMed]
- Mathew, N.T.; Jaffri, S.F.A. double-blind comparison of onabotulinumtoxina (BOTOX®) and topiramate (TOPAMAX®) for the prophylactic treatment of chronic migraine: A pilot study. Headache 2009, 49, 1466–1478. [Google Scholar] [CrossRef] [PubMed]
- Blumenfeld, A.M.; Schim, J.D.; Chippendale, T.J. Botulinum toxin type A and divalproex sodium for prophylactic treatment of episodic or chronic migraine. Headache 2008, 48, 210–220. [Google Scholar] [CrossRef] [PubMed]
- Ruggeri, M. The cost effectiveness of Botox in Italian patients with chronic migraine. Neurol. Sci. 2014, 35, 45–47. [Google Scholar] [PubMed]
- Naderinabi, B.; Saberi, A.; Hashemi, M.; Haghighi, M.; Biazar, G.; Gharehdaghi, F.A.; Sedighinejad, A.; Chavoshi, T. Acupuncture and botulinum toxin A injection in the treatment of chronic migraine: A randomized controlled study. Casp. J. Intern. Med. 2017, 8, 196. [Google Scholar]
- Ozon, O.A. Does the efficacy of different doses of Botulinum neurotoxin in chronic migraine change in terms of age and sex? Gülhane Tip Dergisi 2020, 62, 51. [Google Scholar]
- Ornello, R.; Baraldi, C.; Ahmed, F.; Negro, A.; Miscio, A.M.; Santoro, A.; Alpuente, A.; Russo, A.; Silvestro, M.; Cevoli, S.; et al. Excellent Response to OnabotulinumtoxinA: Different Definitions, Different Predictors. Int. J. Environ. Res. Public Health 2022, 19, 10975. [Google Scholar] [CrossRef]
- Shaterian, N.; Shaterian, N.; Ghanaatpisheh, A.; Abbasi, F.; Daniali, S.; Jahromi, M.J.; Sanie, M.S.; Abdoli, A. Botox (OnabotulinumtoxinA) for Treatment of Migraine Symptoms: A Systematic Review. Pain Res. Manag. 2022, 2022, 3284446. [Google Scholar] [CrossRef]
- Herd, C.P.; Tomlinson, C.L.; Rick, C.; Scotton, W.J.; Edwards, J.; Ives, N.J.; Clarke, C.E.; Sinclair, A.J. Cochrane systematic review and meta-analysis of botulinum toxin for the prevention of migraine. BMJ Open 2019, 9, e027953. [Google Scholar] [CrossRef]
- Dodick, D.W.; Turkel, C.C.; DeGryse, R.E.; Aurora, S.K.; Silberstein, S.D.; Lipton, R.B.; Diener, H.C.; Brin, M.F. PREEMPT Chronic Migraine Study Group. OnabotulinumtoxinA for treatment of chronic migraine: Pooled results from the double-blind, randomized, placebo-controlled phases of the PREEMPT clinical program. Headache 2010, 50, 921–936. [Google Scholar] [CrossRef]
- Silberstein, S.D.; Dodick, D.W.; Aurora, S.K.; Diener, H.C.; DeGryse, R.E.; Lipton, R.B.; Turkel, C.C. Percent of patients with chronic migraine who responded per onabotulinumtoxinA treatment cycle: PREEMPT. J. Neurol. Neurosurg. Psychiatry 2015, 86, 996–1001. [Google Scholar] [CrossRef]
- Lipton, R.B.; Bigal, M.E.; Kolodner, K.; Stewart, W.F.; Liberman, J.N.; Steiner, T.J. The family impact of migraine: Population-based studies in the USA and UK. Cephalalgia 2003, 23, 429–440. [Google Scholar] [CrossRef]
- Blumenfeld, A.M.; Varon, S.F.; Wilcox, T.K.; Buse, D.C.; Kawata, A.K.; Manack, A.; Goadsby, P.J.; Lipton, R.B. Disability, HRQoL and resource use among chronic and episodic migraineurs: Results from the International Burden of Migraine Study (IBMS). Cephalalgia 2011, 31, 301–315. [Google Scholar] [CrossRef]
- Kollewe, K.; Escher, C.M.; Wulff, D.U.; Fathi, D.; Paracka, L.; Mohammadi, B.; Karst, M.; Dressler, D. Long-term treatment of chronic migraine with OnabotulinumtoxinA: Efficacy, quality of life and tolerability in a real-life setting. J. Neural. Transm. 2016, 123, 533–540. [Google Scholar] [CrossRef]
- Lipton, R.B.; Rosen, N.L.; Ailani, J.; DeGryse, R.E.; Gillard, P.J.; Varon, S.F. OnabotulinumtoxinA improves quality of life and reduces impact of chronic migraine over one year of treatment: Pooled results from the PREEMPT randomized clinical trial program. Cephalalgia 2016, 36, 899–908. [Google Scholar] [CrossRef]
- Duru, G.; Auray, J.P.; Gaudin, A.F.; Dartigues, J.F.; Henry, P.; Lantéri-Minet, M.; Lucas, C.; Pradalier, A.; Chazot, G.; Hasnaoui, A.E. Impact of headache on quality of life in a general population survey in France (GRIM2000 Study). Headache 2004, 44, 571–580. [Google Scholar] [CrossRef]
- Kollewe, K.; Gaul, C.; Gendolla, A.; Sommer, K. Real-life use of onabotulinumtoxinA reduces healthcare resource utilization in individuals with chronic migraine: The REPOSE study. J. Headache Pain 2021, 22, 50. [Google Scholar] [CrossRef]
- Hansson-Hedblom, A.; Axelsson, I.; Jacobson, L.; Tedroff, J.; Borgström, F. Economic consequences of migraine in Sweden and implications for the cost-effectiveness of onabotulinumtoxinA (Botox) for chronic migraine in Sweden and Norway. J. Headache Pain 2020, 21, 99. [Google Scholar] [CrossRef]
- Khanal, S.; Underwood, M.; Naghdi, S.; Brown, A.; Duncan, C.; Matharu, M.; Mistry, H. A systematic review of economic evaluations of pharmacological treatments for adults with chronic migraine. J. Headache Pain 2022, 23, 122. [Google Scholar] [CrossRef] [PubMed]
- Ahmed, F.; Gaul, C.; García-Moncó, J.C.; Sommer, K.; Martelletti, P. REPOSE Principal Investigators. An open-label prospective study of the real-life use of onabotulinumtoxinA for the treatment of chronic migraine: The REPOSE study. J. Headache Pain 2019, 20, 26. [Google Scholar] [CrossRef]
- Jackson, J.L.; Kuriyama, A.; Hayashino, Y. Botulinum toxin A for prophylactic treatment of migraine and tension headaches in adults: A meta-analysis. J. Am. Med. Assoc. 2012, 307, 1736–1745. [Google Scholar]
- Dermitzakis, E.V.; Vikelis, M.; Vlachos, G.S.; Argyriou, A.A. Prospective Comparison of Longer Needle Lengths to Assess the Risk of OnabotulinumtoxinA-Associated Neck Pain in Patients with Chronic Migraine. Toxins 2022, 14, 434. [Google Scholar] [CrossRef] [PubMed]
- Winner, P.K.; Blumenfeld, A.M.; Eross, E.J.; Orejudos, A.C.; Mirjah, D.L.; Adams, A.M.; Brin, M.F. Long-Term Safety and Tolerability of OnabotulinumtoxinA Treatment in Patients with Chronic Migraine: Results of the COMPEL Study. Drug Saf. 2019, 42, 1013–1024. [Google Scholar] [CrossRef]
- Aurora, S.K.; Winner, P.; Freeman, M.C.; Spierings, E.L.; Heiring, J.O.; DeGryse, R.E.; VanDenburgh, A.M.; Nolan, M.E.; Turkel, C.C. OnabotulinumtoxinA for treatment of chronic migraine: Pooled analyses of the 56-week PREEMPT clinical program. Headache 2011, 51, 1358–1373. [Google Scholar] [CrossRef]
- Talari, K.; Goyal, M. Retrospective studies-utility and caveats. J. R. Coll Physicians Edinb. 2020, 50, 398–402. [Google Scholar] [CrossRef]
- Martelletti, P.; Luciani, M.; Spuntarelli, V.; Bentivegna, E. Deprescribing in migraine. Expert Opin. Drug Saf. 2021, 20, 623–625. [Google Scholar] [CrossRef]
- Martelletti, P. Combination therapy in migraine: Asset or issue? Expert Rev. Neurother. 2020, 20, 995–996. [Google Scholar] [CrossRef]
- Price, D.D.; McGrath, P.A.; Rafii, A.; Buckingham, B. The validation of visual analogue scales as ratio scale measures for chronic and experimental pain. Pain 1983, 17, 45–56. [Google Scholar]
- Kosinski, M.; Bayliss, M.S.; Bjorner, J.B.; Ware, J.E.; Garber, W.H., Jr.; Batenhorst, A.; Cady, R.; Dahlöf, C.G.; Dowson, A.; Tepper, S. A six-item short-form survey for measuring headache impact: The HIT-6. Qual. Life Res. 2003, 12, 963–974. [Google Scholar] [CrossRef]
- Bayliss, M.S.; Dewey, J.E.; Dunlap, I.; Batenhorst, A.S.; Cady, R.; Diamond, M.; Shefyell, F.A. study of the feasibility of Internet administration of a computerized health survey: The headache impact test (HIT). Qual. Life Res. 2003, 12, 953–961. [Google Scholar] [CrossRef]
- Gandek, B.; Alacoque, J.; Uzun, V.; Andrew-Hobbs, M.; Davis, K. Translating the short form Headache Impact Test (HIT-6) in 27 countries: Methodological and conceptual issues. Qual. Life Res. 2003, 12, 975–979. [Google Scholar] [CrossRef]
- Faul, F.; Erdfelder, E.; Lang, A.G.; Buchner, A. G*Power 3: A flexible statistical power analysis program for the social, behavioral, and biomedical sciences. Behav. Res. Methods 2007, 39, 175–191. [Google Scholar] [CrossRef]

| Variables | Mean (SD) or Median (Min–Max) or n (%) |
|---|---|
| Age (years) | 53.38 ± 12.36 |
| Sex Female Male | 120 (89.55%) 14 (10.45%) |
| BMI (kg/m2) | 23.9 (14.70–36.60) |
| Headache Diagnosis (years) | 20 (2–48) |
| Neck Pain Duration (months) | 132 (1–552) |
| Variables | Z | p-Value | Effect Size |
|---|---|---|---|
| Migraine Headache Intensity (VAS) | −9.922 | 0.000 * | 0.85 |
| Migraine Disability (MIDAS) | −9.856 | 0.000 * | 0.85 |
| Monthly Headache Days | −9.456 | 0.000 * | 0.81 |
| Neck Pain Intensity (VAS) | −9.351 | 0.000 * | 0.80 |
| Neck Disability (NDI) | −9.665 | 0.000 * | 0.83 |
| Quality of Life (HIT-6) | −9.666 | 0.000 * | 0.85 |
Disclaimer/Publisher’s Note: The statements, opinions and data contained in all publications are solely those of the individual author(s) and contributor(s) and not of MDPI and/or the editor(s). MDPI and/or the editor(s) disclaim responsibility for any injury to people or property resulting from any ideas, methods, instructions or products referred to in the content. |
© 2022 by the authors. Licensee MDPI, Basel, Switzerland. This article is an open access article distributed under the terms and conditions of the Creative Commons Attribution (CC BY) license (https://creativecommons.org/licenses/by/4.0/).
Share and Cite
Onan, D.; Bentivegna, E.; Martelletti, P. OnabotulinumtoxinA Treatment in Chronic Migraine: Investigation of Its Effects on Disability, Headache and Neck Pain Intensity. Toxins 2023, 15, 29. https://doi.org/10.3390/toxins15010029
Onan D, Bentivegna E, Martelletti P. OnabotulinumtoxinA Treatment in Chronic Migraine: Investigation of Its Effects on Disability, Headache and Neck Pain Intensity. Toxins. 2023; 15(1):29. https://doi.org/10.3390/toxins15010029
Chicago/Turabian StyleOnan, Dilara, Enrico Bentivegna, and Paolo Martelletti. 2023. "OnabotulinumtoxinA Treatment in Chronic Migraine: Investigation of Its Effects on Disability, Headache and Neck Pain Intensity" Toxins 15, no. 1: 29. https://doi.org/10.3390/toxins15010029
APA StyleOnan, D., Bentivegna, E., & Martelletti, P. (2023). OnabotulinumtoxinA Treatment in Chronic Migraine: Investigation of Its Effects on Disability, Headache and Neck Pain Intensity. Toxins, 15(1), 29. https://doi.org/10.3390/toxins15010029

