Occurrence and Toxicogenetic Profiling of Clostridium perfringens in Buffalo and Cattle: An Update from Pakistan
Abstract
1. Introduction
2. Results
2.1. Geographical Distribution of C. perfringens Toxinotypes in Sampled Areas of Punjab Province in Pakistan
2.2. Isolation of Toxinotypes Isolated from C. perfringens in Buffalo and Cattle
2.3. Principal Component Analysis of Toxinotypes in Buffalo and Cattle
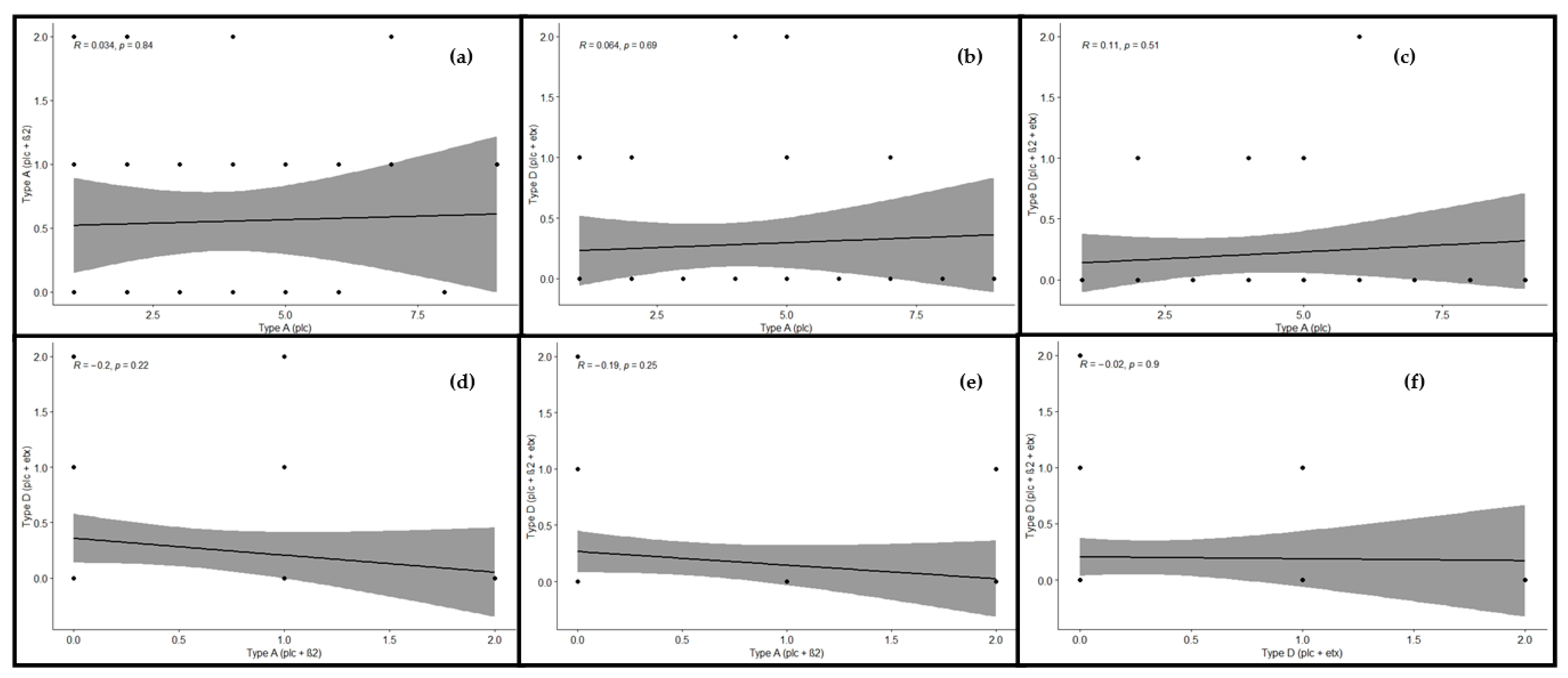
2.4. Correlation among the Toxinotypes of C. perfringens in Buffalo
2.5. Correlation among the Toxinotypes of C. perfringens in Cattle
2.6. Cluster Analysis of C. perfringens Toxinotypes in Buffalo and Cattle
2.7. Optimization of All Toxinotypes in C. perfringens of Buffalo and Cattle Using Response Surface Methodology
3. Discussion
4. Conclusions
5. Materials and Methods
5.1. Sample Collection
5.2. Isolation of Bacterial Strains
5.3. Extraction of Bacterial DNA
5.4. 16S rRNA Gene Sequence Analysis
5.5. Assessment of Toxin Production by C. perfringens Isolates
5.6. Statistical Analysis
Author Contributions
Funding
Institutional Review Board Statement
Informed Consent Statement
Data Availability Statement
Acknowledgments
Conflicts of Interest
References
- GOP. Economic Survey of Pakistan; GOP: Islamabad, Pakistan, 2020.
- Rood, J.I. Virulence genes of Clostridium perfringens. Annu. Rev. Microbiol. 1998, 52, 333–360. [Google Scholar] [CrossRef] [PubMed]
- Popoff, M.R.; Bouvet, P. Clostridial toxins. Future Microbiol. 2009, 4, 1021–1064. [Google Scholar] [CrossRef] [PubMed]
- Revitt-Mills, S.A.; Rood, J.I.; Adams, V. Clostridium perfringens extracellular toxins and enzymes: 20 and counting. Microbiol. Aust. 2015, 36, 114–117. [Google Scholar] [CrossRef]
- Mantis, N.J. Vaccines against the category B toxins: Staphylococcal enterotoxin B, epsilon toxin and ricin. Adv. Drug Deliv. Rev. 2005, 57, 1424–1439. [Google Scholar] [CrossRef] [PubMed]
- Morris, W.E.; Goldstein, J.; Redondo, L.M.; Cangelosi, A.; Geoghegan, P.; Brocco, M.; Loidl, F.C.; Fernandez-Miyakawa, M.E. Clostridium perfringens epsilon toxin induces permanent neuronal degeneration and behavioral changes. Toxicon 2017, 130, 19–28. [Google Scholar] [CrossRef] [PubMed]
- Fernandez Miyakawa, M.E.; Redondo, L.M. Role of Clostridium perfringens Alpha, Beta, Epsilon and Iota Toxins in Enterotoxemia of Monogastrics and Ruminants; Springer: Dordrecht, The Netherlands, 2016. [Google Scholar]
- Rood, J.I.; McClane, B.A.; Songer, J.G.; Titball, R.W. The Clostridia: Molecular Biology and Pathogenesis; Academic Press: Cambridge, UK; London, UK, 1997; ISBN 0080542395. [Google Scholar]
- Roeder, B.L.; Chengappa, M.M.; Nagaraja, T.G.; Avery, T.B.; Kennedy, G.A. Experimental induction of abdominal tympany, abomasitis, and abomasal ulceration by intraruminal inoculation of Clostridium perfringens type A in neonatal calves. Am. J. Vet. Res. 1988, 49, 201–207. [Google Scholar]
- Canard, B.; Cole, S.T. Genome organization of the anaerobic pathogen Clostridium perfringens. Proc. Natl. Acad. Sci. USA 1989, 86, 6676–6680. [Google Scholar] [CrossRef]
- Awad, M.M.; Ellemor, D.M.; Boyd, R.L.; Emmins, J.J.; Rood, J.I. Synergistic effects of alpha-toxin and perfringolysin O in Clostridium perfringens-mediated gas gangrene. Infect. Immun. 2001, 69, 7904–7910. [Google Scholar] [CrossRef]
- Cavalcanti, M.T.H.; Porto, T.; Porto, A.L.F.; Brandi, I.V.; de Lima Filho, J.L.; Pessoa Junior, A. Large scale purification of Clostridium perfringens toxins: A review. Rev. Bras. Ciências Farm. 2004, 40, 151–164. [Google Scholar] [CrossRef]
- Verherstraeten, S.; Goossens, E.; Valgaeren, B.; Pardon, B.; Timbermont, L.; Vermeulen, K.; Schauvliege, S.; Haesebrouck, F.; Ducatelle, R.; Deprez, P. The synergistic necrohemorrhagic action of Clostridium perfringens perfringolysin and alpha toxin in the bovine intestine and against bovine endothelial cells. Vet. Res. 2013, 44, 45. [Google Scholar] [CrossRef] [PubMed]
- Goossens, E.; Verherstraeten, S.; Valgaeren, B.R.; Pardon, B.; Timbermont, L.; Schauvliege, S.; Rodrigo-Mocholí, D.; Haesebrouck, F.; Ducatelle, R.; Deprez, P.R. The C-terminal domain of Clostridium perfringens alpha toxin as a vaccine candidate against bovine necrohemorrhagic enteritis. Vet. Res. 2016, 47, 52. [Google Scholar] [CrossRef]
- Valgaeren, B.; Pardon, B.; Goossens, E.; Verherstraeten, S.; Schauvliege, S.; Timbermont, L.; Ducatelle, R.; Deprez, P.; Van Immerseel, F. Lesion development in a new intestinal loop model indicates the involvement of a shared Clostridium perfringens virulence factor in haemorrhagic enteritis in calves. J. Comp. Pathol. 2013, 149, 103–112. [Google Scholar] [CrossRef]
- Layana, J.E.; Miyakawa, M.E.F.; Uzal, F.A. Evaluation of different fluids for detection of Clostridium perfringens type D epsilon toxin in sheep with experimental enterotoxemia. Anaerobe 2006, 12, 204–206. [Google Scholar] [CrossRef] [PubMed]
- Filho, E.J.F.; Carvalho, A.U.; Assis, R.A.; Lobato, F.F.; Rachid, M.A.; Carvalho, A.A.; Ferreira, P.M.; Nascimento, R.A.; Fernandes, A.A.; Vidal, J.E. Clinicopathologic features of experimental Clostridium perfringens type D enterotoxemia in cattle. Vet. Pathol. 2009, 46, 1213–1220. [Google Scholar] [CrossRef] [PubMed]
- Raman, T.; Muthukathan, G. Field suppression of Fusarium wilt disease in banana by the combined application of native endophytic and rhizospheric bacterial isolates possessing multiple functions. Phytopathol. Mediterr. 2015, 54, 241–252. [Google Scholar] [CrossRef]
- Hornitzky, M.A.Z.; Glastonbury, J. Enterotoxaemia in sheep, goats and cattle. In Australian Standard Diagnostic Techniques for Animal Diseases; Corner, L.A., Bagust, T.J., Eds.; Standing Committee on Agricultural and Resource Management, CSIRO: Melbourne, Australia, 1993; p. 5. [Google Scholar]
- Petit, L.; Gibert, M.; Popoff, M.R. Clostridium perfringens: Toxinotype and genotype. Trends Microbiol. 1999, 7, 104–110. [Google Scholar] [CrossRef]
- Rood, J.I.; Adams, V.; Lacey, J.; Lyras, D.; McClane, B.A.; Melville, S.B.; Moore, R.J.; Popoff, M.R.; Sarker, M.R.; Songer, J.G. Expansion of the Clostridium perfringens toxin-based typing scheme. Anaerobe 2018, 53, 5–10. [Google Scholar] [CrossRef]
- Sterne, M.; Batty, I. Criteria for diagnosing clostridial infection. Pathog. Clostridia 1975, 79–122. [Google Scholar]
- Aktories, K. Bacterial Toxins: Tools in Cell Biology and Pharmacology; John Wiley & Sons, WILEY-VCH Verlag GmbH & Co. KGaA: Weinheim, Germany, 2002; ISBN 978-3-527-30881-1. [Google Scholar]
- Hatheway, C.L. Toxigenic clostridia. Clin. Microbiol. Rev. 1990, 3, 66–98. [Google Scholar] [CrossRef]
- McClane, B.A.; Uzal, F.A.; Miyakawa, M.F.; Lyerly, D.; Wilkins, T. The enterotoxic clostridia. Prokaryotes 2006, 4, 698–752. [Google Scholar]
- McClane, B.A. An overview of Clostridium perfringens enterotoxin. Toxicon 1996, 34, 1335–1343. [Google Scholar] [CrossRef]
- Netherwood, T.; Binns, M.; Townsend, H.; Wood, J.L.N.; Mumford, J.A.; Chanter, N. The Clostridium perfringens enterotoxin from equine isolates; its characterization, sequence and role in foal diarrhoea. Epidemiol. Infect. 1998, 120, 193–200. [Google Scholar] [CrossRef]
- Jestin, A.; Popoff, M.R.; Mahe, S. Epizootiologic investigations of a diarrheic syndrome in fattening pigs. Am. J. Vet. Res. 1985, 46, 2149–2151. [Google Scholar] [PubMed]
- Hunter, S.E.; Brown, J.E.; Oyston, P.C.; Sakurai, J.; Titball, R.W. Molecular genetic analysis of beta-toxin of Clostridium perfringens reveals sequence homology with alpha-toxin, gamma-toxin, and leukocidin of Staphylococcus aureus. Infect. Immun. 1993, 61, 3958–3965. [Google Scholar] [CrossRef] [PubMed]
- Gibert, M.; Jolivet-Renaud, C.; Popoff, M.R. Beta2 toxin, a novel toxin produced by Clostridium perfringens. Gene 1997, 203, 65–73. [Google Scholar] [CrossRef]
- Forti, K.; Ferroni, L.; Pellegrini, M.; Cruciani, D.; de Giuseppe, A.; Crotti, S.; Papa, P.; Maresca, C.; Severi, G.; Marenzoni, M.L.; et al. Molecular characterization of Clostridium perfringens strains isolated in Italy. Toxins 2020, 12, 650. [Google Scholar] [CrossRef] [PubMed]
- Marks, S.L.; Kather, E.J.; Kass, P.H.; Melli, A.C. Genotypic and phenotypic characterization of Clostridium perfringens and Clostridium difficile in diarrheic and healthy dogs. J. Vet. Intern. Med. 2002, 16, 533–540. [Google Scholar] [CrossRef]
- Twedt, D. Clostridium perfringens–associated diarrhea in dogs. In American College of Veterinary Medicine 11th Annual Forum, Washington, DC; ACVIM: Greenwood Village, CO, USA, 1993; pp. 121–125. [Google Scholar]
- Rahman, M.S.; Sharma, R.K.; Borah, P.; Chakraborty, A.; Devi, M.R.K.; Longjam, N. Characterization of Clostridium perfringens isolated from mammals and birds from Guwahati city, India. J. Venom. Anim. Toxins Incl. Trop. Dis. 2012, 18, 83–87. [Google Scholar] [CrossRef][Green Version]
- Milton, A.A.P.; Agarwal, R.K.; Priya, G.B.; Saminathan, M.; Aravind, M.; Reddy, A.; Athira, C.K.; Ramees, T.; Sharma, A.K.; Kumar, A. Prevalence and molecular typing of Clostridium perfringens in captive wildlife in India. Anaerobe 2017, 44, 55–57. [Google Scholar] [CrossRef]
- Ferrarezi, M.C.; Cardoso, T.C.; Dutra, I.S. Genotyping of Clostridium perfringens isolated from calves with neonatal diarrhea. Anaerobe 2008, 14, 328–331. [Google Scholar] [CrossRef]
- Yadav, J.P.; Das, S.C.; Dhaka, P.; Vijay, D.; Kumar, M.; Mukhopadhyay, A.K.; Chowdhury, G.; Chauhan, P.; Singh, R.; Dhama, K. Molecular characterization and antimicrobial resistance profile of Clostridium perfringens type A isolates from humans, animals, fish and their environment. Anaerobe 2017, 47, 120–124. [Google Scholar] [CrossRef]
- Guran, H.S.; Oksuztepe, G. Detection and typing of C lostridium perfringens from retail chicken meat parts. Lett. Appl. Microbiol. 2013, 57, 77–82. [Google Scholar] [CrossRef] [PubMed]
- Miwa, N.; Nishina, T.; Kubo, S.; Honda, H. Most probable numbers of enterotoxigenic Clostridium perfringens in intestinal contents of domestic livestock detected by nested PCR. J. Vet. Med Sci. 1997, 59, 557–560. [Google Scholar] [CrossRef] [PubMed][Green Version]
- Haque, S.; Sharma, R.K.; Barman, N.N.; Devi, L.B.; Barkalita, L.M.; Hussain, I. Characterization of enterotoxin producing Clostridium perfringens isolated from foods of animal origin. Indian J. Anim. Res. 2018, 52, 111–115. [Google Scholar] [CrossRef][Green Version]
- Athira, C.K.; Milton, A.A.P.; Reddy, A.; Mekhemadhom Rajendrakumar, A.; Abhishek; Verma, M.R.; Kumar, A.; Nagaleekar, V.K.; Agarwal, R.K. Diversity of toxin-genotypes among Clostridium perfringens isolated from healthy and diarrheic neonatal cattle and buffalo calves. Anaerobe 2018, 49, 99–102. [Google Scholar] [CrossRef]
- Møller, K.; Ahrens, P. Comparison of Toxicity Neutralization-, ELISA-and PCR Tests for Typing of Clostridium perfringens and Detection of the Enterotoxin Gene by PCR. Anaerobe 1996, 2, 103–110. [Google Scholar] [CrossRef]
- Yamagishi, T.; Sugitani, K.; Tanishima, K.; Nakamura, S. Polymerase chain reaction test for differentiation of five toxin types of Clostridium perfringens. Microbiol. Immunol. 1997, 41, 295–299. [Google Scholar] [CrossRef]
- Yoo, H.S.; Lee, S.U.; Park, K.Y.; Park, Y.H. Molecular typing and epidemiological survey of prevalence of Clostridium perfringens types by multiplex PCR. J. Clin. Microbiol. 1997, 35, 228–232. [Google Scholar] [CrossRef]
- Daube, G.; Simon, P.; Limbourg, B.; Manteca, C.; Mainil, J.; Kaeckenbeeck, A. Hybridization of 2,659 Clostridium perfringens isolates with gene probes for seven toxins (alpha, beta, epsilon, iota, theta, mu, and enterotoxin) and for sialidase. Am. J. Vet. Res. 1996, 57, 496–501. [Google Scholar]
- Fach, P.; Popoff, M.R. Detection of enterotoxigenic Clostridium perfringens in food and fecal samples with a duplex PCR and the slide latex agglutination test. Appl. Environ. Microbiol. 1997, 63, 4232–4236. [Google Scholar] [CrossRef]
- Wieckowski, E.; Billington, S.; Songer, G.; McClane, B. Clostridium perfringens Type E Isolates Associated with Veterinary Infections Carry Silent Enterotoxin Gene Sequences. Zent. Fur Bakteriol. Suppl. 1998, 407–408. [Google Scholar]
- Riazi, F.; Zeynali, F.; Hoseini, E.; Behmadi, H. Determination of the Minimum Inhibitory Concentration of the Barberry Extract and the Dried Residue of Red Grape and Their Effects on the Growth Inhibition of Sausage Bacteria by Using Response Surface Methodology (RSM). Nutr. Food Sci. Res. 2015, 2, 55–63. [Google Scholar]
- Gilmour, S.G. Response surface designs for experiments in bioprocessing. Biometrics 2006, 62, 323–331. [Google Scholar] [CrossRef] [PubMed]
- Teófilo, R.F.; Ferreira, M. Quimiometria II: Planilhas eletrônicas para cálculos de planejamentos experimentais, um tutorial. Química Nova 2006, 29, 338–350. [Google Scholar] [CrossRef]
- Bruns, R.E.; Scarminio, I.S.; de Barros Neto, B. Statistical Design-Chemometrics; Elsevier: Amsterdam, The Netherlands, 2006; ISBN 0080462138. [Google Scholar]
- Hanrahan, G.; Lu, K. Application of factorial and response surface methodology in modern experimental design and optimization. Crit. Rev. Anal. Chem. 2006, 36, 141–151. [Google Scholar] [CrossRef]
- Lundstedt, T.; Seifert, E.; Abramo, L.; Thelin, B.; Nyström, Å.; Pettersen, J.; Bergman, R. Experimental design and optimization. Chemom. Intell. Lab. Syst. 1998, 42, 3–40. [Google Scholar] [CrossRef]
- Bezerra, M.A.; Santelli, R.E.; Oliveira, E.P.; Villar, L.S.; Escaleira, L.A. Response surface methodology (RSM) as a tool for optimization in analytical chemistry. Talanta 2008, 76, 965–977. [Google Scholar] [CrossRef]
- Otto, M. Chemometrics: Statistics and Computer Application in Analytical Chemistry; Wiley: Hoboken, NJ, USA, 1999. [Google Scholar]
- Ferreira, S.L.C.; Bruns, R.E.; Ferreira, H.S.; Matos, G.D.; David, J.M.; Brandao, G.C. EGP da. Silva, LA Portugal, PS dos. Reis, AS Souza and WNL dos. Santos, Box–Behnken design: An alternative for the optimization of analytical methods. Anal. Chim. Acta 2007, 597, 179–186. [Google Scholar] [CrossRef]
- López, R.; Goñi, F.; Etxandia, A.; Millán, E. Determination of organochlorine pesticides and polychlorinated biphenyls in human serum using headspace solid-phase microextraction and gas chromatography-electron capture detection. J. Chromatogr. B 2007, 846, 298–305. [Google Scholar] [CrossRef]
- Svensson, C.; Linder, A.; Olsson, S.-O. Mortality in Swedish dairy calves and replacement heifers. J. Dairy Sci. 2006, 89, 4769–4777. [Google Scholar] [CrossRef]
- Meer, R.R.; Songer, J.G. Multiplex polymerase chain reaction assay for genotyping Clostridium perfringens. Am. J. Vet. Res. 1997, 58, 702. [Google Scholar] [PubMed]













| Sampling Areas | Buffalo | Cattle | ||||||||||||||
|---|---|---|---|---|---|---|---|---|---|---|---|---|---|---|---|---|
| Type A (plc) | Type A (plc + β2) | Type D (plc + etx) | Type D (plc + β2 + etx) | Type A (plc) | Type A (plc + β2) | Type D (plc + etx) | Type D (plc + β2 + etx) | |||||||||
| Central Punjab | ||||||||||||||||
| Frequency | %age | Frequency | %age | Frequency | %age | Frequency | %age | Frequency | %age | Frequency | %age | Frequency | %age | Frequency | %age | |
| Lahore | 22/40 | 55 | 3/40 | 7.5 | 1/40 | 2.5 | 1/40 | 2.5 | 27/40 | 67.5 | 3/40 | 7.5 | 1/40 | 2.5 | 1/40 | 2.5 |
| Sahiwal | 23/40 | 57.5 | 4/40 | 10 | 2/40 | 5 | 1/40 | 2.5 | 28/40 | 70 | 6/40 | 15 | 1/40 | 2.5 | 1/40 | 2.5 |
| Cheecha Watni | 27/40 | 67.5 | 5/40 | 12.5 | 2/40 | 5 | 2/40 | 5 | 33/40 | 82.5 | 5/40 | 12.5 | 1/40 | 2.5 | 2/40 | 5 |
| Total | 72/120 | 60% | 12/120 | 10% | 5/120 | 4.17% | 4/120 | 3.33% | 88/120 | 73.33% | 14/120 | 11.67% | 3/120 | 2.5% | 4/120 | 3.33% |
| Southern Punjab | ||||||||||||||||
| Bahawalpur | 21/40 | 52.5 | 4/40 | 10 | 1/40 | 2.5 | 1/40 | 2.5 | 24/40 | 60 | 4/40 | 10 | 2/40 | 5 | 1/40 | 2.5 |
| Bhakkar | 25/40 | 62.5 | 3/40 | 7.5 | 3/40 | 7.5 | 2/40 | 5 | 25/40 | 62.5 | 6/40 | 15 | 2/40 | 5 | 1/40 | 2.5 |
| D.G. Khan | 31/40 | 77.5 | 3/40 | 7.5 | 2/40 | 5 | 1/40 | 2.5 | 20/40 | 50 | 3/40 | 7.5 | 1/40 | 2.5 | 1/40 | 2.5 |
| Total | 77/120 | 64.17% | 10/120 | 8.33% | 7/120 | 5% | 4/120 | 3.33% | 69/120 | 57.5% | 13/120 | 10.83% | 5/120 | 4.17% | 3/120 | 2.5% |
| Grand Total | 149/240 | 62.08% | 22/240 | 9.17% | 11/240 | 4.58% | 8/240 | 3.33% | 157/240 | 65.42% | 21/240 | 11.25% | 8/240 | 3.34% | 7/240 | 2.92% |
| Toxinotypes | Coded Symbol | Range | |||
|---|---|---|---|---|---|
| Buffalo | Cattle | ||||
| −1 | +1 | −1 | +1 | ||
| Type A (plc) | A | 21 | 31 | 20 | 33 |
| Type A (plc + β2) | B | 3 | 5 | 3 | 6 |
| Type D (plc + etx) | C | 1 | 3 | 1 | 2 |
| Type D (plc + β2 + etx) | D | 1 | 2 | 1 | 2 |
| Source | Sum of Squares | Degree of Freedom | Mean Square | F-Value | p-Value |
|---|---|---|---|---|---|
| Model | 4.88 | 14 | 0.3483 | 91.86 | <0.0001 |
| A-Type A (plc) | 2.09 | 1 | 2.09 | 550.39 | <0.0001 |
| B-Type A (plc + β2) | 1.79 | 1 | 1.79 | 472.93 | <0.0001 |
| C-Type D (plc + etx) | 0.7846 | 1 | 0.7846 | 206.93 | <0.0001 |
| D-Type D (plc + β2 + etx) | 0.0001 | 1 | 0.0001 | 0.0360 | 0.0500 |
| AB | 0.0204 | 1 | 0.0204 | 5.38 | 0.0360 |
| AC | 0.0095 | 1 | 0.0095 | 2.50 | 0.0160 |
| AD | 0.0000 | 1 | 0.0000 | 0.0000 | 1.0000 |
| BC | 0.0307 | 1 | 0.0307 | 8.08 | 0.0130 |
| BD | 0.0002 | 1 | 0.0002 | 0.0538 | 0.0199 |
| CD | 0.0680 | 1 | 0.0680 | 17.93 | 0.0008 |
| A² | 9.264 × 10−6 | 1 | 9.264 × 10−6 | 0.0024 | 0.0313 |
| B² | 0.0255 | 1 | 0.0255 | 6.74 | 0.0212 |
| C² | 0.0414 | 1 | 0.0414 | 10.91 | 0.0052 |
| D² | 0.0001 | 1 | 0.0001 | 0.0263 | 0.0136 |
| Residual | 0.0531 | 14 | 0.0038 | ||
| Lack of Fit | 0.0031 | 10 | 0.00031 | 0.0248 | 0.8371 |
| Pure Error | 0.05 | 4 | 0.0125 | ||
| Cor Total | 4.93 | 28 |
| Runs | Type A (plc) | Type A (plc + β2) | Type D (plc + etx) | Type D (plc + β2 + etx) | Buffalo (No.) | |
|---|---|---|---|---|---|---|
| Observed Values | Predicted Values | |||||
| 1 | 21 | 4 | 1 | 2 | 3 | 2 |
| 2 | 26 | 4 | 2 | 2 | 3 | 2 |
| 3 | 21 | 5 | 2 | 2 | 2 | 1 |
| 4 | 21 | 3 | 2 | 2 | 3 | 2 |
| 5 | 26 | 3 | 1 | 2 | 4 | 3 |
| 6 | 21 | 4 | 2 | 2 | 2 | 1 |
| 7 | 26 | 4 | 2 | 2 | 3 | 2 |
| 8 | 31 | 4 | 1 | 2 | 3 | 2 |
| 9 | 31 | 5 | 2 | 2 | 3 | 2 |
| 10 | 26 | 5 | 2 | 2 | 3 | 1 |
| 11 | 31 | 3 | 2 | 2 | 4 | 3 |
| 12 | 26 | 5 | 2 | 1 | 2 | 1 |
| 13 | 26 | 5 | 3 | 2 | 2 | 1 |
| 14 | 31 | 4 | 2 | 1 | 3 | 2 |
| 15 | 26 | 3 | 2 | 1 | 3 | 2 |
| 16 | 26 | 3 | 2 | 2 | 3 | 2 |
| 17 | 26 | 4 | 2 | 2 | 3 | 2 |
| 18 | 26 | 5 | 1 | 2 | 3 | 2 |
| 19 | 26 | 4 | 2 | 2 | 3 | 2 |
| 20 | 26 | 4 | 2 | 2 | 3 | 2 |
| 21 | 21 | 4 | 3 | 2 | 2 | 1 |
| 22 | 21 | 4 | 2 | 1 | 2 | 1 |
| 23 | 31 | 4 | 2 | 2 | 3 | 2 |
| 24 | 26 | 4 | 1 | 1 | 3 | 2 |
| 25 | 26 | 4 | 3 | 1 | 2 | 1 |
| 26 | 26 | 4 | 3 | 2 | 3 | 2 |
| 27 | 26 | 3 | 3 | 2 | 3 | 2 |
| 28 | 31 | 4 | 3 | 2 | 3 | 2 |
| 29 | 26 | 4 | 1 | 2 | 3 | 2 |
| Source | Sum of Squares | Degree of Freedom | Mean Square | F-Value | p-Value |
|---|---|---|---|---|---|
| Model | 8.13 | 14 | 0.5804 | 190.91 | <0.0001 |
| A-Type A (plc) | 3.50 | 1 | 3.50 | 1150.20 | <0.0001 |
| B-Type A (plc + β2) | 4.12 | 1 | 4.12 | 1355.95 | <0.0001 |
| C-Type D (plc + etx) | 0.0709 | 1 | 0.0709 | 23.31 | 0.0003 |
| D-Type D (plc + β2 + etx) | 0.0709 | 1 | 0.0709 | 23.31 | 0.0003 |
| AB | 0.0835 | 1 | 0.0835 | 27.45 | 0.0001 |
| AC | 0.0017 | 1 | 0.0017 | 0.5711 | 0.0424 |
| AD | 0.0017 | 1 | 0.0017 | 0.5711 | 0.0424 |
| BC | 0.0074 | 1 | 0.0074 | 2.44 | 0.0147 |
| BD | 0.0074 | 1 | 0.0074 | 2.44 | 0.0147 |
| CD | 0.0533 | 1 | 0.0533 | 17.52 | 0.0009 |
| A² | 0.0012 | 1 | 0.0012 | 0.3928 | 0.0149 |
| B² | 0.0988 | 1 | 0.0988 | 32.49 | <0.0001 |
| C² | 0.0357 | 1 | 0.0357 | 11.73 | 0.0041 |
| D² | 0.0357 | 1 | 0.0357 | 11.73 | 0.0041 |
| Residual | 0.0426 | 14 | 0.0030 | ||
| Lack of Fit | 0.0026 | 10 | 0.0026 | 0.26 | 0.8934 |
| Pure Error | 0.04 | 4 | 0.01 | ||
| Cor Total | 8.17 | 28 |
| Runs | Type A (plc) | Type A (plc + β2) | Type D (plc + etx) | Type D (plc + β2 + etx) | Cattle | |
|---|---|---|---|---|---|---|
| Observed Values | Predicted Values | |||||
| 1 | 33 | 6 | 2 | 2 | 3 | 2 |
| 2 | 27 | 3 | 2 | 2 | 3 | 2 |
| 3 | 27 | 5 | 2 | 2 | 3 | 2 |
| 4 | 33 | 5 | 1 | 2 | 3 | 2 |
| 5 | 20 | 3 | 2 | 2 | 3 | 2 |
| 6 | 27 | 5 | 2 | 1 | 3 | 2 |
| 7 | 27 | 5 | 2 | 2 | 3 | 2 |
| 8 | 20 | 5 | 2 | 2 | 2 | 1 |
| 9 | 33 | 3 | 2 | 2 | 4 | 3 |
| 10 | 27 | 6 | 2 | 1 | 2 | 1 |
| 11 | 27 | 5 | 2 | 2 | 3 | 2 |
| 12 | 20 | 5 | 2 | 2 | 2 | 1 |
| 13 | 27 | 5 | 2 | 2 | 3 | 2 |
| 14 | 20 | 5 | 2 | 1 | 2 | 1 |
| 15 | 20 | 6 | 2 | 2 | 2 | 1 |
| 16 | 27 | 6 | 2 | 2 | 2 | 1 |
| 17 | 33 | 5 | 2 | 2 | 3 | 2 |
| 18 | 27 | 5 | 2 | 2 | 3 | 2 |
| 19 | 27 | 5 | 1 | 1 | 3 | 2 |
| 20 | 27 | 3 | 2 | 2 | 3 | 2 |
| 21 | 27 | 5 | 1 | 2 | 3 | 2 |
| 22 | 33 | 5 | 2 | 1 | 3 | 2 |
| 23 | 27 | 6 | 2 | 2 | 2 | 1 |
| 24 | 20 | 5 | 1 | 2 | 2 | 1 |
| 25 | 27 | 6 | 1 | 2 | 2 | 1 |
| 26 | 27 | 3 | 2 | 1 | 4 | 3 |
| 27 | 27 | 3 | 1 | 2 | 4 | 3 |
| 28 | 27 | 5 | 2 | 2 | 3 | 2 |
| 29 | 33 | 5 | 2 | 2 | 3 | 2 |
| Source | R2 | Adjusted R2 | Predicted R2 | Remarks |
|---|---|---|---|---|
| Model summary statistics for isolated toxinotypes (A and D) in Buffalo | ||||
| Linear | 0.1330 | 0.0115 | 0.3067 | |
| 2-Factor Interaction | 0.2280 | 0.2008 | 0.3266 | |
| Quadratic | 0.9842 | 0.8415 | 0.9695 | Suggested |
| Cubic | 0.8872 | 0.8262 | 0.9122 | Aliased |
| Model summary statistics for isolated toxinotypes (A and D) in Cattle | ||||
| Linear | 0.9501 | 0.9418 | 0.9219 | |
| 2-Factor Interaction | 0.9691 | 0.9519 | 0.8978 | |
| Quadratic | 0.9948 | 0.9896 | 0.9700 | Suggested |
| Cubic | 0.9969 | 0.9857 | 0.5577 | Aliased |
| Genes | Primer Sequences (5′–3′) | Size (bp) | References |
|---|---|---|---|
| plc | GCTAATGTTACTGCCGTTGACC CCTCTGATACATCGTGTAAG | 324 | (Meer and Songer, 1997) |
| β-2 toxin/Cbp-2 | GAAAGGTAATGGAGAATTATCTTAATGC GCAGAATCAGGATTTTGACCATATACC | 567 | (Meer and Songer, 1997) |
| cpb | GCGAATATGCTGAATCATCTA GCAGGAACATTAGTATATCTTC | 196 | (Meer and Songer, 1997) |
| etx | CCACTTACTTGTCCTACTAAC GCGGTGATATCCATCTATTC | 656 | (Meer and Songer, 1997) |
| cpe | GGAGATGGTTGGATATTAGG GGACCAGCAGTTGTAGATA | 233 | (Meer and Songer, 1997) |
| iap | GGAAAAGAAAATTATAGTGATTGG CCTGCATAACCTGGAATGGC | 461 | (Rood et al., 2018) |
| netB | CTTCTAGTGATACCGCTTCAC CGTTATATTCACTTGTTGACGAAAG | 738 | (Rood et al., 2018) |
Publisher’s Note: MDPI stays neutral with regard to jurisdictional claims in published maps and institutional affiliations. |
© 2021 by the authors. Licensee MDPI, Basel, Switzerland. This article is an open access article distributed under the terms and conditions of the Creative Commons Attribution (CC BY) license (http://creativecommons.org/licenses/by/4.0/).
Share and Cite
Khan, M.U.Z.; Humza, M.; Yang, S.; Alvi, M.A.; Iqbal, M.Z.; Zain-ul-Fatima, H.; Khalid, S.; Munir, T.; Cai, J. Occurrence and Toxicogenetic Profiling of Clostridium perfringens in Buffalo and Cattle: An Update from Pakistan. Toxins 2021, 13, 212. https://doi.org/10.3390/toxins13030212
Khan MUZ, Humza M, Yang S, Alvi MA, Iqbal MZ, Zain-ul-Fatima H, Khalid S, Munir T, Cai J. Occurrence and Toxicogenetic Profiling of Clostridium perfringens in Buffalo and Cattle: An Update from Pakistan. Toxins. 2021; 13(3):212. https://doi.org/10.3390/toxins13030212
Chicago/Turabian StyleKhan, Muhammad Umar Zafar, Muhammad Humza, Shunli Yang, Mughees Aizaz Alvi, Muhammad Zahid Iqbal, Hafiza Zain-ul-Fatima, Shumaila Khalid, Tahir Munir, and Jianping Cai. 2021. "Occurrence and Toxicogenetic Profiling of Clostridium perfringens in Buffalo and Cattle: An Update from Pakistan" Toxins 13, no. 3: 212. https://doi.org/10.3390/toxins13030212
APA StyleKhan, M. U. Z., Humza, M., Yang, S., Alvi, M. A., Iqbal, M. Z., Zain-ul-Fatima, H., Khalid, S., Munir, T., & Cai, J. (2021). Occurrence and Toxicogenetic Profiling of Clostridium perfringens in Buffalo and Cattle: An Update from Pakistan. Toxins, 13(3), 212. https://doi.org/10.3390/toxins13030212

