Algicidal Molecular Mechanism and Toxicological Degradation of Microcystis aeruginosa by White-Rot Fungi
Abstract
1. Introduction
2. Results and Discussion
2.1. The Algal Inhibition Effect of Ph. chrysosporium
2.2. PCR Amplification of the 16S rRNA Internal Standard Gene
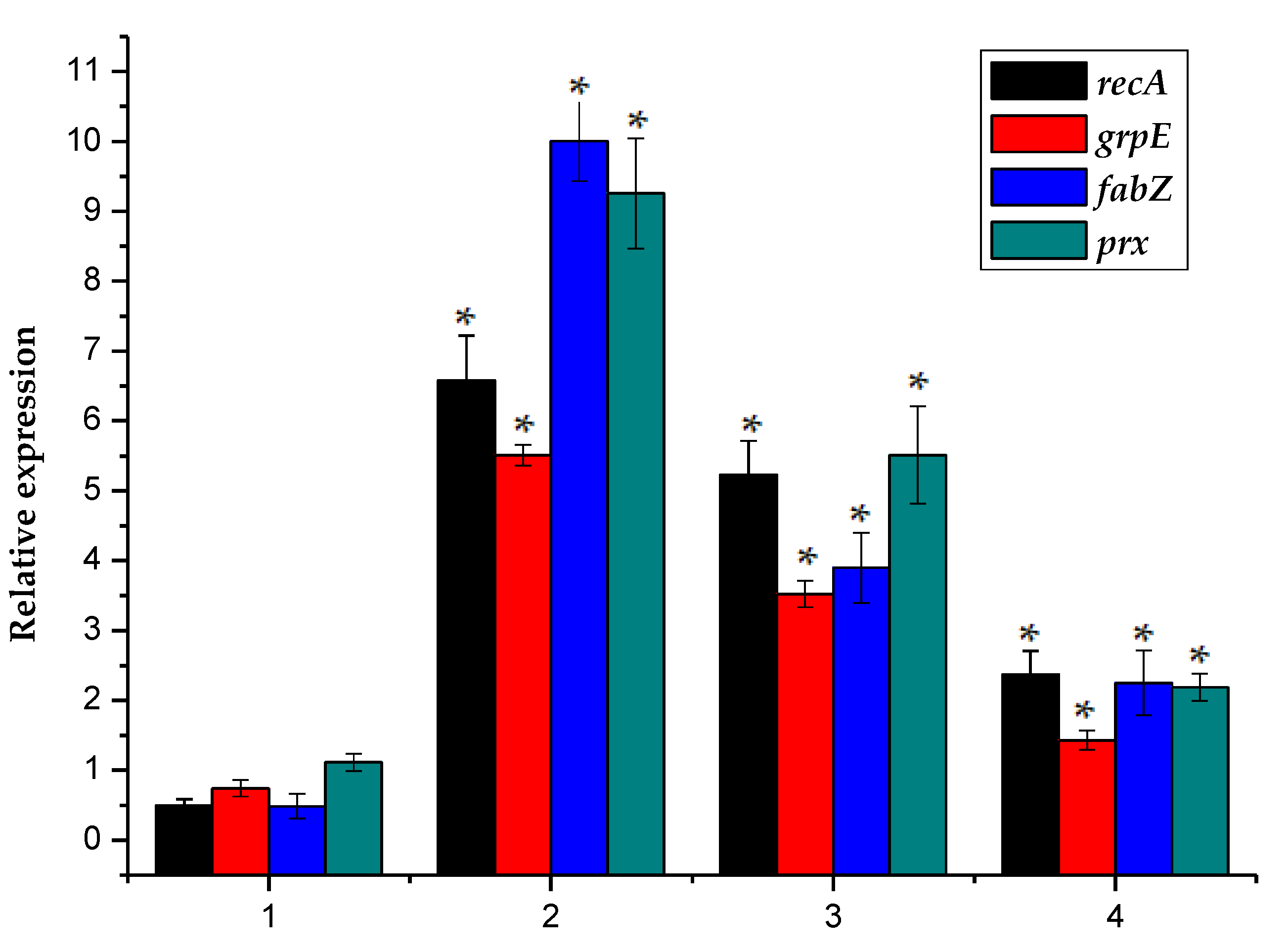
2.3. Effect of Ph. chrysosporium Treatment on the Transcription and Expression of Macromolecule Related Genes in Algal Cells
2.4. Effect of Phanerochaete Chrysosporium Treatment on the Transcription and Expression of Photosynthesis-Related Genes in Algal Cells
2.5. Effect of Phanerochaete Chrysosporium Treatment on the Transcription and Expression of Genes Related to Algal Toxin Synthesis
3. Conclusions
4. Materials and Methods
4.1. Algal Strains and Fungal Strains Cultivation
4.2. Total Chlorophyll-a Content Test
4.3. RNA Extraction
- Appropriate amounts of algae tissue were homogenized by grinding in liquid nitrogen for a short time while keeping liquid nitrogen in the mortar (the tissue sample volume did not exceed 10% of the PL volume).
- The sample was transferred to a 1.5 mL RNase-free centrifuge tube, and 1 mL of PL lysate was added. The sample was mixed by inversion and incubated at 65 °C for 5 min, to decompose the ribosomes completely.
- The sample was centrifuged at 12,000 rpm for 10 min at room temperature. The resulting supernatant was carefully transferred to a new RNase-free filter column (if floating matter was present on the surface of the supernatant, a pipette tip was used to separate and draw off the liquid below the surface).
- The filter column was centrifuged at 10,000 rpm for 45 s, and the filtrate (containing the total RNA) was collected in a collection tube.
- One volume of 70% ethanol was added to the collection tube, after first checking whether absolute ethanol had been added, and the sample was mixed by inversion (precipitation sometimes occurred at this stage). The resulting solution and the precipitate, if any, were transferred to an RA adsorption column. If the volume of solution was large, it was passed through the column in sections. The adsorption column can hold up to 700 μL of solution, and the adsorption column was sleeved in a collection tube.
- The adsorption column was centrifuged at 10,000 rpm for 45 s; the waste solution was discarded, and the column was returned to the collection tube.
- After checking whether absolute ethanol had been added to the rinsing solution, 500 μL of RW rinsing solution was added to the column, the column was centrifuged at 12,000 rpm for 60 s, and the waste solution was discarded.
- The RA adsorption column was returned to the empty collection tube and centrifuged at 12,000 rpm for 2 min, to remove as much of the rinsing solution as possible. This step is necessary because the residual ethanol in the rinsing solution inhibits the enzyme digestion reaction.
- Optionally, 30 μL of digestion solution was placed in the center of the adsorption membrane, and the sample was incubated at 37 °C for 15–30 min. The digestion solution consisted of 2 μL of RNase-free DNase, 3 μL of DNase 10× Reaction Buffer, and 25 μL of RNase-free water. The amount of RNase-free DNase was adjusted according to the amount of DNA; 1 μL of RNase-free DNase can digest 1 μg of RNA. The amount of reaction buffer was increased or decreased proportionally.
- Protein-removing solution RE (500 μL) was added to the adsorption membrane; following an incubation at room temperature for 2 min, the column was centrifuged at 12,000 rpm for 45 s, and the waste solution was discarded.
- After we checked if absolute ethanol had been added to the RW rinsing solution, 500 μL of rinsing solution was added, the sample was centrifuged at 12,000 rpm for 60 s, and the waste solution was discarded.
- Step 11 was repeated.
- The RA adsorption column was replaced in the empty collection tube and centrifuged at 12,000 rpm for 2 min, to remove as much of the rinsing solution as possible; this step was necessary to avoid having residual ethanol in the rinsing solution, which would inhibit the downstream reaction.
- The RA adsorption column was placed in an RNase-free centrifuge tube, and 50–80 μL of RNase-free water that had been heated to 65–70 °C in a water bath was placed in the center of the adsorption membrane. The volume of water used for this step was adjusted according to the expected RNA yield. The column was allowed to remain at room temperature for 2 min and was then centrifuged at 12,000 rpm for 1 min.
4.4. RNA Concentration Determination
4.5. Reverse Transcription PCR of Algal Cell mRNA
- Genomic DNA was removed by incubating the RNA sample (total RNA 700 ng) with 4.0 μL of 5× gDNA Eraser Buffer, 2.0 μL of gDNA Eraser, and RNase-free dH2O, in a total volume of 20 μL. The reaction system was incubated at 40 °C for 2 min and then stored at 4 °C in preparation for step 2.
- cDNA strand synthesis
- a)
- To a 0.2-mL EP tube, 20 μL of the reaction solution from step 1, 2 μL of primer, 2 μL of RNA Eraser, 8 μL of 5× RNA buffer, and 8 μL of RNase-free H2O were added, and the sample was mixed slightly.
- b)
- The sample was incubated sequentially at 25 °C for 5 min, 37 °C for 20 min, and 85 °C for 1 min. It was then stored at 4 °C for future use or at −20 °C for long-term storage.
4.6. PCR Amplification of the 16S rRNA Internal Standard Gene
4.7. Agarose Gel Electrophoresis
- The amount of agar powder necessary to produce a 1% agarose gel was placed in a conical flask, and an appropriate amount of TAE running buffer was added. The flask was microwaved to completely dissolve the agar powder and make the solution transparent, and it was shaken slightly to obtain a glue. When the solution reached approximately 60 °C, an appropriate amount of 4 s GelRed nucleic acid dye was added.
- The gel mold was placed horizontally, a comb was inserted at one end, and agarose solution at a temperature of approximately 60 °C was slowly poured into the groove, to form a uniform horizontal gel surface.
- When the gel had solidified, the comb was carefully removed by pulling upward, so that the cathode section at the end of the loading hole was placed in the electrophoresis tank.
- TAE running buffer was added to the tank until the liquid covered the gel surface.
- When the PCR reaction was complete, the samples were mixed with loading buffer in a suitable ratio and loaded into the gel wells, using a pipette.
- The power to the electrophoresis apparatus was turned on, and the voltage was adjusted to 100 V to stabilize the output.
- The position of the blue band formed by the bromophenol dye was observed. When it had traversed approximately 2/3 of the gel length, the electrophoresis was stopped.
- A piece of plastic wrap was placed on the sample table of the UV fluorometer, the air bubbles were removed, and the gel was placed on the surface. The outer door of the sample chamber was closed, the UV illumination (365 nm) was turned on, and the gel was observed through the observation port.
4.8. Real-Time PCR Experiment
4.9. Analytical Method
Author Contributions
Funding
Acknowledgments
Conflicts of Interest
References
- Rao, K.; Zhang, X.; Yi, X.J.; Li, Z.S.; Wang, P.; Huang, G.W.; Guo, X.X. Interactive effects of environmental factors on phytoplankton communities and benthic nutrient interactions in a shallow lake and adjoining rivers in China. Sci. Total Environ. 2018, 619, 1661–1672. [Google Scholar] [CrossRef] [PubMed]
- Smith, J.G.; Daniels, V. Algal blooms of the 18th and 19th centuries. Toxicon 2018, 142, 42–44. [Google Scholar] [CrossRef]
- Chen, Z.; Zhang, J.; Li, R.; Tian, F.; Shen, Y.; Xie, X.; Ge, Q.; Lu, Z. Metatranscriptomics analysis of cyanobacterial aggregates during cyanobacterial bloom period in Lake Taihu, China. Environ. Sci. Pollut. 2018, 5, 4811–4825. [Google Scholar] [CrossRef] [PubMed]
- Rachel, G.; Peter, J.H.; Gavan, M.C.; Christopher, F. Characterisation of algogenic organic matter during an algal bloom and its implications for trihalomethane formation. Sustain. Water Qual. Ecol. 2015, 6, 11–19. [Google Scholar]
- Le-Manach, S.; Sotton, B.; Huet, H.; Duval, C.; Paris, A.; Marie, A.; Yépremian, C.; Catherine, A.; Mathéron, L.; Vinh, J.; et al. Physiological effects caused by microcystin-producing and non-microcystin producing Microcystis aeruginosa on medaka fish: A proteomic and metabolomic study on liver. Environ. Pollut. 2018, 234, 523–537. [Google Scholar] [CrossRef] [PubMed]
- Kim, Y.S.; Lee, D.S.; Jeong, S.Y.; Lee, W.J.; Lee, M.S. Isolation and characterization of a marine algicidal bacterium against the harmful raphidophyceae Chattonella marina. J. Microbiol. 2009, 47, 9–18. [Google Scholar] [CrossRef]
- Lee, B.; Katano, T.; Kitamura, S.; Oh, M.; Han, M. Monitoring of algicidal bacterium, Alteromonas sp. strain A14 in its application to natural Cochlodinium polykrikoides blooming seawater using fluorescence in situ hybridization. J. Microbiol. 2008, 3, 274–282. [Google Scholar] [CrossRef]
- Xu, W.J.; Xu, Y.; Huang, X.S.; Hu, X.J.; Xu, Y.N.; Su, H.C.; Li, Z.J.; Yang, K.; Wen, G.L.; Cao, Y.C. Addition of algicidal bacterium CZBC1 and molasses to inhibit cyanobacteria and improve microbial communities, water quality and shrimp performance in culture systems. Aquaculture 2019, 502, 303–311. [Google Scholar] [CrossRef]
- Jia, Y.; Wang, Q.; Chen, Z.H.; Jiang, W.X.; Zhang, P.; Tian, X.J. Inhibition of phytoplankton species by co-culture with a fungus. Ecol. Eng. 2010, 10, 1389–1391. [Google Scholar] [CrossRef]
- Han, G.M.; Feng, X.G.; Jia, Y.; Wang, C.Y.; He, X.B.; Zhou, Q.Y.; Tian, X.J. Isolation and evaluation of terrestrial fungi with algicidal ability from Zijin Mountain, Nanjing, China. J. Microbiol. 2011, 4, 562–567. [Google Scholar] [CrossRef]
- Zeng, G.M.; Zhang, M.L.; Wang, P.; Li, X.; Wu, P.; Sun, D. Genotoxicity effects of Phanerochaete chrysosporium against harmful algal bloom species by micronucleus test and comet assay. Chemosphere 2019, 218, 1031–1041. [Google Scholar] [CrossRef] [PubMed]
- Wang, J.; Liu, Q.; Feng, J.; Lv, J.P.; Xie, S.L. Effect of high-doses pyrogallol on oxidative damage, transcriptional responses and microcystins synthesis in Microcystis aeruginosa TY001 (Cyanobacteria). Ecotoxicol. Environ. Safe 2016, 134, 273–279. [Google Scholar] [CrossRef] [PubMed]
- Shao, J.H.; Yu, G.L.; Wang, Z.J.; Wu, Z.X.; Peng, X.; Li, R.H. Towards clarification of the inhibitory mechanism of wheat bran leachate on Microcystis aeruginosa NIES-843 (cyanobacteria): Physiological responses. Ecotoxicology 2010, 19, 1634–1641. [Google Scholar] [CrossRef][Green Version]
- Shi, J.Q.; Wu, Z.X.; Song, L.R. Physiological and molecular responses to calcium supplementation in Microcystis aeruginosa (Cyanobacteria). N. Z. J. Mar. Fresh 2013, 1, 51–61. [Google Scholar] [CrossRef]
- Shao, J.; Jiang, Y.; Wang, Z.; Peng, L.; Luo, S.; Gu, J.; Li, R. Interactions between algicidal bacteria and the cyanobacterium Microcystis aeruginosa: Lytic characteristics and physiological responses in the cyanobacteria. Int. J. Environ. Sci. Technol. 2014, 11, 469–476. [Google Scholar] [CrossRef]
- Nishiwaki, T.; Satomi, Y.; Kitayama, Y. A sequential program of dual phosphorylation of KaiC as a basis for circadian rhythm in cyanobacteria. EMBO J. 2007, 17, 4029–4037. [Google Scholar] [CrossRef]
- María, Á.L.; Antonio, Q.; Rehab, E.S. Seasonal dynamics of microcystin-degrading bacteria and toxic cyanobacterial blooms: Interaction and influence of abiotic factors. Harmful Algae 2018, 71, 19–28. [Google Scholar]
- Sun, R.; Sun, P.F.; Zhang, J.H.; Esquivel-Elizondo, S.; Wu, Y.H. Microorganisms-based methods for harmful algal blooms control: A review. Bioresour. Technol. 2018, 248, 12–20. [Google Scholar] [CrossRef]
- Zhou, S.; Yin, H.; Tang, S.Y.; Peng, H.; Yin, D.G.; Yang, Y.X.; Liu, Z.H.; Dang, Z. Physiological responses of Microcystis aeruginosa against the algicidal bacterium Pseudomonas aeruginosa. Ecotoxicol. Environ. Safe 2016, 127, 214–221. [Google Scholar] [CrossRef]
- Shao, J.H.; He, Y.X.; Chen, A.W.; Peng, L.; Luo, S.; Wu, G.Y.; Zou, H.L.; Li, R.H. Interactive effects of algicidal efficiency of Bacillus sp. B50 and bacterial community on susceptibility of Microcystis aeruginosa with different growth rates. Int. Biodeterior. Biodegrad. 2015, 97, 1–6. [Google Scholar] [CrossRef]
- Rust, M.J.; Markson, J.S.; Lane, W.S.; Fisher, D.S.; O’Shea, E.K. Ordered phosphorylation governs oscillation of a three-protein circadian clock. Science 2007, 5851, 809–812. [Google Scholar] [CrossRef] [PubMed]
- Khil, P.P.; Camerini-Otero, R.D. Over 1000 genes are involved in the DNA damage response of Escherichia coli. Mol. Microbiol. 2002, 44, 89–105. [Google Scholar] [CrossRef] [PubMed]
- Zavilgelsky, G.B.; Kotova, V.Y.; Manukhov, L.V. Action of 1,1-dimethyl-lhydrazine on bacterial cells is determined by drogen peroxide. Mutat. Res. 2007, 634, 172–176. [Google Scholar] [CrossRef] [PubMed]
- Lawton, L.A.; Welgamage, A.; Manage, P.M.; Edwards, C. Novel bacterial strains for the removal of microcystins from drinking water. Water Sci. Technol. 2011, 63, 1137–1142. [Google Scholar] [CrossRef] [PubMed]
- Lewis, W.M.; Wurtsbaugh, W.A.; Paerl, H.W. Rationale for control of anthropogenic Nitrogen and Phosphorus to reduce eutrophication of Inland Waters. Environ. Sci. Technol. 2011, 45, 10300–10305. [Google Scholar] [CrossRef]
- VanBogelen, R.A.; Kelley, P.M.; Neidhardt, F.C. Differential induction of heat shock, SOS, and oxidation stress regulons and accumulation of nucleotides in Escherichia coli. J. Bacteriol. 1987, 169, 26–32. [Google Scholar] [CrossRef]
- Gawande, P.V.; Griffiths, M.W. Effects of environmental stresses on the activities of the uspA, grpE and rpoS promoters of Escherichia coli 0157:H7. Int. J. Food Microbiol. 2005, 99, 91–98. [Google Scholar] [CrossRef]
- Santos, P.M.; Benndorf, D.; Isabel, S.C. Insights into Pseudomonas putida KT2440 response to phenol-induced stress by quantitative proteomics. Proteomits 2004, 4, 2640–2652. [Google Scholar] [CrossRef]
- Wood, Z.A.; Schroder, E.; Robin, H.J.; Poole, L.B. Structure, mechanism and regulation of peroxiredoxins. Trends Biochem. Sci. 2003, 28, 32–40. [Google Scholar] [CrossRef]
- Kim, H.K.; Kim, S.J.; Lee, J.W.; Cha, M.K.; Kim, L.H. Identification of promoter in the 50-flanking region of the E. coli thioredoxin-liked thiol peroxidase gene: Evidence for the existence of oxygen-related txanscriptional regulatory protein. Biochem. Biophys. Res. Commun. 1996, 221, 641–646. [Google Scholar] [CrossRef]
- Stork, T.; Michel, K.P.; Pistorius, E.K.; Dietz, K.J. Bioinformatic analysis of the genomes of the cyanobacteria Synechocystis sp. PCC 6803 and Synechococcus elongatus PCC 7942 for the presence of peroxiredoxins and their transcript regulation under stress. J. Exp. Bot. 2005, 422, 3193–3206. [Google Scholar] [CrossRef] [PubMed]
- Latifi, A.; Ruiz, M.; Jeanjean, R.; Zhang, C.C. Prx Q-A, a member of the peroxiredoxin Q family, plays a major role in defense against oxidative stress in thecyanobacterium Anabaena sp. strain PCC7120. Free Radic. Biol. Med. 2007, 42, 424–431. [Google Scholar] [CrossRef] [PubMed]
- Qian, H.F.; Sheng, G.D.; Liu, W.P.; Lu, Y.C.; Liu, Z.H.; Fu, Z.W. Inhibitory effects of atrazine on Chlorella vulgaris as assessed by real-time polymerise chain reaction. Environ. Toxicol. Chem. 2008, 27, 182–187. [Google Scholar] [CrossRef]
- Beatriz, M.L.; Sevilla, E.; Hernandez, J.A.; Bes, M.T.; Fillat, M.F.; Peleato, M.L. Fur from Microcystis aeruginosa binds in vitro promoter regions of the microcystin biosynthesis gene cluster. Phytochemistry 2006, 67, 876–881. [Google Scholar]
- Kaebernick, M.; Neilan, B.A.; Borner, T.; Dittmann, E. Light and the transcriptional response of the microcystin biosynthesis gene cluster. Appl. Environ. Microbiol. 2000, 66, 3387–3392. [Google Scholar] [CrossRef] [PubMed]
- Dziga, D.; Suda, M.; Bialczyk, J.; Urszula, C.P.; Lechowski, Z. The alteration of Microcystis aeruginosa biomass and dissolved microcystin-LR concentration following exposure to plant-producing phenols. Environ. Toxicol. 2007, 22, 341–346. [Google Scholar] [CrossRef] [PubMed]
- Zeng, G.M.; Zhou, J.; Huang, T.; Liu, S.Y.; Ji, F.F.; Wand, P. Extraction of Chlorophyll-afrom eutrophic water by repeated freezing and thawing-extraction method. Asian J. Chem. 2014, 26, 2289–2292. [Google Scholar] [CrossRef]
- Ren, J. The Inhibition Mechanism and Effect of UV/H2O2 Process on Microcystis aeruginosa and Its Degradation Mechanism to Microcystin-LR. Ph.D. Thesis, Fudan University, Shanghai, China, 2011. [Google Scholar]






| Primers | Sequences (5’ to 3’) |
|---|---|
| 16S rrn-Fo (forward) | GGACGGGTGAGTAACGCGTA |
| 16S rrn-Re (reverse) | CCCATTGCGGAAAATTCCCC |
| prx-Fo | GCGAATTTAGCAGTATCAACACC |
| prx-Re | GCGGTGCTGA TTTCTTTTTTC |
| mcyB-Fo | CCTACCGAGCGCTTGGG |
| mcyB-Re | GAAAATCCCCTAAAGATTCCTGAGT |
| recA-Fo | TAGTTGACCAGTTAGTGCGTTCTT |
| recA-Re | CACTTCAGGATTGCCGTAGGT |
| grpE-Fo | CGCAAACGCACAGCCAAGGAA |
| grpE-Re | GTGAATACCCATCTCGCCATC |
| fabZ-Fo | TGTTAATTGTGGAATCCATGG |
| fabZ-Re | TTGCTTCCCCTTGCATTTT |
| psbD1-Fo | TCTTCGGCATCGCTTTCTC |
| psbD1-Re | CACCCACAGCACTCATCCA |
| psaB-Fo | CGGTGACTGGGGTGTGTATG |
| psaB-Re | ACTCGGTTTGGGGATGGA |
| rbcL-Fo | CGTTTCCCCGTCGCTTT |
| rbcL-Re | CCGAGTTTGGGTTTGATGGT |
© 2020 by the authors. Licensee MDPI, Basel, Switzerland. This article is an open access article distributed under the terms and conditions of the Creative Commons Attribution (CC BY) license (http://creativecommons.org/licenses/by/4.0/).
Share and Cite
Zeng, G.; Gao, P.; Wang, J.; Zhang, J.; Zhang, M.; Sun, D. Algicidal Molecular Mechanism and Toxicological Degradation of Microcystis aeruginosa by White-Rot Fungi. Toxins 2020, 12, 406. https://doi.org/10.3390/toxins12060406
Zeng G, Gao P, Wang J, Zhang J, Zhang M, Sun D. Algicidal Molecular Mechanism and Toxicological Degradation of Microcystis aeruginosa by White-Rot Fungi. Toxins. 2020; 12(6):406. https://doi.org/10.3390/toxins12060406
Chicago/Turabian StyleZeng, Guoming, Pei Gao, Jiale Wang, Jinxi Zhang, Maolan Zhang, and Da Sun. 2020. "Algicidal Molecular Mechanism and Toxicological Degradation of Microcystis aeruginosa by White-Rot Fungi" Toxins 12, no. 6: 406. https://doi.org/10.3390/toxins12060406
APA StyleZeng, G., Gao, P., Wang, J., Zhang, J., Zhang, M., & Sun, D. (2020). Algicidal Molecular Mechanism and Toxicological Degradation of Microcystis aeruginosa by White-Rot Fungi. Toxins, 12(6), 406. https://doi.org/10.3390/toxins12060406

