Phosphate Limitation Increases Content of Protease Inhibitors in the Cyanobacterium Microcystis aeruginosa
Abstract
1. Introduction
2. Results
2.1. Growth Performance of M. aeruginosa under Different PO43− Conditions
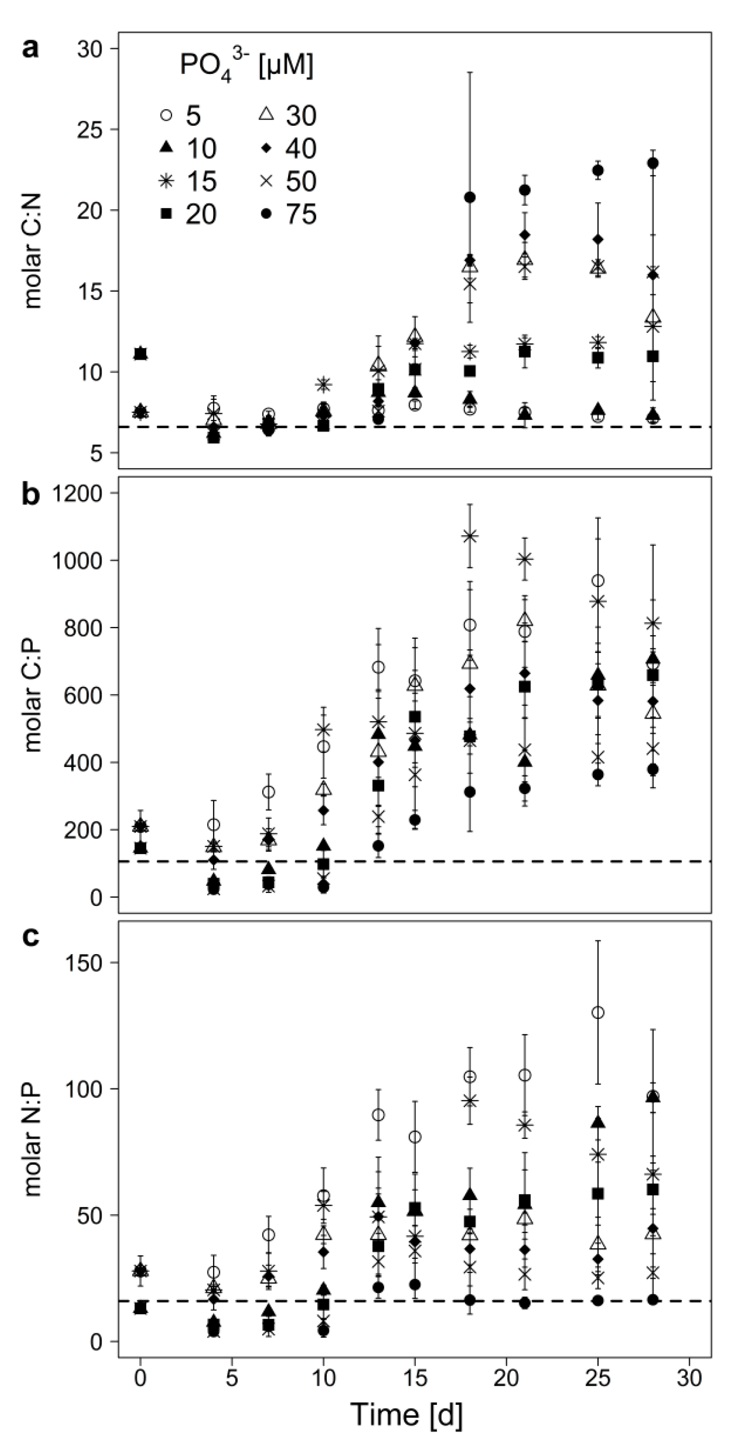
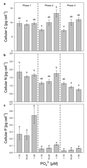
2.2. Stoichiometry of M. aeruginosa Under Different PO43− Conditions
2.3. Inhibitor Content of M. aeruginosa Under Different PO43− Conditions
2.4. Inhibitor Content As a Function of Growth Rate and Stoichiometry
3. Discussion
4. Material and Methods
4.1. Culturing Conditions
4.2. Determination of POC, PON, and Ppart
4.3. Extraction and Quantification of PIs
4.4. Modeling and Statistical Analyses
Author Contributions
Funding
Acknowledgments
Conflicts of Interest
References
- Taranu, Z.E.; Gregory-Eaves, I.; Leavitt, P.R.; Bunting, L.; Buchaca, T.; Catalan, J.; Domaizon, I.; Guilizzoni, P.; Lami, A.; McGowan, S.; et al. Acceleration of cyanobacterial dominance in north temperate-subarctic lakes during the Anthropocene. Ecol. Lett. 2015, 18, 375–384. [Google Scholar] [CrossRef] [PubMed]
- Lürling, M.; Van Oosterhout, F.; Faassen, E.J. Eutrophication and warming boost cyanobacterial biomass and microcystins. Toxins 2017, 9, 64. [Google Scholar] [CrossRef] [PubMed]
- Jochimsen, E.M.; Codd, G.A.; An, J.S.; Cardo, D.M.; Cookson, S.T.; Holmes, C.E.; Antunes, M.B.; de Melo Filho, D.A.; Lyra, T.M.; Barreto, V.S.; et al. Liver failure and death after exposure to microcystins at a hemodialysis center in Brazil. N. Engl. J. Med. 1998, 338, 873–878. [Google Scholar] [CrossRef]
- Lenz, K.A.; Miller, T.R.; Ma, H. Anabaenopeptins and cyanopeptolins induce systemic toxicity effects in a model organism the nematode Caenorhabditis elegans. Chemosphere 2018, 214, 60–69. [Google Scholar] [CrossRef] [PubMed]
- Paerl, H.W.; Otten, T.G. Harmful cyanobacterial blooms: Causes, consequences, and controls. Microb. Ecol. 2013, 65, 995–1010. [Google Scholar] [CrossRef] [PubMed]
- Rigosi, A.; Carey, C.C.; Ibelings, B.W.; Brookes, J.D. The interaction between climate warming and eutrophication to promote cyanobacteria is dependent on trophic state and varies among taxa. Limnol. Oceanogr. 2014, 59, 99–114. [Google Scholar] [CrossRef]
- Burford, M.A.; Carey, C.C.; Hamilton, D.P.; Huisman, J.; Paerl, H.W.; Wood, S.A.; Wulff, A. Perspective: Advancing the research agenda for improving understanding of cyanobacteria in a future of global change. Harmful Algae 2019. [Google Scholar] [CrossRef]
- Steffensen, D.A. Economic cost of cyanobacterial blooms. Adv. Exp. Med. Biol. 2008, 619, 855–865. [Google Scholar] [CrossRef]
- Schindler, D.W.; Hecky, R.E.; Findlay, D.L.; Stainton, M.P.; Parker, B.R.; Paterson, M.J.; Beaty, K.G.; Lyng, M.; Kasian, S.E.M. Eutrophication of lakes cannot be controlled by reducing nitrogen input: Results of a 37-year whole-ecosystem experiment. Proc. Natl. Acad. Sci. USA 2008, 105, 11254–11258. [Google Scholar] [CrossRef]
- Nixon, S.W. Coastal marine eutrophication: A definition, social causes, and future concerns. Ophelia 1995, 41, 199–219. [Google Scholar] [CrossRef]
- Sterner, R.W.; Elser, J.J. Ecological stoichiometry: Overview. In Encyclopedia of Ecology; Elsevier: Amsterdam, The Netherlands, 2008; pp. 1101–1116. ISBN 9780080454054. [Google Scholar] [CrossRef]
- Reynolds, C.S.; Davies, P.S. Sources and bioavailability of phosphorus fractions in freshwaters: A British perspective. Biol. Rev. 2001, 76, 27–64. [Google Scholar] [CrossRef] [PubMed]
- Wilson, R.S.; Beetstra, M.A.; Reutter, J.M.; Hesse, G.; Fussell, K.M.D.; Johnson, L.T.; King, K.W.; LaBarge, G.A.; Martin, J.F.; Winslow, C. Commentary: Achieving phosphorus reduction targets for Lake Erie. J. Gt. Lakes Res. 2018, 45, 4–11. [Google Scholar] [CrossRef]
- Schindler, D.W.; Fee, E.J. Experimental lakes area: Whole-lake experiments in eutrophication. J. Fish. Res. Board Can. 1974, 31, 937–953. [Google Scholar] [CrossRef]
- Forber, K.J.; Withers, P.J.A.; Ockenden, M.C.; Haygarth, P.M. The phosphorus transfer continuum: A framework for exploring effects of climate change. Agric. Environ. Lett. 2018, 3. [Google Scholar] [CrossRef]
- Xu, H.; Paerl, H.W.; Qin, B.; Zhu, G.; Gaoa, G. Nitrogen and phosphorus inputs control phytoplankton growth in eutrophic Lake Taihu, China. Limnol. Oceanogr. 2010, 55, 420–432. [Google Scholar] [CrossRef]
- Glibert, P.M. Eutrophication, harmful algae and biodiversity—Challenging paradigms in a world of complex nutrient changes. Mar. Pollut. Bull. 2017, 124, 591–606. [Google Scholar] [CrossRef]
- Newell, S.E.; Davis, T.W.; Johengen, T.H.; Gossiaux, D.; Burtner, A.; Palladino, D.; McCarthy, M.J. Reduced forms of nitrogen are a driver of non-nitrogen-fixing harmful cyanobacterial blooms and toxicity in Lake Erie. Harmful Algae 2019, 81, 86–93. [Google Scholar] [CrossRef]
- Sivonen, K. Effects of light, temperature, nitrate, orthophosphate, and bacteria on growth of and hepatotoxin production by Oscillatoria agardhii strains. Appl. Environ. Microbiol. 1990, 56, 2658–2666. [Google Scholar] [CrossRef]
- Amé, M.V.; Wunderlin, D.A. Effects of iron, ammonium and temperature on microcystin content by a natural concentrated Microcystis aeruginosa population. Water Air Soil Pollut. 2005, 168, 235–248. [Google Scholar] [CrossRef]
- Van de Waal, D.B.; Verspagen, J.M.H.; Lürling, M.; Van Donk, E.; Visser, P.M.; Huisman, J. The ecological stoichiometry of toxins produced by harmful cyanobacteria: An experimental test of the carbon-nutrient balance hypothesis. Ecol. Lett. 2009, 12, 1326–1335. [Google Scholar] [CrossRef]
- Van de Waal, D.B.; Smith, V.H.; Declerck, S.A.J.; Stam, E.C.M.; Elser, J.J. Stoichiometric regulation of phytoplankton toxins. Ecol. Lett. 2014, 17, 736–742. [Google Scholar] [CrossRef] [PubMed]
- Gobler, C.J.; Burkholder, J.M.; Davis, T.W.; Harke, M.J.; Johengen, T.; Stow, C.A.; Van de Waal, D.B. The dual role of nitrogen supply in controlling the growth and toxicity of cyanobacterial blooms. Harmful Algae 2016, 54, 87–97. [Google Scholar] [CrossRef] [PubMed]
- Burberg, C.; Ilić, M.; Petzoldt, T.; Von Elert, E. Nitrate determines growth and protease inhibitor content of the cyanobacterium Microcystis aeruginosa. J. Appl. Phycol. 2018, 464, 37. [Google Scholar] [CrossRef]
- Köcher, S.; Resch, S.; Kessenbrock, T.; Schrapp, L.; Ehrmann, M.; Kaiser, M. From dolastatin 13 to cyanopeptolins, micropeptins, and lyngbyastatins: The chemical biology of Ahp-cyclodepsipeptides. Nat. Prod. Rep. 2019. [Google Scholar] [CrossRef]
- Agrawal, M.K.; Bagchi, D.; Bagchi, S.N. Acute inhibition of protease and suppression of growth in zooplankter, Moina macrocopa, by Microcystis blooms collected in Central India. Hydrobiologia 2001, 464, 37–44. [Google Scholar] [CrossRef]
- Patel, C.; Raipuria, N.; Agrawal, M.; Agrawal, M.K. Is production of protease inhibitors from cyanobacteria nutrient dependent? Comparison of protease inhibitory activities in three species of Oscillatoria isolated from Central India. Int. Aquat. Res. 2014, 6, 211–220. [Google Scholar] [CrossRef][Green Version]
- Beversdorf, L.J.; Rude, K.; Weirich, C.A.; Bartlett, S.L.; Seaman, M.; Kozik, C.; Biese, P.; Gosz, T.; Suha, M.; Stempa, C.; et al. Analysis of cyanobacterial metabolites in surface and raw drinking waters reveals more than microcystin. Water Res. 2018, 140, 280–290. [Google Scholar] [CrossRef]
- Gademann, K.; Portmann, C.; Blom, J.F.; Zeder, M.; Jüttner, F. Multiple toxin production in the cyanobacterium Microcystis: Isolation of the toxic protease inhibitor cyanopeptolin 1020. J. Nat. Prod. 2010, 73, 980–984. [Google Scholar] [CrossRef]
- Bartlett, S.L.; Brunner, S.L.; Klump, J.V.; Houghton, E.M.; Miller, T.R. Spatial analysis of toxic or otherwise bioactive cyanobacterial peptides in Green Bay, Lake Michigan. J. Gt. Lakes Res. 2018, 44, 924–933. [Google Scholar] [CrossRef]
- Beversdorf, L.J.; Weirich, C.A.; Bartlett, S.L.; Miller, T.R. Variable cyanobacterial toxin and metabolite profiles across six eutrophic lakes of differing physiochemical characteristics. Toxins 2017, 9, 62. [Google Scholar] [CrossRef]
- Adiv, S.; Carmeli, S. Protease inhibitors from Microcystis aeruginosa bloom material collected from the Dalton Reservoir, Israel. J. Nat. Prod. 2013, 76, 2307–2315. [Google Scholar] [CrossRef] [PubMed]
- Vegman, M.; Carmeli, S. Eight micropeptins from a Microcystis spp. bloom collected from a fishpond near Kibbutz Lehavot HaBashan, Israel. Tetrahedron 2013, 69, 10108–10115. [Google Scholar] [CrossRef]
- Von Elert, E.; Martin-Creuzburg, D.; Le Coz, J.R. Absence of sterols constrains carbon transfer between cyanobacteria and a freshwater herbivore (Daphnia galeata). Proc. R. Soc. B Biol. Sci. 2003, 270, 1209–1214. [Google Scholar] [CrossRef] [PubMed]
- Lürling, M. Effects of microcystin-free and microcystin-containing strains of the cyanobacterium Microcystis aeruginosa on growth of the grazer Daphnia magna. Environ. Toxicol. 2003, 18, 202–210. [Google Scholar] [CrossRef]
- Schwarzenberger, A.; Zitt, A.; Kroth, P.; Mueller, S.; Von Elert, E. Gene expression and activity of digestive proteases in Daphnia: Effects of cyanobacterial protease inhibitors. BMC Physiol. 2010, 10, 6. [Google Scholar] [CrossRef]
- Von Elert, E.; Zitt, A.; Schwarzenberger, A. Inducible tolerance to dietary protease inhibitors in Daphnia magna. J. Exp. Biol. 2012, 215, 2051–2059. [Google Scholar] [CrossRef]
- Von Elert, E.; Agrawal, M.K.; Gebauer, C.; Jaensch, H.; Bauer, U.; Zitt, A. Protease activity in gut of Daphnia magna: Evidence for trypsin and chymotrypsin enzymes. Comp. Biochem. Physiol. B Biochem. Mol. Biol. 2004, 137, 287–296. [Google Scholar] [CrossRef] [PubMed]
- Von Elert, E.; Oberer, L.; Merkel, P.; Huhn, T.; Blom, J.F. Cyanopeptolin 954, a chlorine-containing chymotrypsin inhibitor of Microcystis aeruginosa NIVA Cya 43. J. Nat. Prod. 2005, 68, 1324–1327. [Google Scholar] [CrossRef]
- Huisman, J.; Codd, G.A.; Paerl, H.W.; Ibelings, B.W.; Verspagen, J.M.H.; Visser, P.M. Cyanobacterial blooms. Nat. Rev. Microbiol. 2018, 16, 471–483. [Google Scholar] [CrossRef]
- Jeppesen, E.; Kronvang, B.; Meerhoff, M.; Søndergaard, M.; Hansen, K.M.; Andersen, H.E.; Lauridsen, T.L.; Liboriussen, L.; Beklioglu, M.; Ozen, A.; et al. Climate change effects on runoff, catchment phosphorus loading and lake ecological state, and potential adaptations. J. Environ. Qual. 2009, 38, 1930–1941. [Google Scholar] [CrossRef]
- Elser, J.J.; Andersen, T.; Baron, J.S.; Bergström, A.-K.; Jansson, M.; Kyle, M.; Nydick, K.R.; Steger, L.; Hessen, D.O. Shifts in lake N:P stoichiometry and nutrient limitation driven by atmospheric nitrogen deposition. Science 2009, 326, 835–837. [Google Scholar] [CrossRef]
- Paerl, H.W.; Scott, J.T.; McCarthy, M.J.; Newell, S.E.; Gardner, W.S.; Havens, K.E.; Hoffman, D.K.; Wilhelm, S.W.; Wurtsbaugh, W.A. It takes two to tango: When and where dual nutrient (N & P) reductions are needed to protect lakes and downstream ecosystems. Environ. Sci. Technol. 2016. [Google Scholar] [CrossRef]
- Elser, J.J.; Bracken, M.E.S.; Cleland, E.E.; Gruner, D.S.; Harpole, W.S.; Hillebrand, H.; Ngai, J.T.; Seabloom, E.W.; Shurin, J.B.; Smith, J.E. Global analysis of nitrogen and phosphorus limitation of primary producers in freshwater, marine and terrestrial ecosystems. Ecol. Lett. 2007, 10, 1135–1142. [Google Scholar] [CrossRef]
- Jacobson, L.; Halmann, M. Polyphosphate metabolism in the blue-green alga Microcystis aeruginosa. J. Plankton Res. 1982, 4, 481–488. [Google Scholar] [CrossRef]
- Redfield, A.C. The biological control of chemical factors in the environment. Am. Sci. 1958, 46, 205–221. [Google Scholar]
- Simon, R.D. Cyanophycin granules from the blue-green alga Anabaena cylindrica: A reserve material consisting of copolymers of aspartic acid and arginine. Proc. Natl. Acad. Sci. USA 1971, 68, 265–267. [Google Scholar] [CrossRef]
- Horst, G.P.; Sarnelle, O.; White, J.D.; Hamilton, S.K.; Kaul, R.B.; Bressie, J.D. Nitrogen availability increases the toxin quota of a harmful cyanobacterium, Microcystis aeruginosa. Water Res. 2014, 54, 188–198. [Google Scholar] [CrossRef]
- Holland, A.; Kinnear, S. Interpreting the possible ecological role(s) of cyanotoxins: Compounds for competitive advantage and/or physiological aide? Mar. Drugs 2013, 11, 2239–2258. [Google Scholar] [CrossRef]
- Lange, J.; Demir, F.; Huesgen, P.F.; Baumann, U.; Von Elert, E.; Pichlo, C. Heterologous expression and characterization of a novel serine protease from Daphnia magna: A possible role in susceptibility to toxic cyanobacteria. Aquat. Toxicol. 2018, 205, 140–147. [Google Scholar] [CrossRef]
- Tonk, L.; Welker, M.; Huisman, J.; Visser, P.M. Production of cyanopeptolins, anabaenopeptins, and microcystins by the harmful cyanobacteria Anabaena 90 and Microcystis PCC7806. Harmful Algae 2009, 8, 219–224. [Google Scholar] [CrossRef]
- Schwarzenberger, A.; Sadler, T.; Von Elert, E. Effect of nutrient limitation of cyanobacteria on protease inhibitor production and fitness of Daphnia magna. J. Exp. Biol. 2013, 216, 3649–3655. [Google Scholar] [CrossRef] [PubMed]
- Van de Waal, D.B.; Tillmann, U.; Zhu, M.; Koch, B.P.; Rost, B.; John, U. Nutrient pulse induces dynamic changes in cellular C:N:P, amino acids, and paralytic shellfish poisoning toxins in Alexandrium tamarense. Mar. Ecol. Prog. Ser. 2013, 493, 57–69. [Google Scholar] [CrossRef]
- Bryant, J.P.; Chapin, F.S.; Klein, D.R. Carbon/nutrient balance of boreal in relation to vertebrate herbivory. Oikos 1983, 40, 357–368. [Google Scholar] [CrossRef]
- Hamilton, J.G.; Zangerl, A.R.; DeLucia, E.H.; Berenbaum, M.R. The carbon-nutrient balance hypothesis: Its rise and fall. Ecol. Lett. 2001, 4, 86–95. [Google Scholar] [CrossRef]
- Koricheva, J. The Carbon-Nutrient Balance Hypothesis is dead: Long live the carbon-nutrient balance hypothesis? Oikos 2002, 98, 537–539. [Google Scholar] [CrossRef]
- Bácsi, I.; Vasas, G.; Surányi, G.; M-Hamvas, M.; Máthé, C.; Tóth, E.; Grigorszky, I.; Gáspár, A.; Tóth, S.; Borbely, G. Alteration of cylindrospermopsin production in sulfate- or phosphate-starved cyanobacterium Aphanizomenon ovalisporum. FEMS Microbiol. Lett. 2006, 259, 303–310. [Google Scholar] [CrossRef] [PubMed]
- Oh, H.-M.; Lee, S.J.; Jang, M.-H.; Yoon, B.-D. Microcystin production by Microcystis aeruginosa in a phosphorus-limited chemostat. Appl. Environ. Microbiol. 2000, 66, 176–179. [Google Scholar] [CrossRef]
- Lee, S.J.; Jang, M.-H.; Kim, H.S.; Yoon, B.-D.; Oh, H.-M. Variation of microcystin content of Microcystis aeruginosa relative to medium N:P ratio and growth stage. J. Appl. Microbiol. 2000, 89, 323–329. [Google Scholar] [CrossRef]
- Kurmayer, R. The toxic cyanobacterium Nostoc sp. strain 152 produces highest amounts of microcystin and nostophycin under stress conditions. J. Phycol. 2011, 47, 200–207. [Google Scholar] [CrossRef]
- Omidi, A.; Esterhuizen-Londt, M.; Pflugmacher, S. Desmodesmus subspicatus co-cultured with microcystin producing (PCC 7806) and the non-producing (PCC 7005) strains of Microcystis aeruginosa. Ecotoxicology 2019, 28, 834–842. [Google Scholar] [CrossRef]
- Long, B.M. The Influence of Growth Conditions on the Intracellular Microcystin Quota of Microcystis aeruginosa. Ph.D. Thesis, La Trobe University, Bundoora, Australia, 2001. [Google Scholar]
- Huang, I.-S.; Zimba, P.V. Cyanobacterial bioactive metabolites—A review of their chemistry and biology. Harmful Algae 2019, 83, 42–94. [Google Scholar] [CrossRef] [PubMed]
- Al-Awadhi, F.H.; Salvador, L.A.; Law, B.K.; Paul, V.J.; Luesch, H. Kempopeptin C, a novel marine-derived serine protease inhibitor targeting invasive breast cancer. Mar. Drugs 2017, 15, 290. [Google Scholar] [CrossRef]
- Reynolds, C.S. The Ecology of Freshwater Phytoplankton; Cambridge University Press: Cambridge, UK, 1984. [Google Scholar]
- Jiang, X.; Zhang, L.; Liang, H.; Li, Q.; Zhao, Y.; Chen, L.; Yang, W.; Zhao, S. Resistance variation within a Daphnia pulex population against toxic cyanobacteria. J. Plankton Res. 2013, 35, 1177–1181. [Google Scholar] [CrossRef]
- Hairston, N.G.; Lampert, W.; Cáceres, C.E.; Holtmeier, C.L.; Weider, L.J.; Gaedke, U.; Fischer, J.M.; Fox, J.A.; Post, D.M. Rapid evolution revealed by dormant eggs. Nature 1999, 401, 446. [Google Scholar] [CrossRef]
- Sarnelle, O.; Wilson, A.E. Local adaptation of Daphnia pulicaria to toxic cyanobacteria. Limnol. Oceanogr. 2005, 50, 1565–1570. [Google Scholar] [CrossRef]
- Guo, N.; Xie, P. Development of tolerance against toxic Microcystis aeruginosa in three cladocerans and the ecological implications. Environ. Pollut. 2006, 143, 513–518. [Google Scholar] [CrossRef]
- Jiang, X.D.; Liang, H.S.; Yang, W.; Zhang, J.; Zhao, Y.L.; Chen, L.Q.; Zhao, S.Y.; Jing, X.L. Fitness benefits and costs of induced defenses in Daphnia carinata (Cladocera: Daphnidae) exposed to cyanobacteria. Hydrobiologia 2013, 702, 105–113. [Google Scholar] [CrossRef]
- Schwarzenberger, A.; Kuster, C.J.; Von Elert, E. Molecular mechanisms of tolerance to cyanobacterial protease inhibitors revealed by clonal differences in Daphnia magna. Mol. Ecol. 2012, 21, 4898–4911. [Google Scholar] [CrossRef]
- Schwarzenberger, A.; Von Elert, E. Cyanobacterial protease inhibitors lead to maternal transfer of increased protease gene expression in Daphnia. Oecologia 2013, 172, 11–20. [Google Scholar] [CrossRef]
- Schwarzenberger, A.; Sadler, T.; Motameny, S.; Ben-Khalifa, K.; Frommolt, P.; Altmüller, J.; Konrad, K.; Von Elert, E. Deciphering the genetic basis of microcystin tolerance. BMC Genom. 2014, 15, 776. [Google Scholar] [CrossRef]
- Lyu, K.; Zhang, L.; Zhu, X.; Cui, G.; Wilson, A.E.; Yang, Z. Arginine kinase in the cladoceran Daphnia magna: cDNA sequencing and expression is associated with resistance to toxic Microcystis. Aquat. Toxicol. 2015, 160, 13–21. [Google Scholar] [CrossRef] [PubMed]
- Guillard, R.R.L. Culture of phytoplankton for feeding marine invertebrates. In Culture of Marine Invertebrate Animals, 1st ed.; Smith, W.L., Ed.; Springer: Boston, MA, USA, 1975; pp. 29–60. ISBN 978-1-4615-8716-3. [Google Scholar]
- Jähnichen, S.; Long, B.M.; Petzoldt, T. Microcystin production by Microcystis aeruginosa: Direct regulation by multiple environmental factors. Harmful Algae 2011, 12, 95–104. [Google Scholar] [CrossRef]
- Rand, M.C.; Greenberg, A.E.; Taras, M.J. Standard Methods for the Examination of Water and Wastewater, 16th ed.; Greenberg, A.E., Trussell, R.R., Clesceri, L.S., Eds.; American Public Health Association: Washington, DC, USA, 1985; ISBN 8755-3546. [Google Scholar]
- Loos, M. enviMass, Version 3.5. LC-HRMS Trend Detection Workflow—R Package. Zenodo, 2018. Available online: https://zenodo.org/search?page=1&size=20&q=LC-HRMS%20trend%20detection%20workflow%20 (accessed on 6 January 2020).
- R Core Team. R: A Language and Environment for Statistical Computing; R Foundation for Statistical Computing: Vienna, Austria, 2018. [Google Scholar]
- RStudio Team. RStudio: Integrated Development Environment for R; RStudio, Inc.: Boston, MA, USA, 2016. [Google Scholar]
- Petzoldt, T. Growthrates: Estimate Growth Rates from Experimental Data. R Package, Version 0.7.1. Vienna, Austria, 2017; Volume 1. Available online: https://cran.r-project.org/package=growthrates (accessed on 14 May 2018).
- Bates, D.; Mächler, M.; Bolker, B.; Walker, S. Fitting linear mixed-effects models using lme4. J. Stat. Soft. 2015, 67. [Google Scholar] [CrossRef]
- Hothorn, T.; Bretz, F.; Westfall, P. Simultaneous inference in general parametric models. Biom. J. 2008, 50, 346–363. [Google Scholar] [CrossRef] [PubMed]
- Piepho, H.-P. An algorithm for a letter-based representation of all-pairwise comparisons. J. Comput. Graph. Stat. 2004, 13, 456–466. [Google Scholar] [CrossRef]







| PO43− [µM] | N0 [104 Cells mL−1] | K [104 Cells mL−1] | µmax [d−1] | R2 Fits 1 |
|---|---|---|---|---|
| 5 | 24.7 ± 3.3 | 1022 ± 63 A | 0.34 ± 0.03 AB | 0.82 |
| 10 | 14.8 ± 4.5 | 1272 ± 172 A | 0.33 ± 0.02 AB | 0.87 |
| 15 | 18.2 ± 18.7 | 4718 ± 362 C | 0.45 ± 0.09 A | 0.96 |
| 20 | 7.28 ± 7.24 | 4284 ± 247 BC | 0.44 ± 0.06 A | 0.97 |
| 30 | 51.7 ± 14.8 | 4328 ± 381 BC | 0.27 ± 0.04 B | 0.94 |
| 40 | 62.9 ± 32.6 | 3729 ± 516 B | 0.25 ± 0.04 B | 0.92 |
| 50 | 7.9 ± 6.5 | 4129 ± 484 BC | 0.43 ± 0.1 A | 0.93 |
| 75 | 23.9 ± 19.9 | 4312 ± 239 BC | 0.33 ± 0.06 AB | 0.94 |
| PO43 [µM] | N0 [µg C mL−1] | K [µg C mL−1] | µmax [d−1] | R2 Fits 1 |
|---|---|---|---|---|
| 5 | 5.02 ± 1.17 | 93.1 ± 3.6 A | 0.24 ± 0.03 A | 0.98 |
| 10 | 1.17 ± 0.13 | 106.2 ± 4.6 AB | 0.32 ± 0.004 AB | 0.98 |
| 15 | 2.92 ± 1.62 | 272.9 ± 9.2 CD | 0.41 ± 0.04 BCD | 0.99 |
| 20 | 0.32 ± 0.18 | 230.8 ± 5.5 BC | 0.5 ± 0.03 D | 0.99 |
| 30 | 1.07 ± 0.84 | 345.1 ± 20.4 E | 0.49 ± 0.05 D | 0.92 |
| 40 | 3.82 ± 2.33 | 415 ± 67.3 F | 0.37 ± 0.07 BC | 0.97 |
| 50 | 0.03 ± 0.008 | 327.5 ± 6.8 DE | 0.67 ± 0.02 E | 0.99 |
| 75 | 0.5 ± 0.28 | 473.4 ± 9.6 F | 0.45 ± 0.04 CD | 0.99 |
| Mean Sq | NumDF | DenDF | F Value | p-Value 1 | ||
|---|---|---|---|---|---|---|
| Ppart | ||||||
| Treatment | 1.18 × 10−7 | 7 | 261.25 | 0.6286 | 0.7321 | |
| Day | 5.27 × 10−5 | 1 | 260.22 | 280.27 | <2 × 10−16 | *** |
| Treatment x Day | 3.53 × 10−6 | 7 | 260.22 | 18.74 | <2 × 10−16 | *** |
| C:N-ratio | ||||||
| Treatment | 138.742 | 7 | 197.87 | 67.057 | <2.2 × 10−16 | *** |
| Day | 250.839 | 9 | 197.07 | 121.265 | <2.2 × 10−16 | *** |
| Treatment x Day | 26.879 | 63 | 197.07 | 12.994 | <2.2 × 10−16 | *** |
| C:P-ratio | ||||||
| Treatment | 614,724 | 7 | 197.02 | 54.6476 | <2.2 × 10−16 | *** |
| Day | 1,364,784 | 9 | 197.22 | 121.3772 | <2.2 × 10−16 | *** |
| Treatment x Day | 32,240 | 63 | 197.22 | 2.8673 | 1.323 × 10−08 | *** |
| N:P-ratio | ||||||
| Treatment | 12,892.4 | 7 | 197.97 | 110.690 | <2.2 × 10−16 | *** |
| Day | 8209.8 | 9 | 197.06 | 70.502 | <2.2 × 10−16 | *** |
| Treatment x Day | 724.3 | 63 | 197.06 | 6.220 | <2.2 × 10−16 | *** |
| Mean Sq | NumDF | DenDF | F Value | p-Value 1 | ||
|---|---|---|---|---|---|---|
| BN920 | ||||||
| Treatment | 71.715 | 7 | 197.36 | 18.2154 | <2.2 × 10−16 | *** |
| Day | 172.494 | 9 | 197.14 | 43.8287 | <2.2 × 10−16 | *** |
| Treatment x Day | 14.333 | 63 | 197.14 | 3.6419 | 2.744 × 10−12 | *** |
| CP954 | ||||||
| Treatment | 4408.5 | 7 | 197.47 | 53.8364 | <2.2 × 10−16 | *** |
| Day | 2508.0 | 9 | 197.12 | 30.6383 | <2.2 × 10−16 | *** |
| Treatment x Day | 342.5 | 63 | 197.12 | 4.1837 | 8.755 × 10−15 | *** |
| Euation | Rp | R2 | AIC | p-Value 1 | ||
|---|---|---|---|---|---|---|
| BN920 | ||||||
| - | ln y = 1.576 | 497.1 | - | |||
| µmax | ln y = 1.072 + 0.9555 | 0.37 | 0.13 | 493.1 | 1.00 × 10−6 | *** |
| µmax | ln y = 0.9178 + 2.578 − 2.28 x | 0.14 | 485.3 | 3.6 × 10−4 | ** | |
| C:N ratio | ln y = 3.098 − 0.7396 ln x | −0.43 | 0.18 | 442.3 | 1.20 × 10−14 | *** |
| C:N ratio | ln y = 6.426 − 3.612 ln x + 0.6036 (ln x)2 | 0.21 | 439.7 | 0.018 | * | |
| C:P ratio | ln y = 2.916 − 0.2622 ln x | −0.38 | 0.14 | 449.0 | 2.00 × 10−13 | *** |
| C:P ratio | ln y = 3.179 − 0.3684 ln x + 0.01027 (ln x)2 | 0.14 | 456.3 | 0.7 | ||
| N:P ratio | ln y = 2.301 − 0.2586 ln x | −0.24 | 0.05 | 473.6 | 4.60 × 10−8 | *** |
| N:P ratio | ln y = 2.838 − 0.6473 ln x + 0.06414 (ln x)2 | 0.09 | 477.5 | 0.081 | ||
| CP954 | ||||||
| - | ln y = 2.768 | 549.1 | - | |||
| µmax | ln y = 2.989 − 0.03925 | −0.07 | 0.002 | 597.5 | 0.83 | |
| µmax | ln y = 2.591 + 4.081 − 5.75 x | 0.11 | 557.9 | 2.40 × 10−10 | *** | |
| C:N ratio | ln y = 2.602 + 0.1626 ln x | −0.009 | −0.01 | 565.0 | 0.16 | |
| C:N ratio | ln y = −7.357 + 8.758 ln x − 1.807 (ln x)2 | 0.10 | 533.8 | 5.60 × 10−9 | *** | |
| C:P ratio | ln y = 1.736 + 0.2134 ln x | 0.37 | 0.13 | 533.5 | 1.50 × 10−7 | *** |
| C:P ratio | ln y = −1.478 + 1.515 ln x − 0.126 (ln x)2 | 0.14 | 524.6 | 6.10 × 10−5 | *** | |
| N:P ratio | ln y = 1.896 + 0.3076 ln x | 0.42 | 0.18 | 519.5 | 1.70 × 10−9 | *** |
| N:P ratio | ln y = 1.135 + 0.8565 ln x − 0.09022 (ln x)2 | 0.17 | 521.1 | 0.026 | * |
© 2020 by the authors. Licensee MDPI, Basel, Switzerland. This article is an open access article distributed under the terms and conditions of the Creative Commons Attribution (CC BY) license (http://creativecommons.org/licenses/by/4.0/).
Share and Cite
Burberg, C.; Petzoldt, T.; von Elert, E. Phosphate Limitation Increases Content of Protease Inhibitors in the Cyanobacterium Microcystis aeruginosa. Toxins 2020, 12, 33. https://doi.org/10.3390/toxins12010033
Burberg C, Petzoldt T, von Elert E. Phosphate Limitation Increases Content of Protease Inhibitors in the Cyanobacterium Microcystis aeruginosa. Toxins. 2020; 12(1):33. https://doi.org/10.3390/toxins12010033
Chicago/Turabian StyleBurberg, Christian, Thomas Petzoldt, and Eric von Elert. 2020. "Phosphate Limitation Increases Content of Protease Inhibitors in the Cyanobacterium Microcystis aeruginosa" Toxins 12, no. 1: 33. https://doi.org/10.3390/toxins12010033
APA StyleBurberg, C., Petzoldt, T., & von Elert, E. (2020). Phosphate Limitation Increases Content of Protease Inhibitors in the Cyanobacterium Microcystis aeruginosa. Toxins, 12(1), 33. https://doi.org/10.3390/toxins12010033

