Degrading Ochratoxin A and Zearalenone Mycotoxins Using a Multifunctional Recombinant Enzyme
Abstract
1. Introduction
2. Results
2.1. Expression and Purification of ZHDCP, ZHD101 and Carboxypeptidase Enzyme
2.2. ZEA Degradation by ZHD-CP Enzyme
2.3. OTA Degradation by Fusion (ZHDCP) Enzyme
2.4. ZEA Degradation Products by Fusion Enzyme
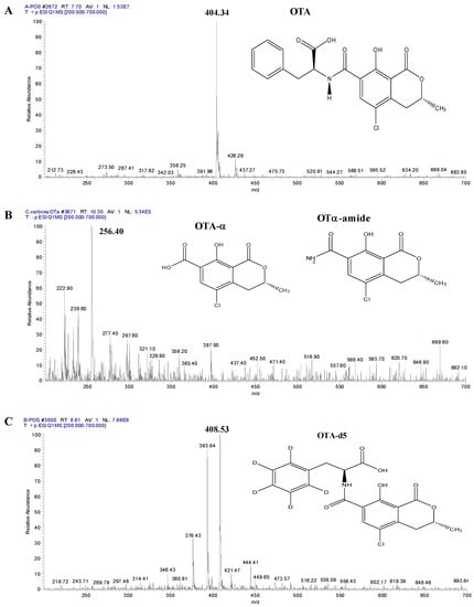
2.5. OTA Degradation Products Convert by Fusion Enzyme and Carboxypeptidase Enzyme
2.6. ZEA and OTA Trigger of Cell Viability Inhibition
2.7. Protective Effect of Fusion ZHDCP and CP Enzyme Final Products on the Cell Life and Surviving
2.8. Effect of Fusion (ZHDCP) Enzyme Final Products on ZEA/OTA Induced Cell Apoptosis
2.9. The Mycotoxin Effect on mRNA Gene Expression Induced by Necrobiosis
3. Discussion
4. Conclusions
5. Materials and Methods
5.1. Chemicals
5.2. Standard
5.3. Construction of Fusion Gene (ZHD101+ Carboxypeptidase) and Expression in E. coli
5.4. Protein Expression and Purification of ZHD101, ZHDCP, and Carboxypeptidase Enzyme in Heterologous Hosts
5.5. Enzyme Activity Measurement
5.5.1. ZEA Degradation Optimization
5.5.2. OTA Degradation Optimization
5.5.3. Fourier Transform Mass Spectrometry
5.6. In Vitro Cell Cytotoxicity Assay
5.6.1. Cell Seeding Environment and Incubation Conditions
5.6.2. Measurement of Cell Viability by CCK-8 Test
5.6.3. Total RNA Extraction and Determination of qRT-PCR
5.6.4. Apoptosis Assay
5.7. Statistical Analysis
Author Contributions
Funding
Acknowledgments
Conflicts of Interest
Appendix A
| Gene | Accession No. | Primer | 5′–3′ Sequence | Cloning Vector |
|---|---|---|---|---|
| Complementation primers | ||||
| ZHD101 Fusion | AB076037 (795) | Forward | GGAATTCATGCGCACCCGTAGTACCA (EcoRI) | pET28a |
| Reverse | CAATCGGATCATTGCCGGCCAGGTGTTTCTGGGTGGTCTC | |||
| Carboxy Fusion | KP161493 (1332) | Forward | GAGACCACCCAGAAACACCTGGCCGGCAATGATCCGATTG | pET28a |
| Reverse | CCAAGCTTTTAGAACCAGCCGGTCACG (HindIII) | |||
| ZHDCP sequence | Zhd101-seq | GGCATGCACTTTCCGTATGTG | ||
| ZHD101 | AB076037 (795) | Forward | GGAATTCATGCGCACCCGTAGTACCA (Ecor I) | pET28a |
| Reverse | CCAAGCTTTTACAGGTGTTTCTGGGTGGTCTC (HindIII ) | |||
| Carboxy | KP161493 (1332) | Forward | GGAATTCATGGCCGGCAATGATCCGATTG (Ecor I) | pET28a |
| Reverse | CCAAGCTTTTAGAACCAGCCGGTCACG (Hind III) | |||
| Sequencing primer | M13-47 | AGGGTTTTCCCAGTCACG | PMD18T | |
| M13-48 | GAGCGGATAACAATTTCACAC | |||
| Sequencing primer | T7-Pro | TAATACGACTCACTATAGG | pET28a | |
| T7-Ter | GCTAGTTATTGCTCAGCGG | |||
| Real-time PCR primers | ||||
| Sirt1 | NM_012238.4 | Forward | CGGATTTGAAGAATGTTGGT | |
| Reverse | ATCTGCTCCTTTGCCACTC | |||
| Bax | NM_004324.3 | Forward | CCGATTCATCTACCCTGCTG | |
| Reverse | TGAGCAATTCCAGAGGCAGT | |||
| β-Actin | NM_001101.3 | Forward | CCTGGCACCCAGCACAAT | |
| Reverse | GGGCCGGACTCGTCATAC | |||
| Bcl-2 | NM_000633.2 | Forward | GAGGATTGTGGCCTTCTTTG | |
| Reverse | GTGCCGGTTCAGGTACTCA | |||
| TNF-α | NM_000594.3 | Forward | CTTCTGCCTGCTG CACTTTGGA | |
| Reverse | TCCCAAAGTAGACCTGCCCAGA | |||
| IL-6 | NM_000600 | Forward | AGACAGCCACTCACCTCTTCAG | |
| Reverse | TTCTGCCAGTGCCTCTTTGCTG | |||
| Caspase-3 | NM_214131.1 | Forward | GACACTCGCTCAACTTCTTGG | |
| Reverse | TTGGACTGTGGGATTGAGAC | |||
References
- Bryden, W.L. Mycotoxin contamination of the feed supply chain: Implications for animal productivity and feed security. Anim. Feed Sci. Technol. 2012, 173, 134–158. [Google Scholar] [CrossRef]
- Hussein, H.S.; Brasel, J.M. Toxicity, metabolism, sand impact of mycotoxins on humans and animals. Toxicology 2001, 167, 101–134. [Google Scholar] [CrossRef]
- Zinedine, A.; Soriano, J.M.; Moltó, J.C.; Mañes, J. Review on the toxicity, occurrence, metabolism, detoxification, regulations and intake of zearalenone: An oestrogenic mycotoxin. Food Chem. Toxicol. 2007, 45, 1–18. [Google Scholar] [CrossRef]
- Abid-Essefi, S.; Zaied, C.; Bouaziz, C.; Salem, I.B.; Kaderi, R.; Bacha, H. Protective effect of aqueous extract of Allium sativum against zearalenone toxicity mediated by oxidative stress. Exp. Toxicol. Pathol. 2012, 64, 689–695. [Google Scholar] [CrossRef] [PubMed]
- Bui-Klimke, T.R.; Wu, F. Ochratoxin A and human health risk: A review of the evidence. Crit. Rev. Food Sci. Nutr. 2015, 55, 1860–1869. [Google Scholar] [CrossRef] [PubMed]
- Abrunhosa, L.; Santos, L.; Venâncio, A. Degradation of Ochratoxin A by Proteases and by a Crude Enzyme of Aspergillus niger. Food Biotechnol. 2006, 20, 231–242. [Google Scholar] [CrossRef]
- Wen, J.; Mu, P.; Deng, Y. Mycotoxins: Cytotoxicity and biotransformation in animal cells. Toxicol. Res. (Camb.) 2016, 5, 377–387. [Google Scholar] [CrossRef]
- Sun, L.H.; Lei, M.Y.; Zhang, N.Y.; Gao, X.; Li, C.; Krumm, C.S.; Qi, D.S. Individual and combined cytotoxic effects of aflatoxin B1, zearalenone, deoxynivalenol and fumonisin B1 on BRL 3A rat liver cells. Toxicon Off. J. Int. Soc. Toxinol. 2015, 95, 6–12. [Google Scholar] [CrossRef]
- Loi, M.; Fanelli, F.; Liuzzi, V.C.; Logrieco, A.F.; Mule, G. Mycotoxin Biotransformation by Native and Commercial Enzymes: Present and Future Perspectives. Toxins 2017, 9, 111. [Google Scholar] [CrossRef]
- Ji, C.; Fan, Y.; Zhao, L. Review on biological degradation of mycotoxins. Anim. Nutr. 2016, 2, 127–133. [Google Scholar] [CrossRef]
- Bejaoui, H.; Mathieu, F.; Taillandier, P.; Lebrihi, A. Ochratoxin A removal in synthetic and natural grape juices by selected oenological Saccharomyces strains. J. Appl. Microbiol. 2004, 97, 1038–1044. [Google Scholar] [CrossRef]
- Venkatesh, N.; Keller, N.P. Mycotoxins in Conversation With Bacteria and Fungi. Front. Microbiol. 2019, 10. [Google Scholar] [CrossRef] [PubMed]
- Ito, M.; Sato, I.; Ishizaka, M.; Yoshida, S.; Koitabashi, M.; Yoshida, S.; Tsushima, S. Bacterial cytochrome P450 system catabolizing the Fusarium toxin deoxynivalenol. Appl. Environ. Microbiol. 2013, 79, 1619–1628. [Google Scholar] [CrossRef] [PubMed]
- Hartinger, D.; Moll, W. Fumonisin elimination and prospects for detoxification by enzymatic transformation. World Mycotoxin J. 2011, 4, 271–283. [Google Scholar] [CrossRef]
- Vekiru, E.; Fruhauf, S.; Hametner, C.; Schatzmayr, G.; Krska, R.; Moll, W.D.; Schuhmacher, R. Isolation and characterisation of enzymatic zearalenone hydrolysis reaction products. World Mycotoxin J. 2016, 9, 353–363. [Google Scholar] [CrossRef]
- Takahashi-Ando, N.; Kimura, M.; Kakeya, H.; Osada, H.; Yamaguchi, I. A novel lactonohydrolase responsible for the detoxification of zearalenone: Enzyme purification and gene cloning. Biochem. J. 2002, 365, 1–6. [Google Scholar] [CrossRef]
- Chang, X.; Wu, Z.; Wu, S.; Dai, Y.; Sun, C. Degradation of ochratoxin A by Bacillus amyloliquefaciens ASAG1. Food Addit. Contam. Part A Chem. Anal. Control Expo Risk Assess. 2015, 32, 564–571. [Google Scholar] [CrossRef] [PubMed]
- Yu, K.; Liu, C.; Kim, B.-G.; Lee, D.-Y. Synthetic fusion protein design and applications. Biotechnol. Adv. 2015, 33, 155–164. [Google Scholar] [CrossRef]
- Schmidt, S.R. Fusion-proteins as biopharmaceuticals—Applications and challenges. Curr. Opin. Drug Discov. Dev. 2009, 12, 284–295. [Google Scholar]
- Berger, S.; Lowe, P.; Tesar, M. Fusion protein technologies for biopharmaceuticals: Applications and challenges. mAbs 2015, 7, 456–460. [Google Scholar] [CrossRef]
- James, C.L.; Viola, R.E. Production and characterization of bifunctional enzymes. Domain swapping to produce new bifunctional enzymes in the aspartate pathway. Biochemistry 2002, 41, 3720–3725. [Google Scholar] [CrossRef] [PubMed]
- Chen, X.; Zaro, J.L.; Shen, W.C. Fusion protein linkers: Property, design and functionality. Adv. Drug Deliv. Rev. 2013, 65, 1357–1369. [Google Scholar] [CrossRef] [PubMed]
- Xu, J.; Wang, H.; Zhu, Z.; Ji, F.; Yin, X.; Hong, Q.; Shi, J. Isolation and characterization of Bacillus amyloliquefaciens ZDS-1: Exploring the degradation of Zearalenone by Bacillus spp. Food Control 2016, 68, 244–250. [Google Scholar] [CrossRef]
- Karlovsky, P. Biological detoxification of fungal toxins and its use in plant breeding, feed and food production. Nat. Toxins 1999, 7, 1–23. [Google Scholar] [CrossRef]
- Bragulat, M.R.; Eustaquio, A.; Cabanes, F.J. Study on the presence of ochratoxin alpha in cultures of ochratoxigenic and non- ochratoxigenic strains of Aspergillus carbonarius. PLoS ONE 2017, 12, e0185986. [Google Scholar] [CrossRef]
- Tozlovanu, M.; Canadas, D.; Pfohl-Leszkowicz, A.; Frenette, C.; Paugh, R.J.; Manderville, R.A. Glutathione Conjugates of Ochratoxin a as Biomarkers of Exposure / Glutationski Konjugati Okratoksina A Kao Biomarkeri Izloženosti. Arch. Ind. Hyg. Toxicol. 2012, 63, 417. [Google Scholar] [CrossRef]
- Meca, G.; Blaiotta, G.; Ritieni, A. Reduction of ochratoxin A during the fermentation of Italian red wine Moscato. Food Control 2010, 21, 579–583. [Google Scholar] [CrossRef]
- Shier, W.T.; Shier, A.C.; Xie, W.; Mirocha, C.J. Structure-activity relationships for human estrogenic activity in zearalenone mycotoxins. Toxicon Off. J. Int. Soc. Toxinol. 2001, 39, 1435–1438. [Google Scholar] [CrossRef]
- Belsare, K.D.; Ruff, A.J.; Martinez, R.; Shivange, A.V.; Mundhada, H.; Holtmann, D.; Schrader, J.; Schwaneberg, U. P-LinK: A method for generating multicomponent cytochrome P450 fusions with variable linker length. BioTechniques 2014, 57, 13–20. [Google Scholar] [CrossRef]
- Patharajan, S.; Reddy, K.R.N.; Karthikeyan, V.; Spadaro, D.; Lore, A.; Gullino, M.L.; Garibaldi, A. Potential of yeast antagonists on invitro biodegradation of ochratoxin A. Food Control 2011, 22, 290–296. [Google Scholar] [CrossRef]
- Abrunhosa, L.; Paterson, R.R.; Venancio, A. Biodegradation of ochratoxin a for food and feed decontamination. Toxins 2010, 2, 1078–1099. [Google Scholar] [CrossRef] [PubMed]
- Lipscomb, W.N. Carboxypeptidase A mechanisms. Proc. Natl. Acad. Sci. USA 1980, 77, 3875–3878. [Google Scholar] [CrossRef] [PubMed]
- Cole, R.J.; Jarvis, B.B.; Schweikert, M.A. Ochratoxins and related metabolites. In Handbook of Secondary Fungal Metabolites; Academic Press: San Diego, CA, USA, 2003; Volume 3, pp. 615–624. [Google Scholar]
- Al-Hazmi, N.A. Determination of Patulin and Ochratoxin A using HPLC in apple juice samples in Saudi Arabia. Saudi J. Biol. Sci. 2010, 17, 353–359. [Google Scholar] [CrossRef]
- Megharaj, M.; Garthwaite, I.; Thiele, J.H. Total biodegradation of the oestrogenic mycotoxin zearalenone by a bacterial culture. Lett. Appl. Microbiol. 1997, 24, 329–333. [Google Scholar] [CrossRef] [PubMed]
- Ayed-Boussema, I.; Ouanes, Z.; Bacha, H.; Abid, S. Toxicities induced in cultured cells exposed to zearalenone: Apoptosis or mutagenesis? J. Biochem. Mol. Toxicol. 2007, 21, 136–144. [Google Scholar] [CrossRef] [PubMed]
- Hotchkiss, R.S.; Strasser, A.; McDunn, J.E.; Swanson, P.E. Cell death. N. Engl. J. Med. 2009, 361, 1570–1583. [Google Scholar] [CrossRef]
- Zhao, J.; Kyotani, Y.; Itoh, S.; Nakayama, H.; Isosaki, M.; Yoshizumi, M. Big mitogen-activated protein kinase 1 protects cultured rat aortic smooth muscle cells from oxidative damage. J. Pharmacol. Sci. 2011, 116, 173–180. [Google Scholar] [CrossRef] [PubMed]
- Borys, S.; Khozmi, R.; Kranc, W.; Bryja, A.; Dyszkiewicz-Konwińska, M.; Jeseta, M.; Kempisty, B. Recent Findings of the Types of Programmed Cell Death. Adv. Cell Biol. 2017, 5, 43–49. [Google Scholar] [CrossRef]
- Galluccio, M.; Amelio, L.; Scalise, M.; Pochini, L.; Boles, E.; Indiveri, C. Over-expression in E. coli and purification of the human OCTN2 transport protein. Mol. Biotechnol. 2012, 50, 1–7. [Google Scholar] [CrossRef] [PubMed]
- Bittner, A.; Cramer, B.; Harrer, H.; Humpf, H.U. Structure elucidation and in vitro cytotoxicity of ochratoxin alpha amide, a new degradation product of ochratoxin A. Mycotoxin Res. 2015, 31, 83–90. [Google Scholar] [CrossRef]
- Schmittgen, T.D.; Livak, K.J. Analyzing real-time PCR data by the comparative CT method. Nat. Protoc. 2008, 3, 1101. [Google Scholar] [CrossRef] [PubMed]












| pH | ZEA | OTA | |||
|---|---|---|---|---|---|
| ZHDCP (%) | ZHD (%) | CP (%) | ZHD-CP (%) | CP (%) | |
| 4 | 10.2 ± 3.8 | 19.7 ± 1.9 | 13.9 ± 0.2 | 7.7 ± 0.7 | 0.3 ± 0.4 |
| 5 | 27.1 ± 2.0 | 27.1 ± 2.0 | 15.3 ± 1.5 | 13.6 ± 1.6 | 29.0 ± 0.7 |
| 6 | 54.7 ± 0.5 | 54.7 ± 0.5 | 21.1 ± 1.0 | 23.5 ± 0.5 | 30.4 ± 1.1 |
| 7 | 56.5 ± 2.0 | 57.7 ± 0.4 | 39.8 ± 5.5 | 31.9 ± 1.1 | 34.4 ± 0.3 |
| 8 | 56.4 ± 4.6 | 65.2 ± 7.9 | 13 ± 3.2 | 20.2 ± 0.8 | 23.8 ± 0.8 |
| 9 | 55.5 ± 0.5 | 55.5 ± 0.5 | 6.7 ± 0.1 | 17.0 ± 3.7 | 15.0 ± 2.2 |
| 10 | 48.6 ± 5.6 | 55.5 ± 0.5 | 4.2 ± 1.2 | 23.4 ± 2.1 | 9.3 ± 3.2 |
| 11 | 27.3 ± 1.7 | 10.2 ± 3.8 | 0.1 ± 0.1 | 26.3 ± 7.0 | 5.0 ± 0.6 |
| °C | ZEA | OTA | |||
|---|---|---|---|---|---|
| ZHDCP (%) | ZHD (%) | CP (%) | ZHD-CP (%) | CP (%) | |
| 20 | 47.8 ± 4.6 | 45.2 ± 4.0 | 32.0 ± 6.8 | 24.0 ± 5.2 | 9.6 ± 5.0 |
| 25 | 57.0 ± 6.3 | 48.3 ± 3.9 | 37.7 ± 7.8 | 37.9 ± 0.9 | 47.8 ± 7.5 |
| 30 | 65.4 ± 3.4 | 49.9 ± 0.4 | 53.5 ± 0.8 | 46.8 ± 0.1 | 51.7 ± 4.5 |
| 35 | 79.2 ± 0.4 | 54.6 ± 0.6 | 65.4 ± 5.4 | 45.6 ± 2.1 | 81.9 ± 13.2 |
| 40 | 66.8 ± 1.2 | 66.2 ± 1.4 | 57.6 ± 2.5 | 40.3 ± 5.4 | 63.7 ± 5.1 |
| 45 | 69.3 ± 2.4 | 58.4 ± 1.4 | 51.6 ± 1.0 | 38.4 ± 5.7 | 55.1 ± 7.1 |
| Final Product | HZEN 336.69 | DZEN 292.38 | α-Zearalenol 320.3802 | β-Zearalenol 320.3802 | α-Zearalanol 322.40 | β-Zearalanol 322.40 |
|---|---|---|---|---|---|---|
| ZHDCP ZEA Final products | Detect | Detect | N/D | N/D | N/D | N/D |
| Carboxypeptidase ZEA Final products | Detect | Detect | N/D | N/D | N/D | N/D |
© 2019 by the authors. Licensee MDPI, Basel, Switzerland. This article is an open access article distributed under the terms and conditions of the Creative Commons Attribution (CC BY) license (http://creativecommons.org/licenses/by/4.0/).
Share and Cite
Azam, M.S.; Yu, D.; Liu, N.; Wu, A. Degrading Ochratoxin A and Zearalenone Mycotoxins Using a Multifunctional Recombinant Enzyme. Toxins 2019, 11, 301. https://doi.org/10.3390/toxins11050301
Azam MS, Yu D, Liu N, Wu A. Degrading Ochratoxin A and Zearalenone Mycotoxins Using a Multifunctional Recombinant Enzyme. Toxins. 2019; 11(5):301. https://doi.org/10.3390/toxins11050301
Chicago/Turabian StyleAzam, Md Shofiul, Dianzhen Yu, Na Liu, and Aibo Wu. 2019. "Degrading Ochratoxin A and Zearalenone Mycotoxins Using a Multifunctional Recombinant Enzyme" Toxins 11, no. 5: 301. https://doi.org/10.3390/toxins11050301
APA StyleAzam, M. S., Yu, D., Liu, N., & Wu, A. (2019). Degrading Ochratoxin A and Zearalenone Mycotoxins Using a Multifunctional Recombinant Enzyme. Toxins, 11(5), 301. https://doi.org/10.3390/toxins11050301

