Post-Harvest Contamination with Mycotoxins in the Context of the Geographic and Agroclimatic Conditions in Romania
Abstract
1. Introduction
2. Results
2.1. Agrometeorological Factors
2.1.1. Air Temperature
2.1.2. Precipitation
2.1.3. Soil Moisture Reserve
2.2. Post-Harvest Contamination with Mycotoxins
2.2.1. Deoxynivalenol (DON)
2.2.2. Total aflatoxins (AF)
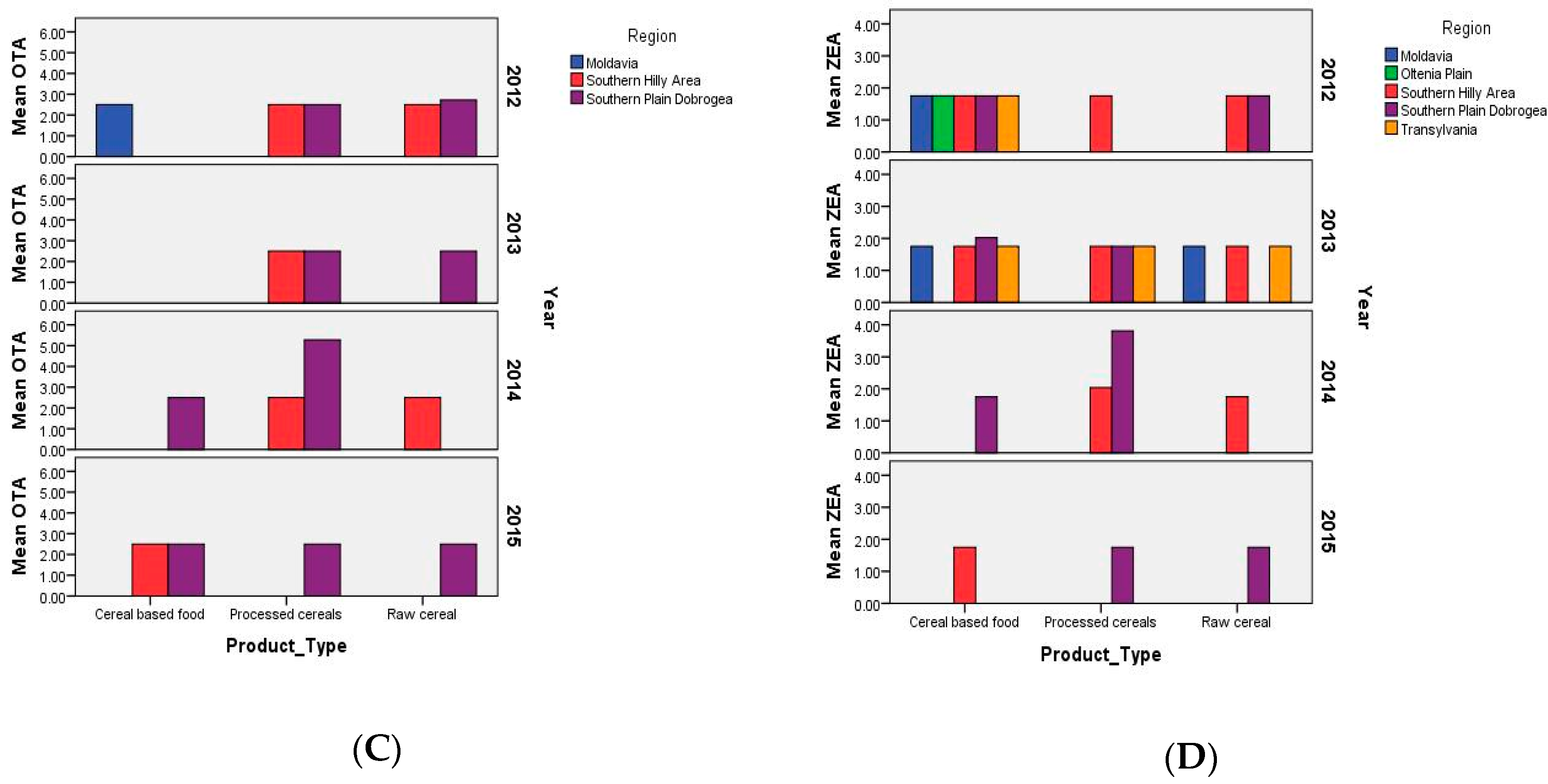
2.2.3. Ochratoxin A (OTA)
2.2.4. Zearalenone (ZEA)
2.3. Statistical Analysis between Post-Harvest Mycotoxins and the Geographic and Agroclimatic Conditions in Romania
2.3.1. Comparison of the Mycotoxin Distribution by Product Type, Agricultural Region, and Year
2.3.2. Dependence of Mycotoxin on the Agricultural Region—Correlations between Mycotoxins and Geographic Position
2.3.3. Correlation between Mycotoxins and Meteorological Factors
2.3.4. Dependence of Mycotoxins on Soil Type
3. Discussion
3.1. Mycotoxins in the Context of the Geographic and Agroclimatic Conditions of Romania
3.2. Mycotoxins in the Context of Current and Future Climate Conditions in Southeastern Europe
4. Conclusions
5. Materials and Methods
5.1. Post-Harvest Samples and Product Types
5.2. Mycotoxin Analysis
- −
- DON: Cereal—1250 µg/kg; processed cereal—750 µg/kg; food (bread, cakes)—500 µg/kg;
- −
- AF: Cereal—4 µg/kg; processed cereal—4 µg/kg; silage maize—10 µg/kg;
- −
- OTA: Cereal—5 µg/kg; processed cereal—3 µg/kg; and
- −
- ZEA: Cereal—100 µg/kg; processed cereal—75 µg/kg; food (bread, cakes)—50 µg/kg.
5.3. Geographic Coordinates
5.4. Agroclimatic Data
5.5. Data Collection
5.6. Statistical Analysis
5.7. Replicability and Results of this Approach
Supplementary Materials
Author Contributions
Funding
Conflicts of Interest
References
- Paterson, R.R.M.; Lima, N. How will climate change affect mycotoxins in food? Food Res. Int. 2010, 43, 1902–1914. [Google Scholar] [CrossRef]
- Paterson, R.R.M.; Lima, N.; Taniwaki, M.H. Coffee, mycotoxins and climate change. Food Res. Int. 2014, 61, 1–15. [Google Scholar] [CrossRef]
- Wild, C.P.; Gong, Y.Y. Mycotoxins and human disease: a largely ignored global health issue. Carginogenesis 2010, 31, 1–82. [Google Scholar] [CrossRef] [PubMed]
- Tirado, M.C.; Clarke, R.; Jaykus, L.A.; McQuatters-Gollop, A.; Frank, J.M. Climate change and food safety: A review. Food Res. Int. 2010, 43, 1745–1765. [Google Scholar] [CrossRef]
- Chen, D.; Chen, H.W. Using the Köppen classification to quantify climate variation and change: An example for 1901-2010. Environ. Dev. 2013, 6, 69–79. [Google Scholar] [CrossRef]
- Paltineanu, C.; Mihailescu, I.F.; Seceleanu, I.; Dragota, C.; Vasenciuc, F. Using aridity indices to describe some climate and soil features in eastern Europe: a Romanian case study. Theor. Appl. Clim. 2007, 90, 263–274. [Google Scholar] [CrossRef]
- Food and Agriculture Organization (FAO); FAOSTAT. Compare Data. Available online: http://www.fao.org/faostat/en/#compare (accessed on 18 July 2018).
- European Commission (EC); Soil Atlas of Europe, European Soil Bureau Network. Office for Official Publications of the European Communities, L-2995 Luxembourg. 2005. Available online: https://esdac.jrc.ec.europa.eu/Projects/Soil_Atlas/Download/Atlas.pdf (accessed on 10 January 2017).
- Croitoru, A.E.; Piticar, A.; Imbroane, A.M.; Burada, D.C. Spatiotemporal distribution of aridity indices based on temperature and precipitation in the extra-Carpathian regions of Romania. Theor. Appl. Clim. 2012, 112, 597–607. [Google Scholar] [CrossRef]
- Misca, C.; Daminescu, L.; Jianu, C.; David, I.; Misca, L.; Marginean, O.; Radoi, B.; Rinovetz, A.; Bujanca, G.; Velciov, A.; et al. The incidence of the strains of Fusarium sp. and of Zearalenone in cereals analyzed from the south west of Romania. Ann. West Univ. Timisoara Ser. Biol. 2014, XVII, 137–144. [Google Scholar]
- Alexa, E.; Dehelean, C.A.; Poiana, M.A.; Radulov, I.; Cimpean, A.M.; Bordean, D.M.; Tulcan, C.; Pop, G. The occurrence of mycotoxins in wheat from western Romania and histopathological impact as the effect of feed intake. Chem. Cent. J. 2013, 7, 2–11. [Google Scholar] [CrossRef] [PubMed]
- Alexa, E.; Pop, G.; Sumalan, R.; Radulov, I.; Poiana, M.; Tulcan, C. Fusarium species and Fusarium mycotoxins in cereals from West Romania: A preliminary survey. Commun. Agric. Appl. Biol. Sci. 2011, 76, 661–666. Available online: https://www.ncbi.nlm.nih.gov/pubmed/22702185 (accessed on 20 January 2017). [PubMed]
- Curtui, V.; Usleber, E.; Dietrich, R.; Lepschy, J.; Märtlbauer, E. A survey on the occurrence of mycotoxins in wheat and maize from western Romania. Mycopathologia 1998, 143, 97–103. [Google Scholar] [CrossRef] [PubMed]
- Banu, I.; Aprodu, I.; Nicolau, A. The occurrence of Fusarium Mycotoxins (Deoxynivalenol and Zearalenone) in Wheat and High Fibre Wheat Bread in Eastern Romania. J. Environ. Prot. Ecol. 2011, 2, 519–525. [Google Scholar]
- Tabuc, C.; Taranu, I.; Calin, L. Survey of mould and mycotoxin contamination of cereals in south-eastern Romania in 2008–2010. Arch. Zootech. 2011, 14, 25–38. [Google Scholar]
- Stroia, C.; Tabuc, C.; Neacsu, A. Incidence of Fusarium species and its mycotoxins in cereals from western Romania. Res. J. Agric. Sci. 2010, 42, 302–309. [Google Scholar]
- Gagiu, V.; Mateescu, E.; Smeu, I.; Dobre, A.A.; Cucu, M.E.; Oprea, O.A.; Iorga, E.; Belc, N. A survey of the cereal contamination with deoxynivalenol in Romania, for 2011-2013 period. Romanian Biotechnol. Lett. 2017, 22, 12240–12249. Available online: https://www.rombio.eu/vol22nr1/----11_V.Gagiu_Final__17.02.2017_.pdf (accessed on 1 March 2017).
- Gagiu, V.; Doja, L.; Mateescu, E.; Smeu, I.; Cucu, M.E.; Oprea, O.; Iorga, E.; Belc, N. Contamination with deoxynivalenol in the milling-bakery industry under the influence of climatic conditions from Romania. J. Hyg. Eng. Des. 2016, 16, 38–44. Available online: http://www.jhed.mk/filemanager/JHED%20Vol.%2016/02.%20FQ&S/05.%20Full%20paper%20-%20Valeria%20Gagiu.pdf (accessed on 3 January 2017).
- Sandu, I.; Mateescu, E. Schimbari Climatice Actuale Si Previzibile in Romania. Schimbari Climatice—Provocare Majora Pentru Cercetarea Agricola [Current and predictable climate change in Romania. Climate change—A Major Challenge for Agricultural Research]; Academia Romana—Sectia de Stiinte Agricole si Silvice: Editura Academiei Romane, Romania, 2014; pp. 17–36. ISBN 978-973-27-2421-7. [Google Scholar]
- Busuioc, A.; Caian, M.; Bojariu, R.; Boroneant, C.; Baciu, M.; Dumitrescu, A. Scenarii de Schimbare a Regimului Climatic in Romania Pe Perioada 2001-2030 [Scenarios for Changing the Climate Regime in Romania for the Period 2001-2030]; Administratia Nationala de Meteorologie: Bucharest, Romania, 2012; pp. 1–25. Available online: http://mmediu.ro/new/wp-content/uploads/2014/02/2012-04-23_schimbari_climatice_schimbareregimclimatic2001_2030.pdf (accessed on 8 January 2018).
- IPCC. Climate Change 2007: Synthesis Report. Contribution of Working Groups I, II and III to the Fourth Assessment Report of the Intergovernmental Panel on Climate Change; Core Writing Team, Pachauri, R.K., Reisinger, A., Eds.; IPCC: Geneva, Switzerland, 2007; 104p, Available online: http://www.ipcc.ch/pdf/assessment-report/ar4/syr/ar4_syr_full_report.pdf (accessed on 8 January 2018).
- World Bank. World Development Report 2010: Development and Climate Change. p. 439. Available online: https://openknowledge.worldbank.org/handle/10986/4387 (accessed on 8 January 2018).
- Climate Risk Index (CRI). Global Climate Risk Index 1997–2016. Available online: https://germanwatch.org/de/14638 (accessed on 8 January 2018).
- Fay, M.; Block, R.I.; Ebinger, J. Adapting to Climate Change in Eastern Europe and Central Asia. Europe and Central Asia Reports; World Bank: Washington, DC, USA, 2010; Available online: http://hdl.handle.net/10986/2407 (accessed on 8 January 2018).
- Oprea, O.A.; Mateescu, E.; Barbu, A.; Tudor, R. Extreme dry years in the 21st century at the level of the agricultural areas of Muntenia, Romania. Sciendo 2018, 1, 101–109. [Google Scholar] [CrossRef]
- Gagiu, V.; Cucu, M.; Dobre, A.; Mateescu, E.; Oprea, O.; Belc, N. Contaminarea cu micotoxina deoxinivalenol a recoltei de grâne din România, în anul agricol 2013–2014. In Contamination of Grain Crops with Deoxynivalenol in Romania, in Agricultural Year 2013-2014; Editura Inovativ Media: București, Romania, 2014; ISBN 978-973-0-18158-6. [Google Scholar]
- Vrînceanu, P.G.A. Research on the Vulnerability of Soils to the Degradation Processes—Desertification in the Bărăgan Plain. Ph.D. Thesis, USAMV Bucharest, Faculty of Land Improvements and Environment Engineering, București, Romania, 2011; 256p. Available online: https://www.usamv.ro/images/Programe_de_studii/Doctorat/Teze_de_doctorat/Arhiva_2011/Vrinceanu_Rez.pdf (accessed on 3 August 2018).
- Cotty, P.J.; Jaime-Garcia, R. Influence of climate on aflatoxin producing fungi and aflatoxin contamination. Int. J. Food Microbiol. 2007, 119, 109–115. [Google Scholar] [CrossRef]
- van der Fels-Klerx, H.J.; Liu, C.; Battilani, P. Modelling climate change impacts on mycotoxin contamination. Special Issue: Mycotoxins in a changing world. World Mycotoxin J. 2016, 9, 717–726. [Google Scholar] [CrossRef]
- Spinoni, J.; Lakatos, M.; Szentimrey, T.; Bihari, Z.; Szalai, S.; Vogt, J.; Antofie, T. Heat and cold waves trends in the Carpathian Region from 1961 to 2010. Int. J. Climatol. 2015, 35, 4197–4209. [Google Scholar] [CrossRef]
- Tabuc, C.; Marin, D.; Guerre, P.; Susan, T.; Bailly, J.D. Molds and Mycotoxin Content of Cereals in Southeastern Romania. J. Food Prot. 2009, 72, 662–665. Available online: http://jfoodprotection.org/doi/pdf/10.4315/0362-028X-72.3.662?code=FOPR-site (accessed on 18 April 2017). [CrossRef] [PubMed]
- Stanciu, O.; Juan, C.; Miere, D.; Loghin, F.; Maňes, J. Occurrence and co-occurrence of Fusarium mycotoxins in wheat grains and wheat flour from Romania. Food Control 2017, 73, 147–155. [Google Scholar] [CrossRef]
- Váňová, M.; Klem, K.; Matušinský, P.; Trnka, M. Prediction Model for Deoxynivalenol in Wheat Grain Based on Weather Conditions. Plant Prot. Sci. 2009, 45. Available online: https://www.agriculturejournals.cz/publicFiles/13965.pdf (accessed on 18 April 2018). [CrossRef]
- European Commission (EC). The Rapid Alert System for Food and Feed 2013 Annual Report. Available online: https://ec.europa.eu/food/sites/food/files/safety/docs/rasff_annual_report_2013.pdf (accessed on 3 August 2018).
- van Egmond, H.P. Foreword. World Mycotoxin J. 2018, 11, 1–4. [Google Scholar] [CrossRef]
- De Rijk, T.C.; van Egmond, H.P.; van der Fels-Klerx, H.J.; Herbes, R.; de Nijs, M.N.; Samson, R.A.; Slate, A.B.; van der Spiegel, M. A study of the 2013 Western European issue of aflatoxin contamination of maize from the Balkan area. World Mycotoxin J. 2015, 8, 641–651. [Google Scholar] [CrossRef]
- Dall’Asta, C.; Battilani, P. Fumonisins and their modified forms, a matter of concern in future scenario? Special Issue: Mycotoxins in a changing world. World Mycotoxin J. 2016, 9, 727–739. [Google Scholar] [CrossRef]
- Chakraborty, S.; Newton, A.C. Climate change, plant diseases and food security: an overview. Plant Pathol. 2011, 60, 2–14. [Google Scholar] [CrossRef]
- Spinoni, J.; Naumann, G.; Vogt, J.; Barbosa, P. European drought climatologies and trends based on a multi-indicator approach. Glob. Planet. Chang. 2015, 127, 50–57. [Google Scholar] [CrossRef]
- Sandu, I. Schimbari Climatice Observate Si Viitoare [Climate Changes Observed and Future]; Oral Presentation at World Meteorological Day with the theme. Climate Knowledge to Prevent Climate Change; ASAS: Bucharest, Romania, 2015; Available online: http://www.asas.ro/wcmqs/sectii/stiinta-solului/documente/ZMM%20ASAS%20FINAL.pdf (accessed on 4 March 2018).
- Mateescu, E. The Romanian Agrometeorological Services and Products—Current Status and Challenges in the Context of Climate Change; Workshop, Agrometeorologists for farmers in hotter, drier, wetter future 9–10 November 2016, Ljubljana, Slovenia; METEO: București, Romania, 2016; Available online: http://www.dmcsee.org/uploads/file/405_6_elenamateescu.pdf (accessed on 5 August 2018).
- Pleadin, J.; Vulić, A.; Perši, N.; Škrivanko, M.; Capek, B.; Cvetnić, Ž. Annual and regional variations of aflatoxin B1 levels seen in grains and feed coming from Croatian dairy farms over a 5-year period. Food Control 2015, 47, 221–225. [Google Scholar] [CrossRef]
- Bilandžić, N.; Božic, Ð.; Ðokic, M.; Sedak, M.; Solomun Kolanović, B.; Varenina, I.; Sanin Tanković, S.; Cvetnić, Z. Seasonal effect on aflatoxin M1 contamination in raw and UHT milk from Croatia. Food Control 2014, 40, 260–264. [Google Scholar] [CrossRef]
- Škrbic, B.; Živanćev, J.; Antić, I.; Godula, M. Levels of aflatoxin M1 in different types of milk collected in Serbia: assessment of human and animal exposure. Food Control 2014, 40, 113–119. [Google Scholar] [CrossRef]
- Kos, J.; Mastilović, J.; Hajnal, E.J.; Šarić, B. Natural occurrence of aflatoxins in maize harvested in Serbia during 2009–2012. Food Control 2013, 34, 31–34. [Google Scholar] [CrossRef]
- Dimitrieska-Stojković, E.; Stojanovska-Dimzoska, B.; Ilievska, G.; Uzunov, R.; Stojković, G.; Hajrulai-Musliu, Z.; Jankuloski, D. Assessment of aflatoxin contamination in raw milk and feed in Macedonia during 2013. Food Control 2016, 59, 201–206. [Google Scholar] [CrossRef]
- Krnjaja, V.; Tomić, Z.; Stanković, S.; Petrović, T.; Bijelić, Z.; Mandić, V.; Obradović, A. Fusarium infection and deoxynivalenol contamination in winter wheat. Biotechnol. Anim. Husb. 2015, 31, 123–131. [Google Scholar] [CrossRef]
- European Commission (EC). The Rapid Alert System for Food and Feed 2012 Annual Report. Available online: https://ec.europa.eu/food/sites/food/files/safety/docs/rasff_annual_report_2012_en.pdf (accessed on 3 August 2018).
- European Commission (EC). The Rapid Alert System for Food and Feed 2015 Annual Report. Available online: https://ec.europa.eu/food/sites/food/files/safety/docs/rasff_annual_report_2015.pdf (accessed on 3 August 2018).
- Gagiu, V. Triticale crop and contamination with mycotoxins under the influence of climate change—Global study. J. Hyg. Eng. Des. 2018, 23, 30–45. Available online: http://jhed.mk/filemanager/JHED%20Vol.%2023/02.%20FQ&S/04.%20Full%20paper%20-%20Valeria%20Gagiu.pdf (accessed on 3 January 2017).
- Schatzmayr, G.; Streit, E. Global occurrence of mycotoxins in the food and feed chain: Facts and figures. World Mycotoxin J. 2013, 6, 213–222. [Google Scholar] [CrossRef]
- Bojariu, R.; Velea, L.; Cica, R.D.; Dobrinescu, A.E.; Bîrsan, M.; Dumitrescu, A. Mechanisms of drought persistence in Romania in the climate change perspective. Ann. Univ. Craiova Biol. Hortic. Food Prod. Process. Technol. Environ. Eng. 2012, XVII, 523–526. Available online: http://www.euro4m.eu/Publications/090_BojariuR-craiova02.pdf (accessed on 19 March 2018).
- Medina, Á.; Rodríguez, A.; Sultan, Y.; Magan, N. Climate change factors and Aspergillus flavus: effects on gene expression, growth and aflatoxin production. World Mycotoxin J. 2015, 8, 171–179. [Google Scholar] [CrossRef]
- Medina, Á.; Gilbert, M.K.; Mack, B.M.; Obrian, G.R.; Rodríguez, A.; Bhatnagar, D.; Payne, G.; Magan, N. Interactions between water activity and temperature on the Aspergillus flavus transcriptome and aflatoxin B1 production. Int. J. Food Microbiol. 2017, 256, 36–44. [Google Scholar] [CrossRef]
- Akbar, A.; Medina, A.; Magan, N. Impact of interacting climate change factors on growth and ochratoxin A production by Aspergillus section Circumdati and Nigri species on coffee. World Mycotoxin J. 2016, 9, 863–874. [Google Scholar] [CrossRef]
- Wu, F.; Bhatnagar, D.; Bui-Klimke, T.; Carbone, I.; Hellmich, R.L.; Munkvold, G.P.; Paul, P.; Payne, G.; Tackle, E.S. Climate change impacts on mycotoxin risks in US maize. World Mycotoxin J. 2011, 4, 79–93. [Google Scholar] [CrossRef]
- Battilani, P.; Rossi, V.; Giorni, P.; Pietri, A.; Gualla, A.; van der Fels-Klerx, H.J.; Booij, C.J.H.; Moretti, A.; Logrieco, A.; Miglietta, F.; et al. Modelling and mapping the emergence of aflatoxins in cereals in the EU due to climate change. Sci. Rep. Submitt. EFSA 2012, 9, 223E. [Google Scholar] [CrossRef]
- Battilani, P.; Toscano, P.; van der Fels-Klerx, H.J.; Moretti, A.; Camardo Leggieri, M.; Brera, C.; Rortais, A.; Goumperis, T.; Robinson, T. Aflatoxin B1 contamination in maize in Europe increases due to climate change. Sci. Rep. 2016, 6, 24328. [Google Scholar] [CrossRef] [PubMed]
- Demirel, R.; Yilmaz, S.N. Mycotoxigenic molds and mycotoxins in flours consumed in Turkey. J. Sci. Food Agric. 2014, 94, 1577–1584. [Google Scholar] [CrossRef] [PubMed]
- Aydin, A.; Aksu, H.; Gunsen, U. Mycotoxin levels and incidence of mold in Turkish rice. Environ. Monit. Assess 2011, 178, 271–280. [Google Scholar] [CrossRef] [PubMed]
- Kabak, B. Ochratoxin A in cereal-derived products in Turkey: Occurrence and exposure assessment. Food Chem. Toxicol. 2008, 47, 348–352. [Google Scholar] [CrossRef] [PubMed]
- Jurjevic, Z.; Solfrizzo, M.; Cvjetkovic, B.; De Girolamo, A.; Visconti, A. The occurrence of Beauvericin in Corn from Croatia. Food Technol. Biotechnol. 2002, 40, 91–94. Available online: http://www.ftb.com.hr/images/pdfarticles/2002/April-June/40-91.pdf (accessed on 18 April 2017).
- Kirinčič, S.; Škrjanc, B.; Kos, N.; Kozolc, B.; Pirnat, N.; Tavčar-Kalcher, G. Mycotoxins in cereals and cereal products in Slovenia—Official control of foods in the years 2008–2012. Food Control 2015, 50, 157–165. [Google Scholar] [CrossRef]
- Rafai, P.; Bata, A.; Jakab, L.; Vanyi, A. Evaluation of mycotoxin-contaminated cereals for their use in animal feeds in Hungary. Food Addit. Contam. 2000, 17, 799–808. [Google Scholar] [CrossRef]
- Bolechová, M.; Benešová, K.; Bélachová, S.; Čáslavský, J.; Pospíchalová, M.; Mikulíková, R. Determination of seventeen mycotoxins in barley and malt in the Czech Republic. Food Control 2015, 47, 108–113. [Google Scholar] [CrossRef]
- Commission Regulation (EC) No 1881/2006 of 19 December 2006 setting maximum levels for certain contaminants in foodstuffs. Available online: https://eur-lex.europa.eu/legal-content/EN/TXT/PDF/?uri=CELEX:32006R1881&from=EN (accessed on 1 November 2017).
- Commission Regulation (EC) No 1126/2007 of 28 September 2007 amending Regulation (EC) No 1881/2006 Setting Maximum Levels for Certain Contaminants in Foodstuffs as Regards Fusarium Toxins in Maize and Maize Products. Available online: https://eur-lex.europa.eu/legal-content/EN/TXT/PDF/?uri=CELEX:32007R1126&from=EN (accessed on 1 November 2017).
- Google Earth. Google Landsat/Copernicus. Available online: https://earth.google.com/web/ (accessed on 21 March 2017).






| Correlations for the Baragan Plain (44–45° N, 25–27° E) | Annual Agrometeorological Factors, 2012–2015 | May–June Agrometeorological Factors, 2012–2015 | Aridity Indices, 1900–2000 | |||||
|---|---|---|---|---|---|---|---|---|
| Cumulative Precipitation | Average air Temperature | Soil moisture Reserve | Average air Temperature | Cumulative Precipitation | De Martonne (Iar-dM) | Climatic Water Deficit (CWD) | ||
| DON All Years | Pearson Correlation | −0.296 * | −0.028 | −0.040 | 0.120 | −0.195 | 0.003 | −0.029 |
| Significance (two-tailed) | 0.035 | 0.844 | 0.779 | 0.404 | 0.169 | 0.983 | 0.837 | |
| N | 51 | 51 | 51 | 51 | 51 | 51 | 51 | |
| DON 2012 | Pearson Correlation | 0.521 * | 0.092 | −0.277 | 0.353 | 0.279 | 0.059 | 0.315 |
| Significance (two-tailed) | 0.022 | 0.709 | 0.250 | 0.139 | 0.247 | 0.811 | 0.189 | |
| N | 19 | 19 | 19 | 19 | 19 | 19 | 19 | |
| DON 2015 | Pearson Correlation | 0.619 | −0.057 | −0.215 | −0.435 | 0.801 * | −0.573 | |
| Significance (two-tailed) | 0.102 | 0.893 | 0.608 | 0.281 | 0.017 | 0.138 | ||
| N | 8 | 8 | 8 | 8 | 8 | 8 | 8 | |
| Correlations for the Baragan Plain (44–45° N, 25–27° E) | Annual Agrometeorological Factors, 2012–2015 | July–August Agrometeorological Factors, 2012–2015 | Aridity Indices, 1900–2000 | |||||
|---|---|---|---|---|---|---|---|---|
| Cumulative Precipitation | Average air Temperature | Soil moisture Reserve | Average air Temperature | Cumulative Precipitation | De Martonne (Iar-dM) | Climatic Water Deficit (CWD) | ||
| AF All Years | Pearson Correlation | −0.021 | 0.064 | −0.142 | 0.025 | −0.125 | −0.070 | −0.062 |
| Significance (two-tailed) | 0.876 | 0.642 | 0.296 | 0.856 | 0.357 | 0.608 | 0.652 | |
| N | 56 | 56 | 56 | 56 | 56 | 56 | 56 | |
| OTA All Years | Pearson Correlation | 0.416 ** | −0.317 * | −0.112 | −0.156 | 0.107 | −0.094 | 0.044 |
| Significance (two-tailed) | 0.006 | 0.038 | 0.481 | 0.319 | 0.495 | 0.550 | 0.777 | |
| N | 43 | 43 | 42 | 43 | 43 | 43 | 43 | |
| OTA 2014 | Pearson Correlation | 0.904 * | 0.329 | 0.236 | 0.357 | 0.796 | 0.239 | |
| Significance (two-tailed) | 0.013 | 0.525 | 0.652 | 0.487 | 0.058 | 0.648 | ||
| N | 6 | 6 | 6 | 6 | 6 | 6 | 6 | |
| ZEA All Years | Pearson Correlation | 0.217 | −0.118 | −0.046 | −0.043 | 0.016 | −0.136 | −0.124 |
| Significance (two-tailed) | 0.142 | 0.428 | 0.757 | 0.774 | 0.915 | 0.362 | 0.406 | |
| N | 47 | 47 | 47 | 47 | 47 | 47 | 47 | |
© 2018 by the authors. Licensee MDPI, Basel, Switzerland. This article is an open access article distributed under the terms and conditions of the Creative Commons Attribution (CC BY) license (http://creativecommons.org/licenses/by/4.0/).
Share and Cite
Gagiu, V.; Mateescu, E.; Armeanu, I.; Dobre, A.A.; Smeu, I.; Cucu, M.E.; Oprea, O.A.; Iorga, E.; Belc, N. Post-Harvest Contamination with Mycotoxins in the Context of the Geographic and Agroclimatic Conditions in Romania. Toxins 2018, 10, 533. https://doi.org/10.3390/toxins10120533
Gagiu V, Mateescu E, Armeanu I, Dobre AA, Smeu I, Cucu ME, Oprea OA, Iorga E, Belc N. Post-Harvest Contamination with Mycotoxins in the Context of the Geographic and Agroclimatic Conditions in Romania. Toxins. 2018; 10(12):533. https://doi.org/10.3390/toxins10120533
Chicago/Turabian StyleGagiu, Valeria, Elena Mateescu, Ileana Armeanu, Alina Alexandra Dobre, Irina Smeu, Mirela Elena Cucu, Oana Alexandra Oprea, Enuta Iorga, and Nastasia Belc. 2018. "Post-Harvest Contamination with Mycotoxins in the Context of the Geographic and Agroclimatic Conditions in Romania" Toxins 10, no. 12: 533. https://doi.org/10.3390/toxins10120533
APA StyleGagiu, V., Mateescu, E., Armeanu, I., Dobre, A. A., Smeu, I., Cucu, M. E., Oprea, O. A., Iorga, E., & Belc, N. (2018). Post-Harvest Contamination with Mycotoxins in the Context of the Geographic and Agroclimatic Conditions in Romania. Toxins, 10(12), 533. https://doi.org/10.3390/toxins10120533

