Agronomic Approach of Zinc Biofortification Can Increase Zinc Bioavailability in Wheat Flour and thereby Reduce Zinc Deficiency in Humans
Abstract
:1. Introduction
2. Materials and Methods
2.1. Wheat Grain Biofortification
2.2. Flour Fractions and Analysis
2.3. Estimation of Zn Bioavailability
2.4. Health Impact of Zn Biofortification in Wheat
2.5. Statistical Analysis
3. Results
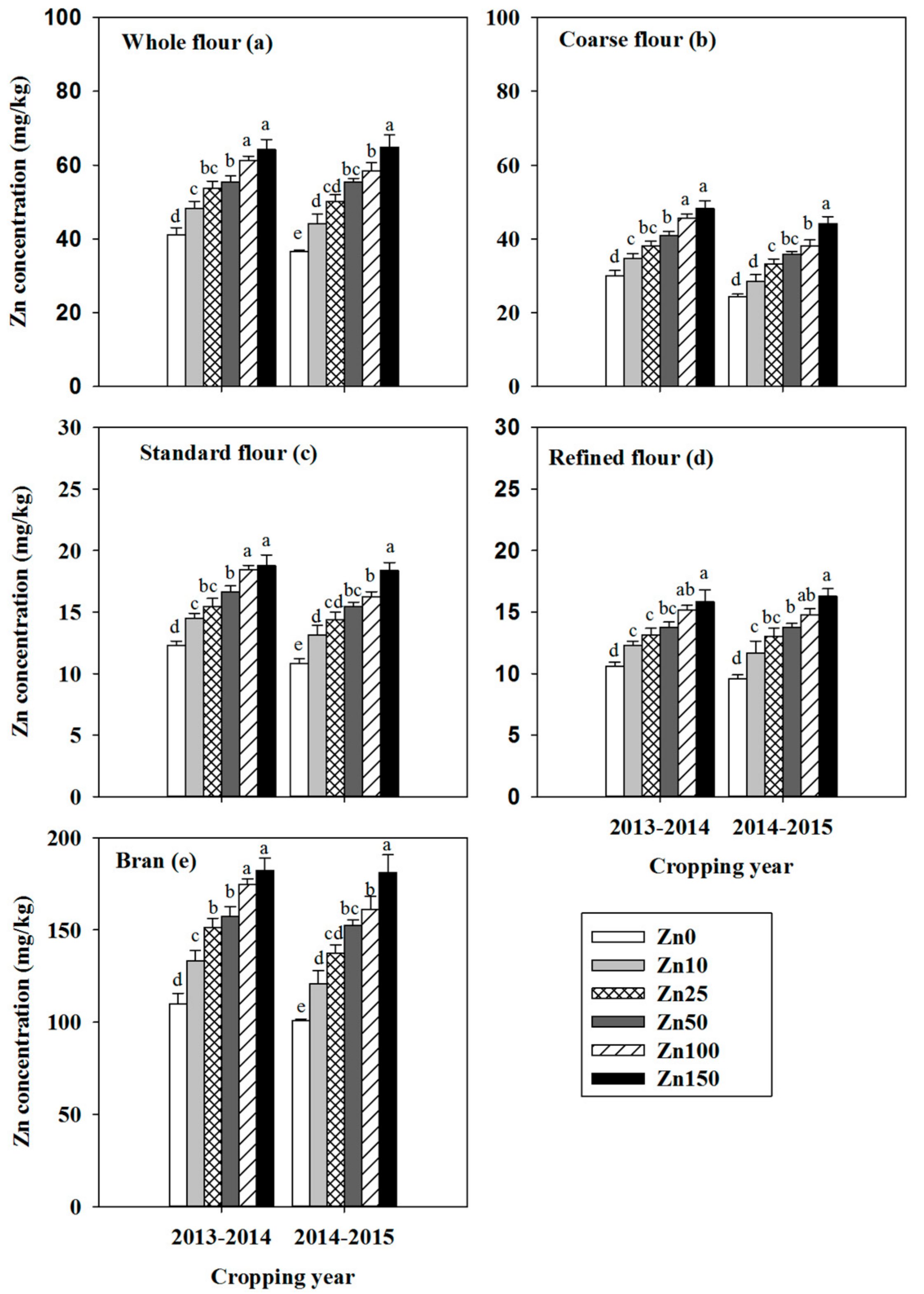
3.1. Zn and PA Concentrations in Grain Milling Fractions
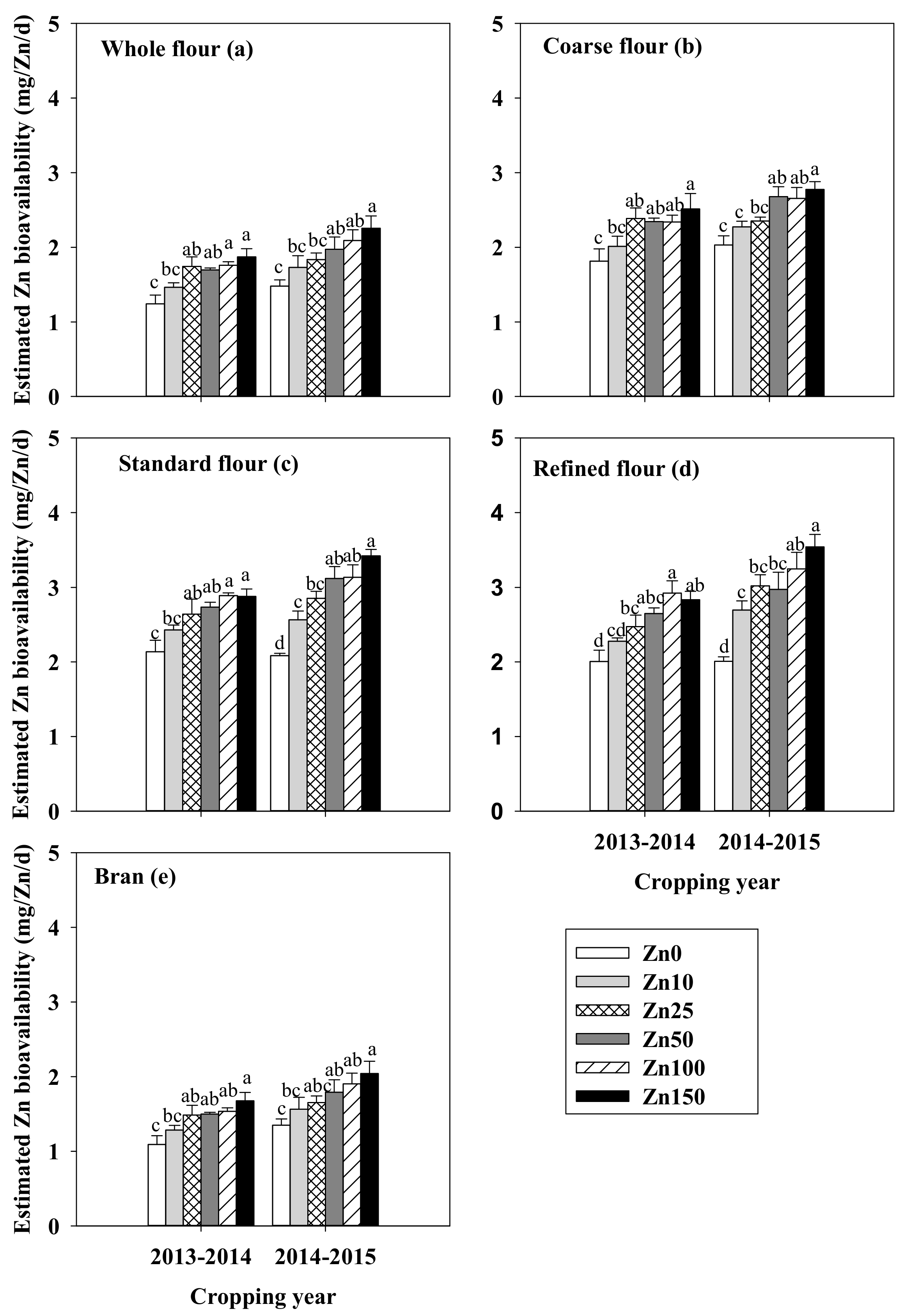
3.2. Estimated Zn Bioavailability in Wheat Flours
3.3. Health Impact of Zn Biofortified Flours in China
3.4. Bioavailability of Other Micronutrients in Wheat Flours
4. Discussion
5. Conclusions
Acknowledgments
Author Contributions
Conflicts of Interest
References
- King, J.; Cousins, R. Zinc. Modern Nutrition in Health and Disease, 10th ed.; Shils, M., Ed.; Lippincott Williams & Wilkins: Philadelphia, PA, USA, 2006; pp. 271–285. [Google Scholar]
- Maret, W. Molecular aspects of human cellular zinc homeostasis: Redox control of zinc potentials and zinc signals. Biometals 2009, 22, 149–157. [Google Scholar] [CrossRef] [PubMed]
- Prasad, A.S. Clinical, immunological, anti-inflammatory and antioxidant roles of zinc. Exp. Gerontol. 2008, 43, 370–377. [Google Scholar] [CrossRef] [PubMed]
- Cakmak, I. Enrichment of cereal grains with zinc: Agronomic or genetic biofortification? Plant Soil 2008, 302, 1–17. [Google Scholar] [CrossRef]
- Brown, K.H.; Peerson, J.M.; Rivera, J.; Allen, L.H. Effect of supplemental zinc on the growth and serum zinc concentrations of prepubertal children: A meta-analysis of randomized controlled trials. Am. J. Clin. Nutr. 2002, 75, 1062–1071. [Google Scholar] [PubMed]
- Mahomed, K.; Bhutta, Z.; Middleton, P. Zinc supplementation for improving pregnancy and infant outcome. Cochrane Database Syst. Rev. 2012, 7, CD000230. [Google Scholar]
- Prasad, A.S. Discovery of human zinc deficiency: Impact on human health. Nutrition 2001, 17, 685–687. [Google Scholar] [CrossRef]
- Myers, S.S.; Zanobetti, A.; Kloog, I.; Huybers, P.; Leakey, A.D.B.; Bloom, A.J.; Carlisle, E.; Dietterich, L.H.; Fitzgerald, G.; Hasegawa, T.; et al. Increasing CO2 threatens human nutrition. Nature. 2014, 510, 139–142. [Google Scholar] [CrossRef] [PubMed]
- Shewry, P.R. Wheat. J. Exp. Bot. 2009, 60, 1537–1553. [Google Scholar] [CrossRef] [PubMed]
- FAO. FAOSTAT–Agriculture Database. Available online: http://www.fao.org/faostat/en/#data/QC (accessed on 18 May 2014).
- Alloway, B.J. Zinc in Soils and Crop Nutrition. In International Zinc Association; Brussels International Fertilizer Industry Association: Paris, France, 2008. [Google Scholar]
- Ozturk, L.; Yazici, M.A.; Yucel, C.; Torun, A.; Cekic, C.; Bagci, A.; Ozkan, H.; Braun, H.J.; Sayers, Z.; Cakmak, I. Concentration and localization of zinc during seed development and germination in wheat. Physiol. Plant. 2006, 128, 144–152. [Google Scholar] [CrossRef]
- Li, M.; Wang, S.X.; Tian, X.H.; Zhao, J.H.; Li, H.Y.; Guo, C.H.; Chen, Y.L.; Zhao, A.Q. Zn distribution and bioavailability in whole grain and grain fractions of winter wheat as affected by applications of soil n and foliar Zn combined with n or p. J. Cereal Sci. 2014, 61, 26–32. [Google Scholar] [CrossRef]
- Rosado, J.L.; Hambidge, K.M.; Miller, L.V.; Garcia, O.P.; Westcott, J.; Gonzalez, K.; Conde, J.; Hotz, C.; Pfeiffer, W.; Ortizmonasterio, I. The quantity of zinc absorbed from wheat in adult women is enhanced by biofortification. J. Nutr. 2009, 139, 1920–1925. [Google Scholar] [CrossRef] [PubMed]
- Qin, Y.; Melse-Boonstra, A.; Yuan, B.; Pan, X.; Dai, Y.; Zhou, M.; Wegmueller, R.; Zhao, J.; Kok, F.J.; Shi, Z. Zinc biofortification of rice in China: A simulation of zinc intake with different dietary patterns. Nutrients 2012, 4, 517–528. [Google Scholar] [CrossRef] [PubMed]
- Welch, R.M.; Graham, R.D. A new paradigm for world agriculture: Meeting human needs—Productive, sustainable, nutritious. Field Crops Res. 1999, 60, 1–10. [Google Scholar] [CrossRef]
- Kumar, V.; Sinha, A.K.; Makkar, H.P.S.; Becker, K. Dietary roles of phytate and phytase in human nutrition: A review. Food Chem. 2010, 120, 945–959. [Google Scholar] [CrossRef]
- Fredlund, K.; Isaksson, M.; Rossander-Hulthen, L.; Almgren, A.; Sandberg, A.S. Absorption of zinc and retention of calcium: Dose-dependent inhibition by phytate. J. Trace Elem. Med. Biol. 2006, 20, 49–57. [Google Scholar] [CrossRef] [PubMed]
- Morris, E.R.; Ellis, R. Usefulness of the dietary phytic acid/zinc molar ratio as an index of zinc bioavailability to rats and humans. Biol. Trace Elem. Res. 1989, 19, 107–117. [Google Scholar] [CrossRef] [PubMed]
- Lim, K.; Riddell, L.; Nowson, C.; Booth, A.; Szymlek-Gay, E. Iron and zinc nutrition in the economically-developed world: A review. Nutrients 2013, 5, 3184–3211. [Google Scholar] [CrossRef] [PubMed]
- Miller, L.V.; Krebs, N.F.; Hambidge, K.M. A mathematical model of zinc absorption in humans as a function of dietary zinc and phytate. J. Nutr. 2007, 137, 135–141. [Google Scholar] [PubMed]
- Murray, C.J. Quantifying the burden of disease: The technical basis for disability-adjusted life years. Bull. World Health Organ. 1994, 72, 429–445. [Google Scholar] [PubMed]
- Wang, Y.H.; Zou, C.Q.; Mirza, Z.; Li, H.; Zhang, Z.Z.; Li, D.P.; Xu, C.L.; Zhou, X.B.; Shi, X.J.; Xie, D.T.; et al. Cost of agronomic biofortification of wheat with zinc in China. Agron. Sustain. Dev. 2016, 36, 44. [Google Scholar] [CrossRef]
- Steur, H.D.; Gellynck, X.; Blancquaert, D.; Lambert, W.; Straeten, D.V.D.; Qaim, M. Potential impact and cost-effectiveness of multi-biofortified rice in China. New Biotechnol. 2012, 29, 432–442. [Google Scholar] [CrossRef] [PubMed]
- Majid, A.; Ezatollah, E.; Behzad, S.; Seyed-Bahman, M. Zinc application methods affect agronomy traits and grain micronutrients in bread and durum wheat under zinc-deficient calcareous soil. Yuzuncu Yil. Univ. J. Agric. Sci. 2016, 26, 202–214. [Google Scholar]
- Zhao, A.Q.; Bao, Q.L.; Tian, X.H.; Lu, X.C.; William, J.G. Combined effect of iron and zinc on micronutrient levels in wheat (Triticum. aestivum L.). J. Environ. Biol. 2011, 32, 235–239. [Google Scholar] [PubMed]
- Kabata-Pendias, A.; Pendias, H.K. Trace Elements in Soils and Plants; CRC Press: Boca Raton, FL, USA, 1984; Volume 34, pp. 951–974. [Google Scholar]
- Carmenm, D.; Leslier, W.; Sarahm, K.; Fernandoe, V.; Janetc, K. Supplemental zinc lowers measures of iron status in young women with low iron reserves. J. Nutr. 2002, 132, 1860–1864. [Google Scholar]
- Penny, M.E.; Marin, R.M.; Duran, A.; Peerson, J.M.; Lanata, C.F.; Bo, L.; Black, R.E.; Brown, K.H. Randomized controlled trial of the effect of daily supplementation with zinc or multiple micronutrients on the morbidity, growth, and micronutrient status of young peruvian children. Am. J. Clin. Nutr. 2004, 79, 457–465. [Google Scholar] [PubMed]
- Brown, K.H.; Peerson, J.M.; Baker, S.K.; Hess, S.Y. Preventive zinc supplementation among infants, preschoolers, and older prepubertal children. Food Nutr. Bull. 2009, 30, S12–S40. [Google Scholar] [CrossRef] [PubMed]
- American Association for Clinical Chemistry (AACC). Approved Methods of the American Association of Cereal Chemists, 10th ed.; Methods 26–21a; The Association: St. Paul, MN, USA, 2000. [Google Scholar]
- Haug, W.; Lantzsch, H.J. Sensitive method for the rapid determination of phytate in cereals and cereal products. J. Sci. Food Agric. 1983, 34, 1423–1426. [Google Scholar] [CrossRef]
- Hambidge, K.M.; Miller, L.V.; Westcott, J.E.; Sheng, X.; Krebs, N.F. Zinc bioavailability and homeostasis. Am. J. Clin. Nutr. 2010, 91, 1478S–1483S. [Google Scholar] [CrossRef] [PubMed]
- Abizari, A.R.; Moretti, D.; Schuth, S.; Zimmermann, M.B.; Armar-Klemesu, M.; Brouwer, I.D. Phytic acid-to-iron molar ratio rather than polyphenol concentration determines iron bioavailability in whole-cowpea meal among young women. J. Nutr. 2012, 142, 1950–1955. [Google Scholar] [CrossRef] [PubMed]
- Chai, W. Chinese Dietary Vitamin Intake and Deficiency in Recent Ten Years Based on Systematic Analysis. In Proceedings of the 2nd International Meeting of the Micronutrient Forum Micronutrients, Beijing, China, 12–15 May 2009. [Google Scholar]
- Allen, L.; de Benoist, B.; Dary, O.; Hurrell, R. Guidelines on Food Fortification with Micronutrients; WHO: Geneva, Switzerland, 2006. [Google Scholar]
- Stein, A.J.; Meenakshi, J.V.; Qaim, M.; Nestel, P.; Sachdev, H.P.S.; Bhutta, Z.A. Analyzing the Health Benefits of Biofortified Staple Crops by Means of the Disability-Adjusted Life Years Approach: A Handbook Focusing on Iron, Zinc and Vitamin A; Harvest Plus Technical Monograph Series; Food and Agriculture Organization of the United Nations: Rome, Italy, 2005; pp. 1–32. [Google Scholar]
- Liu, D.Y.; Zhang, W.; Pang, L.L.; Zhang, Y.Q.; Wang, X.Z.; Liu, Y.M.; Chen, X.P.; Zhang, F.S.; Zou, C.Q. Effects of zinc application rate and zinc distribution relative to root distribution on grain yield and grain Zn concentration in wheat. Plant Soil 2017, 411, 167–178. [Google Scholar] [CrossRef]
- Ortiz-Monasterio, J.I.; Palacios-Rojas, N.; Meng, E.; Pixley, K.; Trethowan, R.; Peña, R.J. Enhancing the mineral and vitamin content of wheat and maize through plant breeding. J. Cereal Sci. 2007, 46, 293–307. [Google Scholar] [CrossRef]
- Lombi, E.; Smith, E.; Hansen, T.H.; Paterson, D.; de Jonge, M.D.; Howard, D.L.; Persson, D.P.; Husted, S.; Ryan, C.; Schjoerring, J.K. Megapixel imaging of (micro) nutrients in mature barley grains. J. Exp. Bot. 2011, 62, 273–282. [Google Scholar] [CrossRef] [PubMed]
- Zhang, Y.Q.; Shi, R.L.; Rezaul, K.M.; Zhang, F.S.; Zou, C.Q. Iron and zinc concentrations in grain and flour of winter wheat as affected by foliar application. J. Agric. Food Chem. 2010, 58, 12268–12274. [Google Scholar] [CrossRef] [PubMed]
- Harland, B.F.; Morris, E.R. Phytate—A good or a bad food component. Nutr. Res. 1995, 15, 733–754. [Google Scholar] [CrossRef]
- Erdal, I.; Yilmaz, A.; Taban, S.; Eker, S.; Torun, B.; Cakmak, I. Phytic acid and phosphorus concentrations in seeds of wheat cultivars grown with and without zinc fertilization. J. Plant Nutr. 2002, 25, 113–127. [Google Scholar] [CrossRef]
- Wang, Z.M.; Liu, Q.; Pan, F.; Yuan, L.X.; Yin, X.B. Effects of increasing rates of zinc fertilization on phytic acid and phytic acid/zinc molar ratio in zinc bio-fortified wheat. Field Crops Res. 2015, 184, 58–64. [Google Scholar] [CrossRef]
- Zhang, Y.Q.; Sun, Y.X.; Ye, Y.L.; Karim, M.R.; Xue, Y.F.; Yan, P.; Meng, Q.F.; Cui, Z.L.; Cakmak, I.; Zhang, F.S.; et al. Zinc biofortification of wheat through fertilizer applications in different locations of China. Field Crops Res. 2012, 125, 1–7. [Google Scholar] [CrossRef]
- Ma, G.S.; Jin, Y.; Piao, J.H.; Kok, F.; Guusje, B.; Jacobsen, E. Phytate, calcium, iron, and zinc contents and their molar ratios in foods commonly consumed in China. J. Agric. Food Chem. 2005, 53, 10285–10290. [Google Scholar] [CrossRef] [PubMed]
- Hussain, S.; Maqsood, M.A.; Rengel, Z.; Aziz, T.; Abid, M. Estimated zinc bioavailability in milling fractions of biofortified wheat grains and in flours of different extraction rates. Int. J. Agric. Biol. 2013, 15, 383–388. [Google Scholar]
- Hotz, C.; Brown, K.H. International zinc nutrition consultative group (IZINCG) technical document #1. Assessment of the risk of zinc deficiency in populations and options for its control. Food Nutr. Bull. 2004, 25, S99–S203. [Google Scholar]
- Tang, J.W.; Zou, C.Q.; He, Z.H.; Shi, R.L.; Ivan, O.M.; Qu, Y.Y.; Zhang, Y. Mineral element distributions in milling fractions of Chinese wheats. J. Cereal Sci. 2008, 48, 821–828. [Google Scholar] [CrossRef]
- Levrat-Verny, M.A.; Coudray, C.; Bellanger, J.; Lopez, H.W.; Demigne, C.; Rayssiguier, Y.; Remesy, C. Whole wheat flour ensures higher mineral absorption and bioavailability than white wheat flour in rats. Br. J. Nutr. 1999, 82, 17–21. [Google Scholar] [PubMed]
- Ryan, M.H.; McInerney, J.K.; Record, I.R.; Angus, J.F. Zinc bioavailability in wheat grain in relation to phosphorus fertilizer, crop sequence and mycorrhizal fungi. J. Sci. Food Agric. 2008, 88, 1208–1216. [Google Scholar] [CrossRef]




| B1 | B2 | B3 | R1 | R2 | R3 | Coarse Bran | Fine Bran | Coarse Flour b | Standard Flour c | Refined Flour d | Bran e | |
|---|---|---|---|---|---|---|---|---|---|---|---|---|
| Weight (g) a | ||||||||||||
| 2014 | 117.1 | 71.9 | 24.1 | 392.1 | 157.1 | 36.6 | 129.8 | 118.0 | 916.9 | 798.9 | 509.2 | 247.8 |
| 2015 | 124.4 | 81.1 | 24.6 | 449.8 | 216.6 | 49.9 | 186.3 | 126.7 | 1073.2 | 946.5 | 574.2 | 313.0 |
| Percentage in grain (%) | ||||||||||||
| 2014 | 11.2 | 6.9 | 2.3 | 37.5 | 15.0 | 3.5 | 12.4 | 11.3 | 87.6 | 76.3 | 48.7 | 23.7 |
| 2015 | 9.9 | 6.4 | 2.0 | 35.7 | 17.2 | 4.0 | 14.8 | 10.1 | 85.2 | 75.1 | 45.6 | 24.9 |
| Average | 10.5 | 6.6 | 2.1 | 36.6 | 16.1 | 3.7 | 13.6 | 10.7 | 86.4 | 75.7 | 47.1 | 24.3 |
| ZnSO4·7H2O Rate (kg/ha) | B1 | B2 | B3 | R1 | R2 | R3 | Coarse Bran | Fine Bran | ||||||||
|---|---|---|---|---|---|---|---|---|---|---|---|---|---|---|---|---|
| 2014 | 2015 | 2014 | 2015 | 2014 | 2015 | 2014 | 2015 | 2014 | 2015 | 2014 | 2015 | 2014 | 2015 | 2014 | 2015 | |
| Zn concentration (mg/kg) | ||||||||||||||||
| 0 | 11.4 d | 10.8 d | 13.2 d | 5.7 e | 22.2 d | 18.9 c | 10.3 d | 9.2 d | 12.4 d | 12.0 d | 24.6 c | 26.7 c | 106 e | 98.3 e | 114 d | 105 e |
| 10 | 13.1 cd | 12.4 cd | 15.1 c | 7.6 de | 25.9 c | 25.5 b | 12.0 c | 11.5 c | 15.2 c | 13.7 cd | 32.2 b | 31.4 b | 128 d | 120 d | 140 c | 123 de |
| 25 | 13.9 c | 13.5 cd | 16.1 c | 9.4 cd | 26.5 bc | 24.4 b | 12.9 c | 12.9 bc | 16.4 bc | 14.9 bc | 37.9 b | 32.3 b | 142 cd | 137 cd | 163 b | 138 cd |
| 50 | 14.2 bc | 14.9 bc | 16.4 bc | 10.7 bc | 28.1 abc | 27.5 b | 13.6 bc | 13.5 b | 18.5 b | 15.7 b | 46.4 a | 34.3 b | 149 bc | 152 bc | 166 b | 154 bc |
| 100 | 16.1 ab | 17.0 ab | 17.8 ab | 11.6 b | 28.6 ab | 27.5 b | 14.9 ab | 14.2 ab | 21.1 a | 16.1 b | 49.7 a | 34.2 b | 165 ab | 163 ab | 185 a | 159 b |
| 150 | 17.4 a | 19.1 a | 18.4 a | 13.8 a | 29.6 a | 31.5 a | 15.4 a | 15.5 a | 21.2 a | 18.2 a | 45.8 a | 41.9 a | 171 a | 177 a | 193 a | 186 a |
| Phytic acid concentration (g/kg) | ||||||||||||||||
| 0 | 1.68 a | 1.63 a | 2.11 b | 1.76 bc | 1.85 a | 1.38 a | 1.62 a | 1.20 a | 1.94 b | 1.47 a | 2.40 a | 3.06 a | 28.1 a | 26.2 a | 22.4 b | 15.6 a |
| 10 | 1.91 a | 1.60 a | 2.21 ab | 1.77 bc | 1.69 a | 1.53 a | 1.56 a | 1.05 a | 2.09 b | 1.49 a | 3.07 a | 2.86 a | 26.5 a | 26.0 a | 25.3 ab | 17.3 a |
| 25 | 1.80 a | 1.58 a | 2.16 b | 1.67 c | 1.82 a | 1.47 a | 1.57 a | 1.05 a | 2.05 b | 1.39 a | 3.28 a | 3.46 a | 25.6 a | 27.9 a | 22.0 b | 19.3 a |
| 50 | 1.83 a | 1.63 a | 2.18 ab | 1.70 c | 1.62 a | 1.52 a | 1.51 a | 1.19 a | 2.45 a | 1.39 a | 3.30 a | 2.85 a | 28.1 a | 30.1 a | 25.0 ab | 18.5 a |
| 100 | 1.91 a | 1.66 a | 2.20 ab | 1.91 ab | 1.90 a | 1.64 a | 1.49 a | 1.14 a | 2.55 a | 1.32 a | 3.70 a | 3.25 a | 29.1 a | 28.7 a | 29.0 a | 19.3 a |
| 150 | 2.03 a | 1.70 a | 2.40 a | 2.06 a | 1.75 a | 1.51 a | 1.60 a | 1.14 a | 2.62 a | 1.46 a | 3.72 a | 3.07 a | 28.8 a | 29.0 a | 27.1 ab | 22.1 a |
| Parameter | Population | Fertilization Rate (kg of ZnSO4·7H2O/ha) | |||||
|---|---|---|---|---|---|---|---|
| 0 | 10 | 25 | 50 | 100 | 150 | ||
| Whole flour | |||||||
| Daily Zn intake (mg per day) | Infants | 4.90 | 4.96 | 5.01 | 5.02 | 5.04 | 5.08 |
| Children | 6.00 | 6.12 | 6.21 | 6.24 | 6.28 | 6.35 | |
| % of recommended nutrition intake (RNI) | Infants | 71.00 | 71.87 | 72.57 | 72.73 | 73.06 | 73.56 |
| Children | 71.50 | 76.47 | 77.68 | 77.96 | 78.52 | 79.39 | |
| Health impact (DALYs saved) | Infants | - | 35,451 | 63,343 | 69,793 | 82,377 | 101,367 |
| Children | - | 196,418 | 345,503 | 379,258 | 444,317 | 540,416 | |
| % reduction in the current health burden a | - | 6.58 | 11.60 | 12.74 | 14.94 | 18.21 | |
| Coarse flour | |||||||
| Daily Zn intake (mg per day) | Infants | 4.90 | 4.96 | 5.01 | 5.05 | 5.04 | 5.08 |
| Children | 6.00 | 6.11 | 6.22 | 6.29 | 6.29 | 6.36 | |
| % of recommended nutrition intake (RNI) | Infants | 71.00 | 71.81 | 72.63 | 73.15 | 73.10 | 73.63 |
| Children | 71.50 | 76.38 | 77.79 | 78.69 | 78.60 | 79.51 | |
| Health impact (DALYs saved) | Infants | - | 33,188 | 65,982 | 86,042 | 84,009 | 104,023 |
| Children | - | 184,104 | 359,348 | 463,061 | 452,676 | 553,656 | |
| % reduction in the current health burden | - | 6.17 | 12.07 | 15.58 | 15.23 | 18.66 | |
| Standard flour | |||||||
| Daily Zn intake (mg per day) | Infants | 4.90 | 5.00 | 5.06 | 5.10 | 5.13 | 5.16 |
| Children | 6.00 | 6.19 | 6.32 | 6.41 | 6.45 | 6.52 | |
| % of recommended nutrition intake (RNI) | Infants | 71.00 | 72.42 | 73.32 | 73.97 | 74.29 | 74.79 |
| Children | 71.50 | 77.42 | 78.98 | 80.11 | 80.65 | 81.51 | |
| Health impact (DALYs saved) | Infants | - | 57,566 | 92,482 | 116,774 | 128,089 | 145,901 |
| Children | - | 315,033 | 495,770 | 616,480 | 671,209 | 755,339 | |
| % reduction in the current health burden | - | 10.57 | 16.69 | 20.81 | 22.68 | 25.57 | |
| Refined flour | |||||||
| Daily Zn intake (mg per day) | Infants | 4.90 | 5.02 | 5.08 | 5.10 | 5.17 | 5.20 |
| Children | 6.00 | 6.24 | 6.37 | 6.40 | 6.54 | 6.59 | |
| % of recommended nutrition intake (RNI) | Infants | 71.00 | 72.75 | 73.62 | 73.91 | 74.93 | 75.36 |
| Children | 71.50 | 78.00 | 79.63 | 80.00 | 81.75 | 82.38 | |
| Health impact (DALYs saved) | Infants | - | 70,694 | 103,797 | 114,507 | 150,744 | 165,688 |
| Children | - | 383,952 | 565,899 | 605,399 | 777,772 | 834,668 | |
| % reduction in the current health burden | - | 12.90 | 19.00 | 20.43 | 26.35 | 28.38 | |
| ZnSO4·7H2O Application Rate (kg/ha) | Whole Flour | Coarse Flour | Standard Flour | Refined Flour | Bran | |||||
|---|---|---|---|---|---|---|---|---|---|---|
| 2014 | 2015 | 2014 | 2015 | 2014 | 2015 | 2014 | 2015 | 2014 | 2015 | |
| Fe concentration (mg/kg) | ||||||||||
| 0 | 39.6 a | 34.5 a | 27.3 a | 22.0 a | 12.7 a | 10.3 a | 10.5 a | 8.0 a | 106.3 a | 95.3 a |
| 10 | 38.3 a | 34.0 a | 26.0 a | 20.8 a | 12.0 a | 10.2 a | 9.3 a | 9.2 a | 104.0 a | 93.0 a |
| 25 | 40.0 a | 34.4 a | 26.6 a | 21.2 a | 12.8 a | 9.5 a | 10.8 a | 8.4 a | 106.6 a | 95.0 a |
| 50 | 37.3 a | 34.5 a | 26.2 a | 20.8 a | 12.6 a | 10.3 a | 9.5 a | 9.3 a | 101.1 a | 93.0 a |
| 100 | 38.2 a | 32.4 a | 27.2 a | 19.9 a | 13.0 a | 9.3 a | 9.3 a | 8.1 a | 104.1 a | 88.5 a |
| 150 | 39.0 a | 33.1 a | 28.0 a | 20.8 a | 13.1 a | 9.3 a | 10.0 a | 8.5 a | 105.3 a | 92.9 a |
| Mn concentration (mg/kg) | ||||||||||
| 0 | 37.0 a | 28.9 a | 24.0 a | 17.9 a | 7.3 a | 5.9 a | 5.8 a | 4.9 a | 110.2 a | 86.9 a |
| 10 | 35.8 ab | 25.3 ab | 22.9 a | 15.2 ab | 7.4 a | 5.6 a | 5.6 a | 4.2 a | 109.5 a | 75.1 ab |
| 25 | 37.6 a | 26.4 ab | 24.4 a | 16.3 ab | 7.8 a | 5.7 a | 6.1 a | 4.5 a | 111.5 a | 77.9 ab |
| 50 | 34.0 ab | 23.7 b | 23.4 a | 14.1 b | 7.7 a | 5.1 a | 5.7 a | 4.0 a | 104.7 a | 69.6 b |
| 100 | 33.2 b | 23.7 b | 23.1 a | 14.7 b | 7.6 a | 5.1 a | 5.5 a | 4.1 a | 102.5 a | 69.8 b |
| 150 | 33.5 b | 24.7 ab | 23.5 a | 16.1 ab | 7.4 a | 5.6 a | 5.5 a | 4.3 a | 102.5 a | 73.4 ab |
| Cu concentration (mg/kg) | ||||||||||
| 0 | 6.9 a | 5.5 a | 5.8 a | 4.2 a | 3.3 a | 2.3 a | 2.9 a | 2.0 a | 14.5 a | 13.0 a |
| 10 | 6.7 a | 5.4 a | 5.6 a | 4.0 a | 3.3 a | 2.3 a | 2.8 a | 2.0 a | 14.6 a | 12.9 a |
| 25 | 6.9 a | 5.6 a | 5.8 a | 4.3 a | 3.3 a | 2.4 a | 3.0 a | 2.1 a | 15.2 a | 13.1 a |
| 50 | 6.5 a | 5.6 a | 5.5 a | 4.2 a | 3.2 a | 2.4 a | 2.8 a | 2.1 a | 14.3 a | 12.9 a |
| 100 | 6.6 a | 5.3 a | 5.6 a | 4.0 a | 3.3 a | 2.1 a | 2.9 a | 1.9 a | 14.4 a | 12.7 a |
| 150 | 6.7 a | 5.4 a | 5.8 a | 4.1 a | 3.4 a | 2.2 a | 3.1 a | 1.9 a | 14.4 a | 13.0 a |
© 2017 by the authors. Licensee MDPI, Basel, Switzerland. This article is an open access article distributed under the terms and conditions of the Creative Commons Attribution (CC BY) license (http://creativecommons.org/licenses/by/4.0/).
Share and Cite
Liu, D.; Liu, Y.; Zhang, W.; Chen, X.; Zou, C. Agronomic Approach of Zinc Biofortification Can Increase Zinc Bioavailability in Wheat Flour and thereby Reduce Zinc Deficiency in Humans. Nutrients 2017, 9, 465. https://doi.org/10.3390/nu9050465
Liu D, Liu Y, Zhang W, Chen X, Zou C. Agronomic Approach of Zinc Biofortification Can Increase Zinc Bioavailability in Wheat Flour and thereby Reduce Zinc Deficiency in Humans. Nutrients. 2017; 9(5):465. https://doi.org/10.3390/nu9050465
Chicago/Turabian StyleLiu, Dunyi, Yumin Liu, Wei Zhang, Xinping Chen, and Chunqin Zou. 2017. "Agronomic Approach of Zinc Biofortification Can Increase Zinc Bioavailability in Wheat Flour and thereby Reduce Zinc Deficiency in Humans" Nutrients 9, no. 5: 465. https://doi.org/10.3390/nu9050465
APA StyleLiu, D., Liu, Y., Zhang, W., Chen, X., & Zou, C. (2017). Agronomic Approach of Zinc Biofortification Can Increase Zinc Bioavailability in Wheat Flour and thereby Reduce Zinc Deficiency in Humans. Nutrients, 9(5), 465. https://doi.org/10.3390/nu9050465

